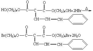
ÒÑÖªÓлúÎï·Ö×ÓÖеÄÏ©¼ü¿É·¢Éú³ôÑõ·Ö½â·´Ó¦¡£ÀýÈ磺

R¡ªCH¨TCH¡ªCH2OHR¡ªCH¨TO+O¨TCH¡ªCH2OHÓлúÎïAµÄ·Ö×ÓʽÊÇC20H26O6£¬Ëü¿ÉÒÔÔÚÒ»¶¨Ìõ¼þÏ·¢ÉúËõ¾Û·´Ó¦ºÏ³ÉÒ»ÖָйâÐԸ߷Ö×ÓB£¬BÔÚ΢µç×Ó¹¤ÒµÉÏÓÃ×÷¹â¿Ì½º¡£

AµÄ²¿·ÖÐÔÖÊÈçÏÂͼËùʾ£º

ÊÔ¸ù¾ÝÉÏÊöÐÅÏ¢½áºÏËùѧ֪ʶ£¬»Ø´ð£º

£¨1£©»¯ºÏÎï(A)¡¢(C)¡¢(E)ÖУ¬¾ßÓÐõ¥µÄ½á¹¹µÄÊÇ________¡£

£¨2£©Ð´³ö»¯ºÏÎïµÄ½á¹¹¼òʽ£º

C________________________________£¬

D________________________________£¬

E________________________________£¬

B________________________________¡£

£¨3£©Ð´³ö·´Ó¦ÀàÐÍ£º·´Ó¦¢ò________£¬·´Ó¦¢ó________¡£

£¨4£©Ð´³ö·´Ó¦¢òµÄ»¯Ñ§·½³Ìʽ£¨ÓлúÎïҪд½á¹¹¼òʽ£¬·´Ó¦Ìõ¼þ²»ÓÃ×¢Ã÷£©

 

´ð°¸£º
½âÎö£º

£¨1£©A

£¨2£©C£ºOHC¡ªCHO

D£º

E£º

B£º

£¨3£©È¡´ú·´Ó¦£»¼Ó³É·´Ó¦

£¨4£©

½âÎö£ºÓÉC20H26O6¡úC12H10O4+2HO(CH2)4OHÖª£¬EÊǶþÔªôÈËá¡£

C20H26O6¡úC20H26O4Br4˵Ã÷õ¥ÖÐôÈËáµÄÌþ»ùÖк¬ÓÐ2¸ö¡£

C12H10O4µÄ²»±¥ºÍ¶ÈΪ£º£¬È¥µô2¸öºÍ2¸öµÄ²»±¥ºÍ¶È£¬ÔòÆäÓàÔ­×ÓÍŲ»±¥ºÍ¶ÈΪ4£¬Ó¦¿¼ÂÇEÖк¬Óб½»·¡£

˵Ã÷Á˵ÄλÖ㬼´C20H26O6ӦΪ£º

£¬¼´EΪ£º

DΪ£º

¡£

¶ÔÓÚC20H26O6ÓëC20H24O4Br2Öª£¬·´Ó¦¢òÊÇAÖеÄ2¸ö¡ªOH±»2¸ö¡ªBrÈ¡´ú£¬¼´Æä²úÎïÊÇ

 


Á·Ï°²áϵÁдð°¸
Ïà¹ØÏ°Ìâ

¿ÆÄ¿£º¸ßÖл¯Ñ§ À´Ô´£º ÌâÐÍ£º

ÒÑÖªÓлúÎï·Ö×ÓÖеÄÏ©¼ü¿É·¢Éú³ôÑõ·Ö½â·´Ó¦£¬ÀýÈ磺R-CH=CH-CH2OH
O3/Zn+H2O
R-CH=O+O=CH-CH2OH
ÓлúÎïAµÄ·Ö×ÓʽÊÇC20H26O6£¬Ëü¿ÉÒÔÔÚÒ»¶¨Ìõ¼þÏ·¢ÉúËõ¾Û·´Ó¦ºÏ³ÉÒ»ÖָйâÐԸ߷Ö×ÓB£¬BÔÚ΢µç×Ó¹¤ÒµÉÏÓÃ×÷¹â¿Ì½º£®
¾«Ó¢¼Ò½ÌÍø
AµÄ²¿·ÖÐÔÖÊÈçÏÂͼËùʾ£º
¾«Ó¢¼Ò½ÌÍø
ÊÔ¸ù¾ÝÉÏÊöÐÅÏ¢½áºÏ»¯Ñ§ÖªÊ¶£¬»Ø´ð£º
£¨1£©»¯ºÏÎA£©¡¢£¨C£©¡¢£¨E£©ÖУ¬¾ßÓÐõ¥µÄ½á¹¹µÄÊÇ
 
£»
£¨2£©Ð´³öÖ¸¶¨»¯ºÏÎïµÄ½á¹¹¼òʽ£ºC
 
£»D
 
£»E
 
£»B
 
£®
£¨3£©Ð´³ö·´Ó¦ÀàÐÍ£º·´Ó¦II
 
£¬·´Ó¦III
 
£®

²é¿´´ð°¸ºÍ½âÎö>>

¿ÆÄ¿£º¸ßÖл¯Ñ§ À´Ô´£º ÌâÐÍ£º

£¨6·Ö£©£®ÒÑÖªÓлúÎï·Ö×ÓÖеÄÏ©¼ü¿É·¢Éú³ôÑõ·Ö½â·´Ó¦£¬

ÀýÈ磺R£­CH£½CH£­CH2OHR£­CH£½O£«O£½CH£­CH2OH¡£AµÄ²¿·ÖÐÔÖÊÈçͼËùʾ£º

ÊÔ¸ù¾ÝÉÏÊöÐÅÏ¢½áºÏËùѧ֪ʶд³öAµÄ½á¹¹¼òʽ¡£

 

 

                                                                           

 

 

 

²é¿´´ð°¸ºÍ½âÎö>>

¿ÆÄ¿£º¸ßÖл¯Ñ§ À´Ô´£º2011-2012ѧÄêÁÉÄþÊ¡¶«±±Óý²ÅѧУ¸ß¶þÏÂѧÆÚÆÚÖп¼ÊÔ»¯Ñ§ÊÔ¾í£¨´ø½âÎö£© ÌâÐÍ£ºÌî¿ÕÌâ

ÒÑÖªÓлúÎï·Ö×ÓÖеÄÏ©¼ü¿É·¢Éú³ôÑõ·Ö½â·´Ó¦£¬ÀýÈ磺

R£­CH£½CH£­CH2OHR£­CH£½O£«O£½CH£­CH2OH
ÓлúÎïAµÄ·Ö×ÓʽÊÇC20H26O6£¬Ëü¿ÉÒÔÔÚÒ»¶¨Ìõ¼þÏ·¢ÉúËõ¾Û·´Ó¦ºÏ³ÉÒ»ÖָйâÐԸ߷Ö×ÓB£¬BÔÚ΢µç×Ó¹¤ÒµÉÏÓÃ×÷¹â¿Ì½º¡£

AµÄ²¿·ÖÐÔÖÊÈçÏÂͼËùʾ£º

ÊÔ¸ù¾ÝÉÏÊöÐÅÏ¢½áºÏ»¯Ñ§ÖªÊ¶£¬»Ø´ð£º
£¨1£©»¯ºÏÎA£©¡¢£¨C£©¡¢£¨E£©ÖУ¬¾ßÓÐõ¥µÄ½á¹¹µÄÊÇ          £»
£¨2£©Ð´³öÖ¸¶¨»¯ºÏÎïµÄ½á¹¹¼òʽ£ºC       £»D        £»E        £»B       ¡£
£¨3£©Ð´³ö·´Ó¦ÀàÐÍ£º·´Ó¦II       £¬·´Ó¦III       ¡£

²é¿´´ð°¸ºÍ½âÎö>>

¿ÆÄ¿£º¸ßÖл¯Ñ§ À´Ô´£º2010~2011ѧÄ긣½¨Ê¡Ê¦·¶´óѧ¸½Öи߶þÏÂѧÆÚÆÚÄ©²âÊÔ»¯Ñ§ ÌâÐÍ£ºÎÊ´ðÌâ

£¨6·Ö£©£®ÒÑÖªÓлúÎï·Ö×ÓÖеÄÏ©¼ü¿É·¢Éú³ôÑõ·Ö½â·´Ó¦£¬
ÀýÈ磺R£­CH£½CH£­CH2OHR£­CH£½O£«O£½CH£­CH2OH¡£AµÄ²¿·ÖÐÔÖÊÈçͼËùʾ£º

ÊÔ¸ù¾ÝÉÏÊöÐÅÏ¢½áºÏËùѧ֪ʶд³öAµÄ½á¹¹¼òʽ¡£
                                                                           
 

²é¿´´ð°¸ºÍ½âÎö>>

¿ÆÄ¿£º¸ßÖл¯Ñ§ À´Ô´£º2013½ìÁÉÄþÊ¡¶«±±Óý²ÅѧУ¸ß¶þÏÂѧÆÚÆÚÖп¼ÊÔ»¯Ñ§ÊÔ¾í£¨½âÎö°æ£© ÌâÐÍ£ºÌî¿ÕÌâ

ÒÑÖªÓлúÎï·Ö×ÓÖеÄÏ©¼ü¿É·¢Éú³ôÑõ·Ö½â·´Ó¦£¬ÀýÈ磺

R£­CH£½CH£­CH2OHR£­CH£½O£«O£½CH£­CH2OH

ÓлúÎïAµÄ·Ö×ÓʽÊÇC20H26O6£¬Ëü¿ÉÒÔÔÚÒ»¶¨Ìõ¼þÏ·¢ÉúËõ¾Û·´Ó¦ºÏ³ÉÒ»ÖָйâÐԸ߷Ö×ÓB£¬BÔÚ΢µç×Ó¹¤ÒµÉÏÓÃ×÷¹â¿Ì½º¡£

AµÄ²¿·ÖÐÔÖÊÈçÏÂͼËùʾ£º

ÊÔ¸ù¾ÝÉÏÊöÐÅÏ¢½áºÏ»¯Ñ§ÖªÊ¶£¬»Ø´ð£º

£¨1£©»¯ºÏÎA£©¡¢£¨C£©¡¢£¨E£©ÖУ¬¾ßÓÐõ¥µÄ½á¹¹µÄÊÇ           £»

£¨2£©Ð´³öÖ¸¶¨»¯ºÏÎïµÄ½á¹¹¼òʽ£ºC        £»D         £»E         £»B        ¡£

£¨3£©Ð´³ö·´Ó¦ÀàÐÍ£º·´Ó¦II        £¬·´Ó¦III        ¡£

 

²é¿´´ð°¸ºÍ½âÎö>>

ͬ²½Á·Ï°²á´ð°¸