精英家教网 > 高中数学 > 题目详情
已知函数连续,则常数a的值是( )
A.2
B.3
C.4
D.5
【答案】分析:根据x=2的左右极限和x=2时的函数值,结合函数在一点处的连续性的定义求解.
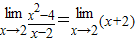
解答:解:由题意得:
==4,
又∵f(2)=a+log22=a+1,
由函数在一点处的连续性的定义知f(2)=
故a+1=4,
解得a=3.
故选B.
点评:本小题考查分段函数的连续性,是简单的基础题.函数f(x)在点x连续的充要条件是:函数f(x)在点x既是右连续,又是左连续.
练习册系列答案
相关习题

科目:高中数学 来源: 题型:

已知函数连续,则常数的值是

A.2           B.3        C.4      D.5        

查看答案和解析>>

科目:高中数学 来源: 题型:

2.已知函数连续,则常数的值是(     )

A.2           B.3        C.4      D.5

查看答案和解析>>

科目:高中数学 来源:2011-2012学年贵州省五校高三(上)11月联考数学试卷(理科)(解析版) 题型:填空题

已知函数连续,则常数a的值是   

查看答案和解析>>

科目:高中数学 来源:2010年江苏省高考数学模拟试卷(二)(解析版) 题型:解答题

已知函数连续,则常数a的值是   

查看答案和解析>>

科目:高中数学 来源:2011年湖北省恩施州高三第一次质量监测数学试卷(理科)(解析版) 题型:选择题

已知函数连续,则常数a的值是( )
A.2
B.3
C.4
D.5

查看答案和解析>>

同步练习册答案