精英家教网 > 高中数学 > 题目详情
已知f(x)=|x2-1|+x2+kx.
(I)若k=2,求方程f(x)=0的解;
(II)若关于x的方程f(x)=0在(0,2)上有两个解x1,x2,求k的取值范围,并证明
【答案】分析:(1)当k=2时,方程是含有绝对值的方程,对绝对值内的值进行分类讨论去掉绝对值后解之;
(2)先将含有绝对值的函数转化为一元一次函数和二元一次函数的分段函数的形式,再利用一元一次函数与二元
一次函数的单调性加以解决.
解答:解:(Ⅰ)解:(1)当k=2时,f(x)=|x2-1|+x2+kx
①当x2-1≥0时,即x≥1或x≤-1时,方程化为2x2+2x-1=0
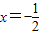
解得,因为,故舍去,所以
②当x2-1<0时,-1<x<1时,方程化为2x+1=0
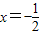
解得
由①②得当k=2时,方程f(x)=0的解所以
(II)解:不妨设0<x1<x2<2,
因为
所以f(x)在(0,1]是单调函数,故f(x)=0在(0,1]上至多一个解,
若1<x1<x2<2,则x1x2=<0,故不符题意,因此0<x1≤1<x2<2.
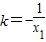
由f(x1)=0得,所以k≤-1;
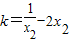
由f(x2)=0得,所以
故当时,方程f(x)=0在(0,2)上有两个解.
当0<x1≤1<x2<2时,,2x22+kx2-1=0
消去k得2x1x22-x1-x2=0
,因为x2<2,所以
点评:本题主要考查的高考考点:函数的基本性质、方程与函数的关系等基础知识;易错点:解析问题的能力较差,分类讨论的问题考虑不全面备考提示:本题还考查函数的基本性质、方程与函数的关系等基础知识,以及综合运用所学知识、分类讨论等思想方法解析和解决问题的能力.需要考生有较扎实的理论知识及较强的解析问题的能力,同时要具备良好的运算能力.
练习册系列答案
相关习题

科目:高中数学 来源: 题型:

已知f(x)=x2+ax+b(a,b∈R的定义域为[-1,1].
(1)记|f(x)|的最大值为M,求证:M≥
1
2
.
(2)求出(1)中的M=
1
2
时,f(x)
的表达式.

查看答案和解析>>

科目:高中数学 来源: 题型:

已知f(x)=x2+x+1,则f(
2
)
=
 
;f[f(
2
)
]=
 

查看答案和解析>>

科目:高中数学 来源: 题型:

已知f(x)=x2+2x,数列{an}满足a1=3,an+1=f′(an)-n-1,数列{bn}满足b1=2,bn+1=f(bn).
(1)求证:数列{an-n}为等比数列;
(2)令cn=
1
an-n-1
,求证:c2+c3+…+cn
2
3

(3)求证:
1
3
1
1+b1
+
1
1+b2
+…+
1
1+bn
1
2

查看答案和解析>>

科目:高中数学 来源: 题型:

已知f(x)=x2-x+k,若log2f(2)=2,
(1)确定k的值;
(2)求f(x)+
9f(x)
的最小值及对应的x值.

查看答案和解析>>

科目:高中数学 来源: 题型:

已知f(x)=x2+(a+1)x+lg|a+2|(a≠-2,a∈R),
(Ⅰ)若f(x)能表示成一个奇函数g(x)和一个偶函数h(x)的和,求g(x)和h(x)的解析式;
(Ⅱ)若f(x)和g(x)在区间(-∞,(a+1)2]上都是减函数,求a的取值范围;
(Ⅲ)在(Ⅱ)的条件下,比较f(1)和
16
的大小.

查看答案和解析>>

同步练习册答案