精英家教网 > 高中数学 > 题目详情
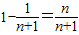
数列{an}中,a1=1,an,an+1是方程的两个根,则数列{bn}的前n项和Sn等于( )
A.
B.
C.
D.
【答案】分析:先由题意得到数列的递推公式,再求出an,然后利用裂项进行求和即可
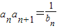
解答:解:由题意可得an+an+1=2n+1
∴an=n
=
Sn=b1+b2+…+bn
=
=
故选B.
点评:本题主要考查利用递推公式求解数列的通项公式,数列求和的裂项法,考查学生的运算能力.
练习册系列答案
相关习题

科目:高中数学 来源: 题型:

数列{an}中,a1=1,an=
12
an-1+1(n≥2),求通项公式an

查看答案和解析>>

科目:高中数学 来源: 题型:

数列{an}中,a1=
1
5
,an+an+1=
6
5n+1
,n∈N*,则
lim
n→∞
(a1+a2+…+an)等于(  )
A、
2
5
B、
2
7
C、
1
4
D、
4
25

查看答案和解析>>

科目:高中数学 来源: 题型:

数列{an}中,a1=-60,an+1-an=3,(1)求数列{an}的通项公式an和前n项和Sn(2)问数列{an}的前几项和最小?为什么?(3)求|a1|+|a2|+…+|a30|的值.

查看答案和解析>>

科目:高中数学 来源: 题型:

数列{an}中,a1=1,对?n∈N*an+2an+3•2n,an+1≥2an+1,则a2=
3
3

查看答案和解析>>

科目:高中数学 来源: 题型:

(2007•长宁区一模)如果一个数列{an}对任意正整数n满足an+an+1=h(其中h为常数),则称数列{an}为等和数列,h是公和,Sn是其前n项和.已知等和数列{an}中,a1=1,h=-3,则S2008=
-3012
-3012

查看答案和解析>>

同步练习册答案