加热氯酸钾和二氧化锰固体混合物制取氧气时,如果反应前氯酸钾和二氧化锰混合物的质量为3克,加热到不再产生气体为止,剩余固体的质量为2.04克.则:
(1)反应能制得氧气多少克?体积为多少升?(此状态下氧气的密度为1.43克/升)______
(2)原混合物中氯酸钾的质量分数为多少?______.
【答案】
分析:熟知化学反应特点,反应原理.利用反应原理解决问题.本题是实验室制取氧气的反应,原理是氯酸钾分解生成固体氯化钾和气体氧气.二氧化锰是催化剂,反应前后质量并不变化.这样,可知反应后固体质量会减少,减少的正好是氧气.
解答:解:(1)反应能制得氧气质量=3g-2.04g=0.96g 反应能制得氧气体积=0.96g÷1.43=0.67L 答:反应能制得氧气质量为0.96g,反应能制得氧气体积为0.67L
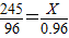
(2)设原混合物中氯酸钾的质量为X.
2KClO
3
2KCl+3O
2↑
245 96
X 0.96g

,解得:X=2.45g
原混合物中氯酸钾的质量分数=

x100%=81.7% 答:原混合物中氯酸钾的质量分数为81.7%
点评:熟知化学反应特点,反应原理.利用反应原理解决问题.本题是实验室制取氧气的反应,原理是氯酸钾分解生成固体氯化钾和气体氧气.二氧化锰是催化剂,反应前后质量并不变化.