精英家教网 > 初中化学 > 题目详情
称取碳酸钠固体粉末21.2克置于烧杯中,慢慢加入稀盐酸使其充分反应,直至气体不再产生为止,此时共用稀盐酸221.6克,试计算:
(1)产生的二氧化碳的质量为多少?
(2)反应后所得溶液的溶质质量分数是多少?
【答案】分析:(1)根据碳酸钠和稀盐酸反应的化学方程式,利用参加反应的碳酸钠的质量可求出产生的二氧化碳的质量;
(2)同样根据方程式,利用碳酸钠的质量可得到生成的氯化钠的质量,进而求出反应后溶液中氯化钠的质量分数.其中反应后溶液质量=参加反应的固体质量+液体质量-生成气体的质量.
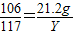
解答:解:(1)设产生CO2质量为X
Na2CO3+2HCl═2NaCl+H2O+CO2↑    
106           117     44        
21.2g          Y       X

X==8.8g
(2)设产生NaCl质量为Y

Y==23.4g
反应后所得溶液的溶质质量分数=×100%=10% 
答:(1)产生的二氧化碳的质量为8.8g.
(2)反应后所得溶液的溶质质量分数是10%.
点评:此题是溶质的质量分数和化学方程式相结合的计算题,把握住两点就可以顺利的解出此题,一是正确写出反应的化学方程式,二是牢记溶质质量分数的公式.
练习册系列答案
相关习题

科目:初中化学 来源: 题型:

(2011?黑龙江)称取碳酸钠固体粉末21.2克置于烧杯中,慢慢加入稀盐酸使其充分反应,直至气体不再产生为止,此时共用稀盐酸221.6克,试计算:
(1)产生的二氧化碳的质量为多少?
(2)反应后所得溶液的溶质质量分数是多少?

查看答案和解析>>

科目:初中化学 来源: 题型:解答题

称取碳酸钠固体粉末21.2克置于烧杯中,慢慢加入稀盐酸使其充分反应,直至气体不再产生为止,此时共用稀盐酸221.6克,试计算:
(1)产生的二氧化碳的质量为多少?
(2)反应后所得溶液的溶质质量分数是多少?

查看答案和解析>>

科目:初中化学 来源:黑龙江省中考真题 题型:计算题

称取碳酸钠固体粉末21.2克置于烧杯中,慢慢加入稀盐酸使其充分反应,直至气体不再产生为止,此时共用稀盐酸221.6克,试计算:
(1)产生的二氧化碳的质量为多少?
(2)反应后所得溶液的溶质质量分数是多少?

查看答案和解析>>

科目:初中化学 来源: 题型:

称取碳酸钠固体粉末21.2克置于烧杯中,慢慢加入稀盐酸使其充分反应,直至气体不再产生为止,此时共用稀盐酸221.6克,试计算:

(1)产生的二氧化碳的质量为多少?

(2)反应后所得溶液的溶质质量分数是多少?

查看答案和解析>>

科目:初中化学 来源: 题型:

称取碳酸钠固体粉末21.2克置于烧杯中,慢慢加入稀盐酸使其充分反应,直至气体不再产生为止,此时共用稀盐酸221.6克,试计算:

(1)产生的二氧化碳的质量为多少?

(2)反应后所得溶液的溶质质量分数是多少?

查看答案和解析>>

同步练习册答案