精英家教网 > 初中化学 > 题目详情
“嫦娥二号”于2010年10月1日成功发射.用于发射的火箭是“长征三号丙”运载火箭,它装有大量的液氢和液氧燃料.若现有20t的液氢(H2)燃料,则需要液氧(O2)多少吨?
【答案】分析:根据氢气和氧气发生反应的化学方程式,将氢气的质量代入化学反应方程式进行计算需要的氧气的质量.
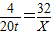
解答:解:设需要液氧的质量为xt,
2H2+O22H2O
4   32
20t  x

解得x=160t
答:需要液氧的质量为160t.
点评:本题很简单,直接将已知物质的质量代入化学反应方程式计算即可,学生同时应注意计算格式的规范化.
练习册系列答案
相关习题

科目:初中化学 来源: 题型:

“嫦娥二号”于2010年10月1日成功发射.用于发射的火箭是“长征三号丙”运载火箭,它装有大量的液氢和液氧燃料.若现有20t的液氢(H2)燃料,则需要液氧(O2)多少吨?

查看答案和解析>>

科目:初中化学 来源: 题型:

16、“嫦娥二号”于2010年10月1日在西昌卫星发射中心发射升空,赴月球拍摄月球表面影象、获取极区表面数据,为嫦娥三号在月球软着陆做了充分准备.“嫦娥三号”计划于2013年发射.“嫦娥三号”最大的特点是携带有一部“中华牌”月球车,实现月球表面探测.请填写下列空白:
运载“嫦娥二号”的火箭长征3号的外壳用到了钛合金,是因为钛合金有
硬度大、耐高温
的性质.“中华牌”月球车将携带“锂电池”,这种蓄电池体积小、能量大,可帮助月球车储备足够的能源.锂电池的工作原理是锂与二氧化锰发生化合反应生成LiMnO2,请写出反应的化学方程式
Li+MnO2═LiMnO2
,写出反应前后锰元素的化合价分别为
+4、+3
,锂电池在使用时的能量转化为
电能

查看答案和解析>>

科目:初中化学 来源: 题型:

9、“嫦娥二号”于2010年10月1日18时59分57秒在西昌卫星发射中心发射升空,并获得了圆满成功.“嫦娥二号”卫星发射,标志月球探测成为中国航天的现实.月球表面富含钛铁矿,钛因其硬度大.熔点高.常温下耐酸碱.耐腐蚀等优良的性能,被誉为“未来金属”最近美国某玻璃公司研制出一种“自洁玻璃”,该玻璃因穿上40纳米厚的二氧化钛 (TiO2)外套,从而具有自洁.不断分解有害气体以及消灭细菌.病毒等作用.关于二氧化钛,你认为以下说法中错误的是(  )

查看答案和解析>>

科目:初中化学 来源: 题型:

“嫦娥二号”于2010年10月1日18时59分57秒在西昌卫星发射中心发射升空,并获得了圆满成功.“嫦娥二号”卫星使用了铝锂合金板材.下列关于合金说法正确的是(  )

查看答案和解析>>

科目:初中化学 来源:2011-2012学年湖南省湘潭市中考化学模拟试卷(四) 题型:计算题

(3分) “嫦娥二号”于2010年10月1日成功发射。用于发射的火箭是“长征三号丙”运载火箭,它装有大量的液氢和液氧燃料。若现有20 t的液氢(H2)燃料,则需要液氧(O2)多少吨?

 

查看答案和解析>>

同步练习册答案