精英家教网 > 初中化学 > 题目详情

区分稀硫酸和稀盐酸,不能使用的试剂是(  )

 

A.

Ba(NO32

B.

BaCl2

C.

Ba(OH)2

D.

NaCl


考点:

酸、碱、盐的鉴别.

专题:

物质的鉴别题.

分析:

根据两种物质与同种试剂反应产生的不同现象来鉴别它们,若两种物质与同种物质反应的现象相同,则无法鉴别它们.

解答:

解:A、稀硫酸能与Ba(NO32反应生成硫酸钡白色沉淀和硝酸,Ba(NO32与稀盐酸不反应,能出现两种明显不同的现象,故可以鉴别.

B、稀硫酸能与BaCl2反应生成硫酸钡白色沉淀和盐酸,BaCl2与稀盐酸不反应,能出现两种明显不同的现象,故可以鉴别.

C、稀硫酸能与Ba(OH)2反应生成硫酸钡白色沉淀和水,稀盐酸能与Ba(OH)2反应生成氯化钡和水,但无明显变化;能出现两种明显不同的现象,故可以鉴别.

D、氯化钠与稀硫酸和稀盐酸均不反应,不能出现三种明显不同的现象,故不能鉴别.

故选:D.

点评:

本题有一定难度,在解决鉴别物质题时,判断的依据是:所选试剂需要与待鉴别的物质反应并出现明显不同的现象.

 

练习册系列答案
相关习题

科目:初中化学 来源: 题型:


下列图象不能正确反映其对应关系的是(  )

 

A.

向一定量的NaCl饱和溶液中加入NaCl固体

 

B.

向等质量的锌粉和铁粉中分别滴加质量分数相同的足量稀盐酸

 

C.

用一定量的过氧化氢溶液制取氧气

 

D.

高温煅烧一定质量的石灰石

查看答案和解析>>

科目:初中化学 来源: 题型:


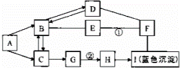
2 A﹣I是初中化学所学的物质,其转换关系如图所示.按单质、氧化物、酸、碱、盐分类,A、B、D、E、F是不同类别的物质,C、G、H、I、F也是不同类别的物质;A、B、C中含有同种元素,B是导致“温室效应”的一种气体.图中“一”表示两端的物质能发生化学反应,“→”表示物质间存在相应的转化关系(部分反应物、生成物和反应条件未标出).请回答:

(1)物质B的化学式:  

(2)反应①的基本反应类型是  

(3)反应②的化学方程式是 

查看答案和解析>>

科目:初中化学 来源: 题型:


 如图所示,A﹣G是初中化学常见的七种物质.图中“→”表示转化关系,“﹣”表示相互能反应.F可以用于改良酸性土壤,D、E组成元素相同,B、C、G常温下为气体,在实验室中常用A制取G.

(1)F的化学式是      ;物质A的一种用途是      

(2)D→C反应的化学方程式是      

(3)图中涉及B物质的反应中,未出现的基本反应类型是      

查看答案和解析>>

科目:初中化学 来源: 题型:


 元素X、Y、Z、M是初中化学常见的四种元素.有关信息如表:

元素

有关信息

X

可形成相对分子质量最小的气体单质

Y

形成的一种单质是天然存在的最硬的物质

Z

其单质约占空气体积的

M

人体内含量最高的金属元素

(1)M元素的名称是      

(2)Y形成的天然存在的最硬的物质是      ,此物质不属于      (填“有机物”或“无机物”)

(3)由X、Y两元素组成的最简单的有机物是      (填化学式),该有机物中X元素的质量分数为      

(4)由Y、Z两元素组成的能用于人工降雨的固体物质是      

(5)由Z、M两元素按原子个数比1:1组成的化合物,俗称      ,写出它与水反应的化学方程式      

查看答案和解析>>

科目:初中化学 来源: 题型:


下列各组溶液,不用其他试剂无法鉴别的是(  )

 

A.

H2SO4 NaCl Na2CO3 CaCl2

B.

HCl NaOH CuSO4 MgSO4

 

C.

Na2CO3 K2SO4 BaCl2 HCl

D.

NaNO3 HCl CaCl2 KOH

查看答案和解析>>

科目:初中化学 来源: 题型:


下列物质中属于氧化物的是(  )

 

A.

矿泉水

B.

冰水混合物

C.

高锰酸钾

D.

氢氧化钾

查看答案和解析>>

科目:初中化学 来源: 题型:


某同学设计鉴别物质引导图图下:

回答下列问题:

(1)A为      ,此反应的化学方程式为      

(2)B为      

(3)C为      

查看答案和解析>>

科目:初中化学 来源: 题型:


请根据下列装置图,回答有关问题:

(1)写出装置图中仪器①的名称      

(2)从节能环保方面考虑,应该从图一中选择      组合成发生装置来制取氧气(填字母代号)

(3)为了得到较为纯净的氧气,应该从图2中选择      装置来收集氧气(填字母代号)

查看答案和解析>>

同步练习册答案