精英家教网 > 初中化学 > 题目详情
科学家最近在-100℃的低温下合成一种化合物X,此分子的模型如下图,其中每个●代表一个碳原子,每个○代表一个氢原子.下列说法中不正确的是( )

A.该分子的相对分子质量为64
B.该分子中碳元素的质量分数是93.75%
C.该分子的分子式为C4H5
D.等质量的该物质与甲烷相比,燃烧时消耗的氧气更多
【答案】分析:利用分子模型图,判断物质的分子构成;根据分子构成的判断,确定物质的化学式;
根据物质的化学式可计算相对分子质量、组成元素的质量比及分子中原子个数比,等相关问题.
解答:解:由微观粒子图形,可知一个分子中有5个碳原子,4个氢原子,故该物质的化学式是:C5H4
A、相对分子质量=12×5+4=64,故说法正确;
B、物质中碳元素的质量分数=×100%=93.75%;故此说法正确;
C、该物质的分子中含有设有5个碳原子,4个氢原子,化学式为:C5H4,说法错误
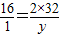
的该物质与甲烷都为1克,则设燃烧时消耗的氧气分别为x、y
C5H4+6O2 5CO2+2H2O                    CH4+2O2CO2+2H2O  
64    6×32                                 16   2×32
 1      x                                    1     y
 =                              
解得x=3克                                  y=4克
故等质量的该物质与甲烷相比,燃烧时消耗的氧气更多,说法错误.
故选CD
点评:根据物质的分子的模型图,可判断分子的构成,利用分子的构成确定物质的化学式,这是解题的关键.
练习册系列答案
相关习题

科目:初中化学 来源: 题型:

精英家教网科学家最近在-100℃的低温下合成一种化合物X,此分子模型如图,其中每个精英家教网代表一个碳原子,每个○代表一个氢原子.下列说法中不正确的是(  )
A、该分子的化学式为C4H5B、该分子的相对分子质量为64C、该分子中的碳原子与氢原子的个数比是5:4D、该分子中碳元素的质量分数是93.75%

查看答案和解析>>

科目:初中化学 来源: 题型:

根据下列每小题提出的问题填空.
(1)填写化学符号或化学符号的意义:
化学符号   2N
意义 n个水分子  
(2)请在下表中写出有关的化学方程式,并回答有关的问题.
用途 化学方程式 相关问题
生石灰常用作某些食品的干燥剂 ______________ 此反应_________(填“吸热”或“放热”)
小苏打可治疗胃酸过多 ______________ 基本反应类型
_______________
(3)科学家最近在-100℃的低温下合成一种化合物X,此分子的模型如下图,其中每个“●”代表一个碳精英家教网原子,每个“○”代表一个氢原子.下列说法中不正确的是
 

①该分子可用C5H4表示;
②该物质中碳元素的质量分数是93.75%;
③该分子中的氢原子与碳原子的质量比是4:5;
④等质量的该物质与甲烷相比,燃烧时消耗的氧气更多.

查看答案和解析>>

科目:初中化学 来源: 题型:

精英家教网科学家最近在-100℃的低温下合成了一种化合物X,如图为此分子的模型,其中每个精英家教网代表一个碳原子,每个精英家教网代表一个氢原子.下列说法中不正确的是(  )
A、该分子的分子式为C4H5B、该分子中碳元素的质量分数是93.75%C、该分子中的氢原子与碳原子的个数比是4:5D、等质量的该物质与甲烷相比,燃烧时消耗的氧气更多

查看答案和解析>>

科目:初中化学 来源: 题型:

根据下列每小题提出的问题填空.
(1)填写化学符号或化学符号的意义:
化学符号
 
 
2N
意义 n个水分子
 
(2)请在下表中写出有关的化学方程式,并回答有关的问题.
用途 化学方程式 相关问题
生石灰常用作某些食品的干燥剂
 
此反应

 
(填“吸热”或“放热”)
小苏打可治疗胃酸过多
 
 
基本反应类型
 
(3)科学家最近在-100℃的低温下合成一种化合物X,此分子的模型如图,其中每个“●”代表一个碳原子,每个“○”代表一个氢原子.下列说法中不正确的是
 

精英家教网
①该分子可用C5H4表示
②该物质中碳元素的质量分数是93.75%
③该分子中的氢原子与碳原子的质量比是4:5
④等质量的该物质与甲烷相比,燃烧时消耗的氧气更多.

查看答案和解析>>

科目:初中化学 来源: 题型:

(2008?西城区二模)科学家最近在-100℃的低温下合成了一种化合物X.此分子的模型如图所示,其中每个“●”代表一个碳原子,每个“○”代表一个氢原子.下列说法中正确的是(  )

查看答案和解析>>

同步练习册答案