精英家教网 > 初中化学 > 题目详情
钢铁是使用最多的金属材料.
(1)下图为实验室炼铁的装置图,A中反应的化学方程式是    ;将反应后的气体通过装置B和C,收集较纯净的CO并循环使用,B中应盛放的试剂是    浓溶液.
(2)工业上可用酸清洗锈蚀的金属.将生锈的铁片和生锈的铜片[铜锈的成分是Cu2(OH)2CO3]同时放入一定量盐酸中,可能发生的化学反应有:
①铜锈溶解:Cu2(OH)2CO3+4HCl=2CuCl2+3X+CO2↑,则X的化学式为   
②铁锈溶解:化学方程式为   
③有金属单质生成:化学方程式为   
(3)某化学小组欲测定一种钢样品中铁的含量,实验操作如图所示,实验结果记录如下表:
反应时间tt1t2t3
烧杯和药品质量/g55.755.655.555.5
①经计算,这种钢样品中铁的含量是    %  (精确到0.1%).
②有同学提出,灼烧可使钢中的碳转化为二氧化碳,钢样品质量会减轻.但是他们将一定量的钢样品灼烧后,发现质量反而增加了,其原因是    
【答案】分析:(1)根据一氧化碳可把三氧化二铁还原为铁写出化学反应式;收集较纯净的一氧化碳,需除去一氧化碳中的二氧化碳和水蒸汽;
(2)利用质量守恒定律写出X的化学式;酸与金属氧化物反应,,铁与生成的氯化铜反应;
(3)表中的实验数据可判断第四次称量时已完全反应,利用质量守恒定律,可计算放出氢气的质量;根据反应的化学方程式,由产生氢气质量计算钢样中所含铁的质量,求得钢样品中铁的质量分数.
解答:解:(1)实验室炼铁,A中发生反应是,一氧化碳把三氧化二铁还原为铁,并生成二氧化碳气体,化学反应式是:
3CO+Fe2O3 2Fe+3CO2;收集较纯净的一氧化碳要除去反应生成的二氧化碳和水蒸气,把气体通入盛放氢氧化钠溶液的试剂瓶,除去二氧化碳,再通入浓硫酸干燥气体;
(2)将生锈的铁片和生锈的铜片[铜锈的成分是Cu2(OH)2CO3]同时放入一定量盐酸中,可能发生的化学反应,
①根据质量守恒定律,反应前后原子的个数和种类不变,得X的化学式为,H2O;
②铁锈与盐酸反应生成氯化铁和水,化学方程式为:Fe2O3+6HCl=2FeCl3+3H2O;
③铁置换出氯化铜中的铜,化学方程式为:CuCl2+Fe=Cu+FeCl2
(3)①铁锈(Fe2O3)溶于盐酸(3)第四次称量时已完全反应,
根据质量守恒定律,反应中产生氢气的质量=40+5.7+10-55.5=0.2(g);
设样品中含铁的质量为xg.
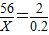
Fe+2HCl=FeCl2+H2
56            2
x            0.2g
   x=5.6g
钢样品中铁的质量分数=×100%=98.2%
②钢中含碳量少,灼烧时碳减少的质量,远小于铁转化为氧化物时增加的质量,所以将一定量的钢样品灼烧后,发现质量反而增加了.
故答案为:(1)3CO+Fe2O3 3CO2+2Fe,氢氧化钠(或NaOH);
(2)H2O;Fe2O3+6HCl=2FeCl3+3H2O;CuCl2+Fe=Cu+FeCl2
(3)98.2%;钢中含碳量少,所以碳减少的质量,远小于铁转化为氧化物时增加的质量.
点评:要熟记和理解一氧化碳还原氧化铁的所有内容,还有,铁等金属的冶炼原理、氧化还原反应的原理、一氧化碳的可燃性和毒性、金属的性质、化学方程式的书写、空气的污染等相关知识;然后,根据所给的实验、问题情景或图表信息等,结合所学的相关知识和技能,细致地阅读、分析题意等,联系着生活实际,细心地进行探究、推理,最后,按照题目的要求,认真地进行选择或解答即可.
练习册系列答案
相关习题

科目:初中化学 来源: 题型:

钢铁是使用最多的金属材料.
(1)早在春秋战国时期,我国就开始生产和使用铁器.写出以赤铁矿(主要成分Fe2O3)为原料炼铁的化学方程式
 

(2)利用新技术能将不锈钢加工成柔软的金属丝,用它和棉纤维一起编织成性能优良的劳保防护服,这是利用了不锈钢的
 
(填序号).
A.耐腐蚀性B.延展性C.导热性D.导电性
(3)市场上有一种含铁粉的麦片,食用后在胃酸作用下将铁粉转化为人体可吸收的铁元素,反应的化学方程式为
 
.这种麦片必须真空保存,原因是
 

(4)为探究铁和锌两种金属与酸反应的状况,将等质量的两种金属分别与等质量的溶质质量分数相同的稀硫酸反应,产生氢气的质量与反应时间的函数关系如图所示.下列相关判断中,正确的是
 

A.甲是铁,乙是锌     B.甲是锌,乙是铁
C.图1表示稀硫酸足量,图2表示稀硫酸不足量  D.图1表示金属一定有剩余,图2表示金属一定没有剩余.
精英家教网

查看答案和解析>>

科目:初中化学 来源: 题型:

8、钢铁是使用最多的金属材料,但每年因锈蚀而损失的数量巨大,防止金属腐蚀已成为科学研究中的重大问题.以下有关金属腐蚀的叙述错误的是(  )

查看答案和解析>>

科目:初中化学 来源: 题型:

钢铁是使用最多的金属材料.
(1)生铁和钢都是铁合金,其中含碳量较高的是
生铁
生铁

(2)人们大量使用的是铁合金而不是纯铁,这是因为铁的合金具有更多优良性能,例如钢比纯铁硬度
(填“大”或“小”).
(3)如图所示是液态二氧化碳灭火器,请回答下列问题.
①图中所标物质中属于有机材料的是
塑料
塑料
(只写一种).
②加压在小钢瓶中液态二氧化碳喷出后能灭火.其原理是
降温
降温
隔绝空气
隔绝空气

③在钢瓶表面涂油漆的作用是
防止钢铁生锈
防止钢铁生锈

④赤铁矿是炼铁的主要原料,写出用CO和赤铁矿炼铁的化学方程式
3CO+Fe2O3
 高温 
.
 
2Fe+3CO2
3CO+Fe2O3
 高温 
.
 
2Fe+3CO2

(4)下图是有关物质转化关系的示意图,其中A和D均为碳酸盐,G是最常用的溶剂.则下列转化没有涉及的基本反应类型是
置换反应
置换反应

查看答案和解析>>

科目:初中化学 来源: 题型:

(2011?广州)钢铁是使用最多的金属材料.
(1)生铁和钢都是铁合金,其中含碳量较高的是
生铁
生铁

(2)人们常用“铜墙铁壁”来形容物体的坚固.但铁在一定条件下也能发生各种反应,如铁丝在氧气中燃烧,反应的化学方程式是
3Fe+2O2
 点燃 
.
 
Fe3O4
3Fe+2O2
 点燃 
.
 
Fe3O4

(3)将mg氧化铜加入稀硫酸中完全溶解后,再加入铁粉充分反应,过滤,得到滤渣A和滤液B.再将滤渣A加入足量稀硫酸中,有气泡冒出,充分反应后,剩余固体物质的质量为12.8g
①滤渣的成分是
Cu、Fe
Cu、Fe
,滤液B的成分是
FeSO4、H2O
FeSO4、H2O

②原氧化铜的质量m=
16
16
g.

查看答案和解析>>

科目:初中化学 来源: 题型:

钢铁是使用最多的金属材料.在今年的化学活动周中,某校兴趣小组的同学在老师指导下做了以下有关铁的实验:用干燥纯净的一氧化碳还原氧化铁实验装置如图:

其中A是实验室用草酸(H2C2O4)和浓硫酸加热制取一氧化碳的气体发生装置,反应的化学方程式是:H2C2O4═H2O+CO2↑+CO↑(条件略).请回答下列问题:
(1)B装置中氢氧化钠溶液的作用是
吸收一氧化碳气体中的二氧化碳
吸收一氧化碳气体中的二氧化碳

(2)C装置无明显现象,C装置的作用是
证明二氧化碳已经被完全吸收
证明二氧化碳已经被完全吸收
.D装置中浓硫酸的作用是
除去一氧化碳中的水蒸气
除去一氧化碳中的水蒸气

(3)E装置中发生反应的化学方程式
Fe2O3+3CO
 高温 
.
 
2Fe+3CO2
Fe2O3+3CO
 高温 
.
 
2Fe+3CO2

(4)F装置的作用是
证明反应生成了二氧化碳
证明反应生成了二氧化碳
进行尾气处理防止污染空气
进行尾气处理防止污染空气

查看答案和解析>>

同步练习册答案