精英家教网 > 初中化学 > 题目详情
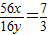
某铁的氧化物中,铁元素与氧元素的质量比为7:3,试确定该氧化物的化学式是______.
【答案】分析:设铁的氧化物中Fe、O的原子个数为x、y,然后利用元素的质量比为7:3来计算,求出x与y的比,得到化学式.
解答:解:设铁的氧化物中Fe、O的原子个数为x、y,
则由Fe、O元素的质量比为7:3,得:


则铁的氧化物的化学式为:Fe2O3
故答案为:Fe2O3
点评:应正确掌握计算的格式,利用原子个数比来得到化学式,不要求单个原子的原子个数.
练习册系列答案
相关习题

科目:初中化学 来源: 题型:阅读理解

某兴趣小组在复习铁的冶炼时,在参考资料上发现以下一段文字:已知在不同的温度下,CO与铁的氧化物反应能生成另一种铁的氧化物(或铁单质)和CO2.他们不禁产生了疑问:课本上册124页的实验中,CO与Fe2O3反应生成的黑色物质真的是Fe粉吗?于是他们进行了以下探究.
[查阅资料]
资料一:Fe粉和Fe3O4粉末能被磁铁吸引而FeO(黑色)不能;
资料二:Fe3O4中铁元素有+2、+3两种化合价,其化学式可用FeO?Fe2O3 的形式表示;
[提出猜想]黑色物质可能是Fe3O4、FeO和Fe粉中的一种或几种.
[进行实验]兴趣小组收集了CO与Fe2O3反应生成的黑色物质进行了下列实验:
实验方案 实验现象
取少量黑色物质用磁铁吸引 黑色物质全部被磁铁吸引
取少量黑色物质加入30%热的盐酸中 无气泡、溶液颜色变成黄绿色
取少量黑色物质加入硫酸铜溶液中 无任何现象
[实验结论]
(1)甲实验现象说明黑色物质中没有
FeO
FeO
,乙、丙实验现象说明黑色物质中没有
Fe
Fe

(2)生成的黑色物质应为Fe3O4
(3)写出黑色粉末和热的盐酸反应的化学方程式
Fe3O4+8HCl=FeCl2+2FeCl3+4H2O
Fe3O4+8HCl=FeCl2+2FeCl3+4H2O

[拓展探究]同学们对Fe3O4产生了兴趣,从参考资料中找到了氧化沉淀法生产复印用高档Fe3O4粉的工艺流程简图.
[生产流程]

[查阅资料]
资料一:硫酸亚铁在不同温度下的溶解度如表所示:
温度/℃ 0 10 30 50 60 70 80 90
溶解度/g 14.0 17.0 25.0 33.0 35.3 33.0 30.5 27.0
资料二:Fe(OH)2受氧气氧化反应原理为:4Fe(OH)2+2H2O+O2=4Fe(OH)3
资料三:获得Fe3O4的反应原理为:Fe(OH)2+2Fe(OH)3
  △  
.
 
Fe3O4+4H2O
[问题讨论]
(1)溶解时,用50℃至80℃的热水目的是
在50℃~80℃时,硫酸亚铁的溶解度较大,有利于溶解的更多,提高产率
在50℃~80℃时,硫酸亚铁的溶解度较大,有利于溶解的更多,提高产率

(2)写出加入适量NaOH溶液时发生反应的化学方程式
2NaOH+FeSO4═Fe(OH)2↓+Na2SO4
2NaOH+FeSO4═Fe(OH)2↓+Na2SO4

(3)上述过程中,要控制“通一定量空气”的目的是
控制Fe(OH)2转化为Fe(OH)3的量
控制Fe(OH)2转化为Fe(OH)3的量

(4)要使四氧化三铁的产率最高,则上述流程中产生的Fe(OH)2和Fe(OH)3的最佳质量比为
90:214
90:214

(5)副产品P是硫酸钠,由溶液N获得该副产品的操作顺序是b→
c
c
a
a
→d.
a.过滤   b.加热浓缩     c.冷却结晶    d.晶体加热至完全失去结晶水
[组成确定]为确定用以上方法制得的四氧化三铁中可能含有的杂质,同学们又进行了下列实验探究.
[查阅资料]
资料一:难溶性碱受热时能分解产生金属氧化物和水(反应中各种元素的化合价不变);
资料二:Fe2O3和CO反应是随温度升高而逐步进行的,先生成Fe3O4,再生成FeO(黑色),最后生成Fe;
[提出猜想]Fe3O4中可能含有的杂质是Fe2O3和FeO中的一种或两种.
[实验设计]同学们称取了23.28g该Fe3O4样品进行了下列实验:

[实验分析]因探究思路不同,兴趣小组分成甲、乙两小组.
甲组:
(1)该组同学欲通过B装置反应前后的质量变化来计算确认该Fe3O4样品中的杂质.
B中的最佳试剂是
(填序号)
①澄清石灰水     ②氢氧化钠浓溶液    ③稀盐酸         ④水
(2)上述实验过程中,CO气体除作为反应物外,能起到的作用是:
①实验开始时,排尽装置中的空气,防止
防止爆炸
防止爆炸

②停止加热后,继续通CO气体,防止
防止生成物被氧化
防止生成物被氧化
,以及B中的溶液倒吸入A中;
在本实验中,CO气体还能起到的作用是③
让二氧化碳全部进入B瓶中
让二氧化碳全部进入B瓶中

(3)尾气如何处理?
点燃
点燃

乙组:
利用仪器测定并绘制成反应过程中A装置中玻璃管内的固体质量随温度的变化曲线(如图)

(1)写出BC段发生反应的化学方程式:
Fe3O4+CO
 高温 
.
 
3FeO+CO2
Fe3O4+CO
 高温 
.
 
3FeO+CO2

(2)通过分析计算确定:该Fe3O4样品中含有的杂质是
Fe2O3
Fe2O3
.(不需要写过程)

查看答案和解析>>

科目:初中化学 来源: 题型:解答题

某兴趣小组在复习铁的冶炼时,在参考资料上发现以下一段文字:已知在不同的温度下,CO与铁的氧化物反应能生成另一种铁的氧化物(或铁单质)和CO2.他们不禁产生了疑问:课本上册124页的实验中,CO与Fe2O3反应生成的黑色物质真的是Fe粉吗?于是他们进行了以下探究.
[查阅资料]
资料一:Fe粉和Fe3O4粉末能被磁铁吸引而FeO(黑色)不能;
资料二:Fe3O4中铁元素有+2、+3两种化合价,其化学式可用FeO?Fe2O3 的形式表示;
[提出猜想]黑色物质可能是Fe3O4、FeO和Fe粉中的一种或几种.
[进行实验]兴趣小组收集了CO与Fe2O3反应生成的黑色物质进行了下列实验:
实验方案实验现象
取少量黑色物质用磁铁吸引黑色物质全部被磁铁吸引
取少量黑色物质加入30%热的盐酸中无气泡、溶液颜色变成黄绿色
取少量黑色物质加入硫酸铜溶液中无任何现象
[实验结论]
(1)甲实验现象说明黑色物质中没有________,乙、丙实验现象说明黑色物质中没有________;
(2)生成的黑色物质应为Fe3O4
(3)写出黑色粉末和热的盐酸反应的化学方程式________;
[拓展探究]同学们对Fe3O4产生了兴趣,从参考资料中找到了氧化沉淀法生产复印用高档Fe3O4粉的工艺流程简图.
[生产流程]

[查阅资料]
资料一:硫酸亚铁在不同温度下的溶解度如表所示:
温度/℃010305060708090
溶解度/g14.017.025.033.035.333.030.527.0
资料二:Fe(OH)2受氧气氧化反应原理为:4Fe(OH)2+2H2O+O2=4Fe(OH)3
资料三:获得Fe3O4的反应原理为:Fe(OH)2+2Fe(OH)3数学公式Fe3O4+4H2O
[问题讨论]
(1)溶解时,用50℃至80℃的热水目的是________.
(2)写出加入适量NaOH溶液时发生反应的化学方程式________.
(3)上述过程中,要控制“通一定量空气”的目的是________.
(4)要使四氧化三铁的产率最高,则上述流程中产生的Fe(OH)2和Fe(OH)3的最佳质量比为________.
(5)副产品P是硫酸钠,由溶液N获得该副产品的操作顺序是b→________→________→d.
a.过滤  b.加热浓缩   c.冷却结晶  d.晶体加热至完全失去结晶水
[组成确定]为确定用以上方法制得的四氧化三铁中可能含有的杂质,同学们又进行了下列实验探究.
[查阅资料]
资料一:难溶性碱受热时能分解产生金属氧化物和水(反应中各种元素的化合价不变);
资料二:Fe2O3和CO反应是随温度升高而逐步进行的,先生成Fe3O4,再生成FeO(黑色),最后生成Fe;
[提出猜想]Fe3O4中可能含有的杂质是Fe2O3和FeO中的一种或两种.
[实验设计]同学们称取了23.28g该Fe3O4样品进行了下列实验:

[实验分析]因探究思路不同,兴趣小组分成甲、乙两小组.
甲组:
(1)该组同学欲通过B装置反应前后的质量变化来计算确认该Fe3O4样品中的杂质.
B中的最佳试剂是________(填序号)
①澄清石灰水   ②氢氧化钠浓溶液  ③稀盐酸     ④水
(2)上述实验过程中,CO气体除作为反应物外,能起到的作用是:
①实验开始时,排尽装置中的空气,防止________;
②停止加热后,继续通CO气体,防止________,以及B中的溶液倒吸入A中;
在本实验中,CO气体还能起到的作用是③________.
(3)尾气如何处理?________.
乙组:
利用仪器测定并绘制成反应过程中A装置中玻璃管内的固体质量随温度的变化曲线(如图)

(1)写出BC段发生反应的化学方程式:________;
(2)通过分析计算确定:该Fe3O4样品中含有的杂质是________.(不需要写过程)

查看答案和解析>>

科目:初中化学 来源: 题型:解答题

某兴趣小组在复习铁的冶炼时,在参考资料上发现以下一段文字:已知在不同的温度下,CO与铁的氧化物反应能生成另一种铁的氧化物(或铁单质)和CO2.他们不禁产生了疑问:书本119页的实验中,CO与Fe2O3反应生成的黑色物质真的是Fe粉吗?于是他们进行了以下探究.
【查阅资料】
资料一:Fe粉和Fe3O4粉末能被磁铁吸引而FeO(黑色)不能;
资料二:Fe3O4中铁元素有+2、+3两种化合价,其化学式可用FeO?Fe2O3 的形式表示;
【提出猜想】黑色物质可能是Fe3O4、FeO和Fe粉中的一种或几种.
【进行实验】兴趣小组收集了CO与Fe2O3反应生成的黑色物质进行了下列实验:
实验方案实验现象
取少量黑色物质用磁铁吸引黑色物质全部被磁铁吸引
取少量黑色物质加入30%热的盐酸中无气泡、溶液颜色变成黄绿色
取少量黑色物质加入硫酸铜溶液中无任何现象
【实验结论】
(1)甲实验现象说明黑色物质中没有______,乙、丙实验现象说明黑色物质中没有______;
(2)生成的黑色物质应为Fe3O4
(3)写出黑色粉末和热的盐酸反应的化学方程式______;
【拓展探究】同学们对Fe3O4产生了兴趣,从参考资料中找到了氧化沉淀法生产复印用高档Fe3O4粉的工艺流程简图.
【生产流程】

【查阅资料】
资料一:硫酸亚铁在不同温度下的溶解度如下表所示:
温度/℃010305060708090
溶解度/g14.017.025.033.035.333.030.527.0
资料二:Fe(OH)2受氧气氧化反应原理为:4Fe(OH)2+2H2O+O2=4Fe(OH)3
资料三:获得Fe3O4的反应原理为:Fe(OH)2+2Fe(OH)3数学公式Fe3O4+4H2O
【问题讨论】
(1)溶解时,用50℃至80℃的热水目的是______.
(2)写出加入适量NaOH溶液时发生反应的化学方程式______;
(3)上述过程中,要控制“通一定量空气”的目的是______.
(4)要使四氧化三铁的产率最高,则上述流程中产生的Fe(OH)2和Fe(OH)3的最佳质量比为______.
(5)副产品P是硫酸钠,由溶液N获得该副产品的操作顺序是b→______→______→d.
a.过滤  b.加热浓缩   c.冷却结晶  d.晶体加热至完全失去结晶水
【组成确定】为确定用以上方法制得的四氧化三铁中可能含有的杂质,同学们又进行了下列实验探究.
【查阅资料】
资料一:难溶性碱受热时能分解产生金属氧化物和水(反应中各种元素的化合价不变);
资料二:Fe2O3和CO反应是随温度升高而逐步进行的,先生成Fe3O4,再生成FeO(黑色),最后生成Fe;
【提出猜想】Fe3O4中可能含有的杂质是Fe2O3和FeO中的一种或两种.
【实验设计】同学们称取了23.28g该Fe3O4样品进行了下列实验:
【实验分析】因探究思路不同,兴趣小组分成甲、乙两小组.
甲组:
(1)该组同学欲通过B装置反应前后的质量变化来计算确认该Fe3O4样品中的杂质.B中的最佳试剂是_______(填序号).
①澄清石灰水   ②氢氧化钠浓溶液   ③稀盐酸   ④水
(2)上述实验过程中,CO气体除作为反应物外,还能起到的作用是:①实验开始时,排尽装置中的空气,防止加热时发生爆炸;②停止加热后,防止A中生成物被氧化,B中的溶液倒吸入A中;③______.
(3)乙组同学认为B装置反应前后的质量差会偏小而影响计算、分析,你认为他们的理由是______.
乙组:
利用仪器测定并绘制成反应过程中A装置中玻璃管内的固体质量随温度的变化曲线(右图).
(1)写出BC段发生反应的化学方程式:______.
(2)通过计算确定:该Fe3O4样品中含有的杂质是______,其中含Fe3O4的质量是______g.(不需要写过程)

查看答案和解析>>

科目:初中化学 来源:专项题 题型:实验题

某兴趣小组在复习铁的冶炼时,在参考资料上发现以下一段文字:已知在不同的温度下,CO与铁的氧化物反应能生成另一种铁的氧化物(或铁单质)和CO2.他们不禁产生了疑问:书本119页的实验中,CO与Fe2O3反应生成的黑色物质真的是Fe粉吗?于是他们进行了以下探究.
【查阅资料】资料一:Fe粉和Fe3O4粉末能被磁铁吸引而FeO(黑色)不能;
资料二:Fe3O4中铁元素有+2、+3两种化合价,其化学式可用FeO·Fe2O3的形式表示;
【提出猜想】黑色物质可能是Fe3O4、FeO和Fe粉中的一种或几种.
【进行实验】兴趣小组收集了CO与Fe2O3反应生成的黑色物质进行了下列实验:
【实验结论】
(1)甲实验现象说明黑色物质中没有 _________ ,乙、丙实验现象说明黑色物质中没有 _________
(2)生成的黑色物质应为Fe3O4
(3)写出黑色粉末和热的盐酸反应的化学方程式 _________
【拓展探究】同学们对Fe3O4产生了兴趣,从参考资料中找到了氧化沉淀法生产复印用高档Fe3O4粉的工艺流程简图.
【生产流程】
【查阅资料】
资料一:硫酸亚铁在不同温度下的溶解度如下表所示:
资料二:Fe(OH)2受氧气氧化反应原理为:4Fe(OH)2+2H2O+O2==4Fe(OH)3
资料三:获得Fe3O4的反应原理为:Fe(OH)2+2Fe(OH)3Fe3O4+4H2O
【问题讨论】(1)溶解时,用50℃至80℃的热水目的是_________
(2)写出加入适量NaOH溶液时发生反应的化学方程式_________
(3)上述过程中,要控制“通一定量空气”的目的是_________
(4)要使四氧化三铁的产率最高,则上述流程中产生的Fe(OH)2和Fe(OH)3的最佳质量比为_________
(5)副产品P是硫酸钠,由溶液N获得该副产品的操作顺序是b→______ _____ →d.
a.过滤   b.加热浓缩     c.冷却结晶    d.晶体加热至完全失去结晶水
【组成确定】为确定用以上方法制得的四氧化三铁中可能含有的杂质,同学们又进行了下列实验探究.
【查阅资料】
资料一:难溶性碱受热时能分解产生金属氧化物和水(反应中各种元素的化合价不变);
资料二:Fe2O3和CO反应是随温度升高而逐步进行的,先生成Fe3O4,再生成FeO(黑色),最后生成Fe;
【提出猜想】Fe3O4中可能含有的杂质是Fe2O3和FeO中的一种或两种.
【实验设计】同学们称取了23.28g该Fe3O4样品进行了下列实验:
【实验分析】因探究思路不同,兴趣小组分成甲、乙两小组.
甲组:(1)该组同学欲通过B装置反应前后的质量变化来计算确认该Fe3O4样品中的杂质.B中的最佳试剂是__________(填序号).
①澄清石灰水     ②氢氧化钠浓溶液     ③稀盐酸     ④水
(2)上述实验过程中,CO气体除作为反应物外,还能起到的作用是:
①实验开始时,排尽装置中的空气,防止加热时发生爆炸;
②停止加热后,防止A中生成物被氧化,B中的溶液倒吸入A中;
_________
(3)乙组同学认为B装置反应前后的质量差会偏小而影响计算、分析,你认为他们的理由是_________
乙组:利用仪器测定并绘制成反应过程中A装置中玻璃管内的固体质量随温度的变化曲线(下图).
(1)写出BC段发生反应的化学方程式:_________
(2)通过计算确定:该Fe3O4样品中含有的杂质是_________,其中含Fe3O4的质量是_________g.(不需要写过程)

查看答案和解析>>

科目:初中化学 来源:2012-2013学年江苏省扬州市邗江中学九年级(上)期末化学试卷(解析版) 题型:解答题

某兴趣小组在复习铁的冶炼时,在参考资料上发现以下一段文字:已知在不同的温度下,CO与铁的氧化物反应能生成另一种铁的氧化物(或铁单质)和CO2.他们不禁产生了疑问:课本上册124页的实验中,CO与Fe2O3反应生成的黑色物质真的是Fe粉吗?于是他们进行了以下探究.
[查阅资料]
资料一:Fe粉和Fe3O4粉末能被磁铁吸引而FeO(黑色)不能;
资料二:Fe3O4中铁元素有+2、+3两种化合价,其化学式可用FeO?Fe2O3 的形式表示;
[提出猜想]黑色物质可能是Fe3O4、FeO和Fe粉中的一种或几种.
[进行实验]兴趣小组收集了CO与Fe2O3反应生成的黑色物质进行了下列实验:
实验方案实验现象
取少量黑色物质用磁铁吸引黑色物质全部被磁铁吸引
取少量黑色物质加入30%热的盐酸中无气泡、溶液颜色变成黄绿色
取少量黑色物质加入硫酸铜溶液中无任何现象
[实验结论]
(1)甲实验现象说明黑色物质中没有______,乙、丙实验现象说明黑色物质中没有______;
(2)生成的黑色物质应为Fe3O4
(3)写出黑色粉末和热的盐酸反应的化学方程式______;
[拓展探究]同学们对Fe3O4产生了兴趣,从参考资料中找到了氧化沉淀法生产复印用高档Fe3O4粉的工艺流程简图.
[生产流程]

[查阅资料]
资料一:硫酸亚铁在不同温度下的溶解度如表所示:
温度/℃10305060708090
溶解度/g14.017.025.033.035.333.030.527.0
资料二:Fe(OH)2受氧气氧化反应原理为:4Fe(OH)2+2H2O+O2=4Fe(OH)3
资料三:获得Fe3O4的反应原理为:Fe(OH)2+2Fe(OH)3Fe3O4+4H2O
[问题讨论]
(1)溶解时,用50℃至80℃的热水目的是______.
(2)写出加入适量NaOH溶液时发生反应的化学方程式______.
(3)上述过程中,要控制“通一定量空气”的目的是______.
(4)要使四氧化三铁的产率最高,则上述流程中产生的Fe(OH)2和Fe(OH)3的最佳质量比为______.
(5)副产品P是硫酸钠,由溶液N获得该副产品的操作顺序是b→______→______→d.
a.过滤   b.加热浓缩     c.冷却结晶    d.晶体加热至完全失去结晶水
[组成确定]为确定用以上方法制得的四氧化三铁中可能含有的杂质,同学们又进行了下列实验探究.
[查阅资料]
资料一:难溶性碱受热时能分解产生金属氧化物和水(反应中各种元素的化合价不变);
资料二:Fe2O3和CO反应是随温度升高而逐步进行的,先生成Fe3O4,再生成FeO(黑色),最后生成Fe;
[提出猜想]Fe3O4中可能含有的杂质是Fe2O3和FeO中的一种或两种.
[实验设计]同学们称取了23.28g该Fe3O4样品进行了下列实验:

[实验分析]因探究思路不同,兴趣小组分成甲、乙两小组.
甲组:
(1)该组同学欲通过B装置反应前后的质量变化来计算确认该Fe3O4样品中的杂质.
B中的最佳试剂是______(填序号)
①澄清石灰水     ②氢氧化钠浓溶液    ③稀盐酸         ④水
(2)上述实验过程中,CO气体除作为反应物外,能起到的作用是:
①实验开始时,排尽装置中的空气,防止______;
②停止加热后,继续通CO气体,防止______,以及B中的溶液倒吸入A中;
在本实验中,CO气体还能起到的作用是③______.
(3)尾气如何处理?______.
乙组:
利用仪器测定并绘制成反应过程中A装置中玻璃管内的固体质量随温度的变化曲线(如图)

(1)写出BC段发生反应的化学方程式:______ 3FeO+CO2

查看答案和解析>>

同步练习册答案