精英家教网 > 初中化学 > 题目详情
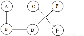
已知A、B、C、D、E、F分别是硫酸铜溶液、氢氧化钾溶液、铁、稀硫酸、氧化铁、二氧化碳中的一种物质,请回答下列问题:
(1)A与C反应能产生蓝色沉淀,A与B能发生置换反应,则A与B反应的化学方程式为   
(2)D与B反应后溶液的颜色为浅绿色,则E和D反应的现象   
(3)在图中标出六种物质的化学式;
(4)在图中将一定条件下所有能发生反应的两种物质用“--”连接起来.
【答案】分析:根据题中叙述,A与C反应能产生蓝色沉淀,则A与C为硫酸铜和铁中的一种,D与B反应后溶液的颜色为浅绿色,则B与D的反应为盐酸与铁的反应,故B为铁,D为盐酸,A为硫酸铜,根据题中提供的物质,硫酸铜能与氢氧化钠反应,故C为氢氧化钠,与氢氧化钠反应的F为二氧化碳,故E为氧化铁,代入框图,推断合理.
解答:解:(1)A与C反应能产生蓝色沉淀,则A与C的反应为硫酸铜与铁的反应,所以本题答案为:CuSO4+Fe═FeSO4+Cu;
(2)A与C反应能产生蓝色沉淀,则A与C为硫酸铜和铁中的一种,D与B反应后溶液的颜色为浅绿色,则B与D的反应为盐酸与铁的反应,故B为铁,D为盐酸,A为硫酸铜,根据题中提供的物质,硫酸铜能与氢氧化钠反应,故C为氢氧化钠,与氢氧化钠反应的F为二氧化碳,故E为氧化铁,则D与E的反应为盐酸与氧化铁的反应,会出现红棕色粉末溶解,溶液变黄的现象,所以本题答案为:红色粉末逐渐溶解(或消失),溶液的颜色由无色变为黄色;
(3)根据推断,可知A为硫酸铜,B为铁,C为氢氧化钠,D为盐酸,E为氧化铁,所以本题答案为:A、CuSO4,B、Fe,C、NaOH,D、HCl,E、Fe2O3,F、CO2.故答案为:(1)CuSO4+Fe═FeSO4+Cu;(2)红色粉末逐渐溶解(或消失),溶液的颜色由无色变为黄色;(3)A、CuSO4,B、Fe,C、NaOH,D、HCl,E、Fe2O3,F、CO2.(4)
点评:此题为框图式物质推断题,完成此类题目,关键是找准解题突破口,直接得出结论,然后利用顺向或逆向或两边向中间推,逐一导出其他结论.
练习册系列答案
相关习题

科目:初中化学 来源: 题型:

有A、B、C、D四种元素,已知A、B、C、D的核电荷数依次增大,A的原子核内只有1个质子;黑色单质B可在C的单质中燃烧,生成一种能使石灰水变浑浊的气体;D是地壳中含量第二的金属.
(1)A、B、C、D的元素符号分别是A:
 
B:
 
C:
 
D:
 

(2)写出下列化学反应的符号表达式:
①B在C中燃烧:
 

②D在C中燃烧:
 

查看答案和解析>>

科目:初中化学 来源: 题型:

精英家教网已知A、B、C、D、E、F为常见物质,其中A、B含有相同的元素,B、E为氧化物,C、D、F都为单质.它们之间相互转化的关系如右图所示(图中反应条件已略去).
(1)写出有关物质的化学式:A
 
、C
 

(2)若F不溶于稀硫酸,写出反应③的化学方程式
 
.与D具有相似化学性质,并能与E发生反应,且反应基本类型与③不相同的物质有
 

查看答案和解析>>

科目:初中化学 来源: 题型:

(2013?沈阳)已知A、B、C、D是初中化学常见的物质.它们之间的相互转化关系如图所示.其中A被看作是理想的“绿色能源”,B在常温下是一种无色液体,C可用于灭火.(部分反应物、生成物和反应条件未标出)
请回答下列问题:
(1)写出A在空气中燃烧的主要现象:
产生淡蓝色的火焰
产生淡蓝色的火焰
,放出大量的热.
(2)写出B→A的化学方程式:
2H2O
 通电 
.
 
2H2↑+O2
2H2O
 通电 
.
 
2H2↑+O2
,其基本反应类型为
分解反应
分解反应

(3)若D是有机物,其化学式为
C6H12O6
C6H12O6

(4)若D是无机物,写出B→D的化学方程式:
CO2+H2O═H2CO3  
CO2+H2O═H2CO3  

查看答案和解析>>

科目:初中化学 来源: 题型:

如图已知A、B、C、D、E、F为初中化学常见的物质,六种物质相互反应及转化关系如图:
(1)若E为浅绿色溶液,D为无色气体,F为红色金属,则A的化学式可能是
H2SO4
H2SO4
,D可以与
CuO
CuO
反应生成F.B、C反应方程式为
Fe+CuSO4=FeSO4+Cu
Fe+CuSO4=FeSO4+Cu

(2)若B为能使澄清石灰水浑浊的无色气体,E通常为无色液体,则F的化学式为
CaCO3
CaCO3
,C能与
Na2CO3
Na2CO3
反应生成A.A、B反应方程式为
CO2+2NaOH=Na2CO3+H2O
CO2+2NaOH=Na2CO3+H2O

查看答案和解析>>

科目:初中化学 来源: 题型:

已知A、B、C、D、E、F是初中化学中常见的六种物质,它们之间在一定条件下有如图所示的转化关系(图中“→”表示物质间存在转化关系,“
-
-
”表示两种溶液间能发生反应).又知A、B、D都是由两种元素组成,且A、B所含元素各不相同;C、E均含三种元素,其中E常用来改良酸性土壤;F是一种能维持生命活动的单质(通常状态下为气体).请按要求回答下列问题:
(1)写出下列反应的化学方程式:
①B---D:
CO2+H2O=H2CO3
CO2+H2O=H2CO3

②能生成C,且反应物为两种盐的复分解反应:
Na2CO3+CaCl2=CaCO3↓+2NaCl
Na2CO3+CaCl2=CaCO3↓+2NaCl

(2)A→D可以通过A分别与
3
3
种不同类型的物质反应来实现;
(3)与B组成元素相同的另一种物质的还原性在工业上有重要用途,请写出一个化学方程式予以表示
CO+CuO
  △  
.
 
Cu+CO2
CO+CuO
  △  
.
 
Cu+CO2

查看答案和解析>>

同步练习册答案