精英家教网 > 初中化学 > 题目详情
小强同学在公共场所围墙上看到一则化肥广告(如图).回校后,小强想通过计算氮的质量分数判断该广告是否为虚假广告.
国内首创
优质硝酸铵
NH4NO3
含氮量全球最高(38%)
(1)请你写出小强的计算过程和判断依据.计算过程:______.
结论:该广告______(“是”或“不是”)虚假广告.
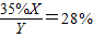
(2)小强认为此广告会坑害农民,向有关部门反映,技术监督局对该产品取样分析,发现氮元素质量分数仅为28%,则该产品中硝酸铵的质量分数为______.
【答案】分析:(1)分析该题可得计算出纯净的硝酸铵中的氨的质量分数,看是否可达38%即可.
(2)可通过设硝酸铵质量为X,总质量为Y,以混合后氮元素的质量分数为28%为等量关系来计算.
解答:解:(1)(2分)NH4NO3中氮元素的质量分数为×100%=35%,35%<38%;(1分)是
(2)设NH4NO3质量为X,硝酸铵的质量为Y,则得方程式为,可得X:Y=4:5,
则该产品中硝酸铵的质量分数为80%.
点评:本题主要考查混合物种某元素的质量计算、化合物中某元素的质量计算以及标签上标示的物质成分及其含量.
练习册系列答案
相关习题

科目:初中化学 来源: 题型:

精英家教网小强同学在公共场所围墙上看到一则化肥广告.
(1)回校后,小强通过计算氮的质量分数发现该广告是虚假广告.请你写出小强的计算过程和判断依据.
 

(2)小强认为此广告会坑害农民,向有关部门反映,技术监督局对该产品取样分析,发现其氮元素质量分数仅为12.0%,则该产品中碳酸氢铵的质量分数为多少?
 

查看答案和解析>>

科目:初中化学 来源: 题型:

精英家教网(1)化肥尿素[CO(NH22]中碳、氧、氮、氢四种元素的原子个数比为
 
,其相对分子质量为
 

(2)小强同学在公共场所围墙上看到一则化肥广告如图所示.
①回校后,小强通过计算氮的质量分数发现该广告是虚假广告.请你写出小强的计算过程和判断依据.
 

②小强认为此广告会坑害农民,向有关部门反映.技术监督局对该产品取样分析,发现其氮元素质量分数仅为42.O%,则该产品中尿素的质量分数为多少?
 

查看答案和解析>>

科目:初中化学 来源: 题型:

Ⅰ.成年人每分钟大约需要吸入8L氧气.问成年人每分钟大致需要空气
 
升;在标准状况下,8L氧气的质量是
 
克;所需空气的质量为
 
克;(空气中氧气体积分数按20%计算,氧气的密度=1.429g?L-1,空气的密度=1.293g?L-1).
Ⅱ.小强同学在公共场所围墙上看到一则化肥广告(如图).回校后,小强想通过计算氮的质量分数判断该广告是否
为虚假广告.
国内首创
优质硝酸铵
NH4 NO3
含氮量全球最高(38%)(1)请你写出小强的计算过程和判断依据.计算过程:
 

结论:该广告
 
(“是”或“不是”)虚假广告.
(2)小强认为此广告会坑害农民,向有关部门反映,技术监督局对该产品取样分析,发现氮元素质量分数仅为28%,则该产品中硝酸铵的质量分数为
 

查看答案和解析>>

科目:初中化学 来源: 题型:

小强同学在公共场所围墙上看到一则化肥广告(如图).回校后,小强通过计算氮的质量分数发现该广告是虚假广告.
请你写出小强的计算过程和判断依据.
(1)计算过程:
NH4NO3中氮元素的质量分数为
28
80
×100%=35%,因为35%<38%
NH4NO3中氮元素的质量分数为
28
80
×100%=35%,因为35%<38%

(2)结论:
是虚假广告
是虚假广告

查看答案和解析>>

科目:初中化学 来源: 题型:

小强同学在公共场所的围墙上看到一则化肥广告如下图:回校后,他做如下计算:
①硝酸铵的相对分子质量为
80
80

②硝酸铵中氮、氢、氧三种元素质比
7:1:12
7:1:12

③判断此广告为假广告依据(写计算过程):
硝酸铵中氮元素的质量分数为
14×2
14+1×4+14+16×3
×100%=35%<38%,因此此广告为虚假广告
硝酸铵中氮元素的质量分数为
14×2
14+1×4+14+16×3
×100%=35%<38%,因此此广告为虚假广告

④欲购买8kg硝酸铵,因缺货改为购买
6
6
kg
尿素[CO(NH22]能达到同样施氮肥效果.

查看答案和解析>>