ʵÑéÊÒÓÃ×ãÁ¿µÄCO»¹Ô­CuOµÄ·½·¨À´²âµÃCuµÄ½üËÆÏà¶ÔÔ­×ÓÖÊÁ¿£®Ð¡Ã÷Éè¼ÆÁËÈçͼµÄËùʾµÄ×°ÖýøÐÐʵÑ飮ʵÑéǰ׼ȷ³ÆÈ¡CuOµÄÖÊÁ¿Îªm g£¬ÊµÑéÍê±Ïºó£¬Ð¡Ã÷µÃµ½ÈçÏÂÁ½×éÊý¾Ý£º
·´Ó¦Ç°·´Ó¦Ç°·´Ó¦ºó
A×é²£Á§¹ÜºÍCuOµÄ
ÖÊÁ¿Îª m1 g
²£Á§¹ÜºÍÊ£Óà¹ÌÌå
µÄÖÊÁ¿Îª m2g
B×éÊԹܺͳÎÇåʯ»ÒË®µÄÖÊÁ¿Îªm3 gÊԹܺÍÊÔ¹ÜÖÐÎïÖÊ
µÄÖÊÁ¿Îªm4g
£¨1£©Ð¡Ã÷¾­¹ý·ÖÎö£¬ËûÑ¡ÓÃÁËA×éÊý¾Ý½øÐмÆË㣬¶øÎ´Ñ¡B×飬ԭÒòÊÇ______£»
£¨2£©¼ÆËãCuµÄÏà¶ÔÔ­×ÓÖÊÁ¿µÄ±í´ïʽΪ______£»
£¨3£©ÏÂÁÐÇé¿ö½«Ê¹²â¶¨½á¹ûÆ«´óµÄÊÇ______£®
¢ÙCuO Î´È«²¿»¹Ô­ÎªCu   ¢ÚCuO Êܳ±  ¢ÛCuOÖлìÓÐÍ­£®

¡¾´ð°¸¡¿·ÖÎö£º£¨1£©ÈçÑ¡B×éÊý¾Ý½øÐмÆËãʱ£¬Ö÷Òª¿¼Âdz¨¿ÚÊ¢·ÅµÄ³ÎÇåʯ»ÒˮҲ¿ÉÄÜÎüÊÕ¿ÕÆøÖеÄCO2»ò³ÎÇåʯ»ÒˮҲ¿ÉÄÜδÎüÊÕÍêÉú³ÉµÄCO2Á½·½ÃæÔ­Òò»áµ¼Ö²ⶨCuµÄÏà¶ÔÔ­×ÓÖÊÁ¿Æ«´ó»òƫС£»
£¨2£©Ñ¡ÓÃÁËA×éÊý¾Ý½øÐмÆËãÊÇÀûÓ÷´Ó¦Ç°ºóCuOÖÐÑõÔªËØµÄ¼õÉÙÁ¿ºÍʵÑéǰ׼ȷ³ÆÈ¡CuOµÄÖÊÁ¿Îªm gÖÐÑõÔªËØµÄÖÊÁ¿ÏàµÈ£¬ÇóµÃCuµÄÏà¶ÔÔ­×ÓÖÊÁ¿£»
£¨3£©·ÖÎöÄܵ¼Ö²ⶨCuµÄÏà¶ÔÔ­×ÓÖÊÁ¿µÄ½á¹ûÆ«´óµÄÖî¶àÒòËØ£®
½â´ð£º½â£º£¨1£©ÈçÑ¡B×éÊý¾Ý½øÐмÆËãʱ£¬Ö÷Òª¿¼ÂÇÁ½·½ÃæÔ­Òò»áµ¼Ö²ⶨCuµÄÏà¶ÔÔ­×ÓÖÊÁ¿Æ«´ó»òƫС£¬¢Ù³¨¿ÚÊ¢·ÅµÄ³ÎÇåʯ»ÒˮҲ¿ÉÄÜÎüÊÕ¿ÕÆøÖеÄCO2£¬µ¼Ö²ⶨ½á¹ûÆ«´ó£»¢Ú³ÎÇåʯ»ÒˮҲ¿ÉÄÜδÎüÊÕÍêCO2µ¼Ö²ⶨ½á¹ûƫС£»
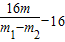
£¨2£©¸ù¾ÝÖÊÁ¿Êغ㶨ÂɺÍÌâ¸øÑõ»¯Í­ÖÊÁ¿¼°A×éËù²âÊý¾Ý£¬ÉèCuµÄÏà¶ÔÔ­×ÓÖÊÁ¿Îªx£¬ÓÉ·´Ó¦Ç°ºóÑõÔªËØµÄÖÊÁ¿ÊDz»±äµÄ£¬µÃµÈʽΪ£º 
½âµÃ£ºx=»òx=

£¨3£©Äܵ¼Ö²ⶨCuµÄÏà¶ÔÔ­×ÓÖÊÁ¿µÄ½á¹ûÆ«´óµÄÔ­ÒòºÜ¶à£¬È磺¢ÙCuO Î´È«²¿»¹Ô­ÎªCu   ¢ÚCuO Êܳ±  ¢ÛCuOÖлìÓÐÍ­µÈ£¬¶¼»áµ¼Ö²ⶨµÄÊý¾Ý³öÏÖÎó²î£®
¹Ê´ð°¸Îª£º£¨1£©³ÎÇåʯ»ÒˮҲ¿ÉÄÜÎüÊÕ¿ÕÆøÖеÄCO2£¬µ¼Ö²ⶨ½á¹ûÆ«´ó£®»òδÎüÊÕÍêCO2£¬µ¼Ö²ⶨ½á¹ûƫС£»
£¨2£©»ò
£¨3£©¢Ù¢Ú¢Û
µãÆÀ£ºÀûÓÃʵÑé²â¶¨Êý¾Ý½øÐмÆË㣬ÅųöÖî¶àÓ°Ïì²â¶¨½á¹ûµÄ¸ÉÈÅ£¬ÊÇ´ËÌâµÄÒ»´óÌØµã£¬´ËÌâÕæÄܶÍÁ¶Ñ§ÉúÓ¦ÓÃËùѧ֪ʶ¼°É÷ÃÜ˼άµÄÄÜÁ¦£®
Á·Ï°²áϵÁдð°¸
Ïà¹ØÏ°Ìâ

¿ÆÄ¿£º³õÖл¯Ñ§ À´Ô´£º ÌâÐÍ£ºÔĶÁÀí½â

һ̼»¯Ñ§ÊÇÒÔ·Ö×ÓÖÐÖ»º¬Ò»¸ö̼ԭ×ӵϝºÏÎÈçCO¡¢CH4µÈ£©ÎªÔ­ÁÏÀ´ºÏ³ÉһϵÁл¯¹¤Ô­ÁϺÍȼÁϵĻ¯Ñ§£®
£¨1£©¹¤ÒµÉÏÓÃÌìÈ»ÆøºÍË®ÕôÆøÔÚ¸ßÎÂÌõ¼þÏ·¢Éú·´Ó¦£¬µÃµ½COºÍH2£¬¸Ã·´Ó¦µÄ»¯Ñ§·½³ÌʽΪ
 
£¬µÃµ½µÄCOºÍH2µÄ»ìºÏÆø±»³ÆÎªºÏ³ÉÆø£¬ºÏ³ÉÆøÔÚ¹¤ÒµÉÏ¿ÉÓÃÓںϳÉһϵÁл¯¹¤Ô­ÁϺÍÐÂÐÍȼÁÏ£¬»¹¿ÉÓÃÓÚÒ±Á¶Ä³Ð©½ðÊô£®
£¨2£©Ä³ËûѧÐËȤС×éµÄͬѧÔÚʵÑéÊÒÄ£ÄâÁËºÏ³ÉÆøµÄÖÆ±¸£¬²¢Éè¼ÆÊµÑéÑéÖ¤ºÏ³ÉÆøµÄ»¹Ô­ÐÔ£®
I£®Óü×ÍéºÍË®ÕôÆøÔÚ¸ßÎÂÌõ¼þÏ·´Ó¦µÃµ½ºÏ³ÉÆø£®¸ù¾Ý£¨1£©ÖÐËùдµÄ»¯Ñ§·½³Ìʽ£®ºÏ³ÉÆøÖÐCOºÍH2µÄÖÊÁ¿±ÈΪ
 
£®
¢ò£®ÓÃºÏ³ÉÆø»¹Ô­×ãÁ¿Ñõ»¯Í­£®ÊµÑé×°ÖÃÈçÏÂͼËùʾ£º
¾«Ó¢¼Ò½ÌÍø
[Éè¼ÆÂòÑé²½Öè]
¢ÙÁ¬½ÓºÃ×°Öò¢¼ì²éÆøÃÜÐÔ£®
¢Ú×°ÈëÒ©Æ·£¬Í¨ÈËÒ»¶Îʱ¼äºÏ³ÉÆø£®
¢Û·Ö±ð³ÆÁ¿×°ÖÃD¡¢EµÄÖÊÁ¿£®
¢Ü»º»ºÍ¨ÈëºÏ³ÉÆø£¬¼ÓÈÈ×°ÖÃC£¬Ê¹Æä³ä·Ö·´Ó¦£®
¢ÝÍ£Ö¹¼ÓÈÈ£¬¼ÌÐøÍ¨ÈëºÏ³ÉÆøÖÁ»Ö¸´µ½ÊÒΣ®
¢ÞÔٴηֱð³ÆÁ¿×°ÖÃD¡¢EµÄÖÊÁ¿£®
[ÍêÉÆÊµÑéÉè¼Æ]¾­¹ýÌÖÂÛͬѧÃÇÈÏΪ£¬×°ÖÃEºó»¹Ó¦Ìí¼ÓÒ»¸ö¾Æ¾«µÆ£¬²¢ÔÚʵÑé²½Öè
 
£¨ÌîʵÑé²½ÖèµÄÐòºÅ£©Öеãȼ£¨µãȼǰӦ¶ÔÆøÌåÑé´¿£©£®
[½øÐÐʵÑé]¸ÃС×éµÄͬѧ°´ÉÏÊö²½Öè½øÐÐʵÑ飬²¢¼Ç¼ÁËʵÑéÏÖÏóºÍÊý¾Ý£º
¢Ù×°ÖÃCÖгöÏÖ
 
É«ÎïÖÊ£®
¢Ú³ÆÁ¿Êý¾ÝÈç±íËùʾ£®
  ×°ÖÃDµÄÖÊÁ¿ ×°ÖÃEµÄÖÊÁ¿
·´Ó¦Ç° 292.4g 198.2g
·´Ó¦ºó 296.0g 201.5g
[ÏÖÏó·ÖÎöºÍÊý¾Ý´¦Àí]
¢Ù¼×ͬѧ¸ù¾Ý×°ÖÃCÖеÄÏÖÏó£¬ÈÏΪÊÇºÏ³ÉÆøÖеÄCOºÍH2»¹Ô­ÁËCuO£®
¢ÚÒÒͬѧͨ¹ý¶ÔÉϱíÊý¾ÝµÄ·ÖÎö£¬ÍƲâ³ýÁËCOºÍH2ÒÔÍâ£¬ÖÆµÃµÄºÏ³ÉÆøÖпÉÄÜ»¹ÓÐδ·´Ó¦µÄCH4£¬ÇÒCH4Ò²»¹Ô­ÁËCuO£®ÊÔͨ¹ý¼ÆËã˵Ã÷ËûµÄÍÆ²âÒÀ¾Ý£®
¢Û±ûͬѧÌá³ö£¬ÊµÑé²½Öè¢ÝÖÐͨÈëµÄÆøÌå»á´ø×ß×°ÖÃEÖеIJ¿·ÖË®ÕôÆø£¬Ê¹ÊµÑé²úÉúÎó²î£®ÄãÈÏΪ¸ÃÎó²î¶ÔÒÒͬѧµÄÍÆ²â½á¹ûÊÇ·ñÓÐÓ°Ï죿
 
£¨Ñ¡Ìî¡°ÊÇ¡±»ò¡°·ñ¡±£¬²¢ËµÃ÷ÀíÓÉ£©£®
[ÍØÕ¹Ì½¾¿]¸ÃС×éͬѧ¶ÔÓÚCH4ÊÇ·ñÕæµÄÄܹ»»¹Ô­Ñõ»¯Í­Ìá³öÁËÖÊÒɲ¢½øÐÐ̽¾¿£®
²éÔÄ×ÊÁÏ£º¼×Íé¾ßÓл¹Ô­ÐÔ£¬¿ÉÒÔ»¹Ô­Ñõ»¯Í­£¬Éú³ÉCO2ºÍH2O£»°×É«µÄÎÞË®ÁòËáÍ­ÓöË®»á±ä³ÉÀ¶É«£®
ʵÑéÉè¼Æ£º¸ÃС×éͬѧÄâÓô¿¾»µÄ¼×Í鯸ÌåºÍÈçÏÂ×°ÖýøÐÐʵÑ飮
¾«Ó¢¼Ò½ÌÍø
¢ÙÉÏͼװÖÃFÖÐÊ¢·ÅµÄÊÔ¼ÁÃû³ÆÊÇ
 
£®
¢ÚÉÏͼװÖõÄÕýÈ·Á¬½Ó˳ÐòÊÇ
 
£¨Ìî×Öĸ£¬ÇÒÿÌ××°ÖÃÏÞÓÃÒ»´Î£©£®
[ʵÑ鷴˼]³ýÁË¿ÉÄÜÊÇCH4Ò²»¹Ô­ÁËCuOÍ⣬³öÏÖÉϱíÊý¾Ý¹ØÏµ»¹¿ÉÄÜÊÇÒòΪ
 
£¨Ð´³öÒ»¸öÔ­Òò£¬²¢ËµÃ÷ÀíÓÉ£©£®

²é¿´´ð°¸ºÍ½âÎö>>

¿ÆÄ¿£º³õÖл¯Ñ§ À´Ô´£º ÌâÐÍ£ºÔĶÁÀí½â

´Ï´ÏͬѧÔÚʵÑéÊÒ°ïÀÏʦÕûÀí·ÏÆúҩƷʱ·¢ÏÖһƿûÓбêÇ©µÄÂÌÉ«·ÛÄ©£¬¶ÔÆä×é³ÉºÜºÃÆæ£®Õ÷µÃÀÏʦÔÊÐíºó£¬Éè¼ÆÁËÒÔÏÂʵÑé½øÐÐ̽¾¿£®
²Ù×÷²½Öè ʵÑéÏÖÏó ½áÂÛ»ò»¯Ñ§·´Ó¦·½³Ìʽ
È¡ÉÙÁ¿ÑùÆ·ÖÃÓÚÊÔ¹ÜÖУ¬¼ÓÈë×ãÁ¿Ï¡ÁòËᣬ½«ÊÔ¹ÜÓõ¼¹ÜÓë³ÎÇåʯ»ÒË®ÏàÁ¬£® ¢Ù²úÉú´óÁ¿ÆøÌ壬ʹʯ»ÒË®±ä»ë×Ç£®
¢ÚÑùÆ·È«²¿Èܽ⣬ÈÜÒº³ÊÀ¶É«£®
¢ÙÑùÆ·Öк¬ÓÐ
 
Àë×Ó
¢ÚÑùÆ·Öк¬ÓÐ
 
Àë×Ó
ÔÚÉÏÊöÀ¶É«ÈÜÒºÖУ¬²åÈëÒ»¸ù½à¾»µÄÌúË¿£® ¢ÙÌúË¿±íÃæ»º»º²úÉúÉÙÁ¿ÆøÅÝ£®
¢ÚƬ¿ÌºóÌúË¿±íÃæ³öÏÖºìÉ«ÎïÖÊ£®
¢Ù
 

¢Ú
 

£¨¾ùÓ÷½³Ìʽ±íʾ£©
ΪÁ˽øÒ»²½È·¶¨¸ÃÎïÖʵÄÔªËØ×é³É£¬²éÔIJ¿·Ö×ÊÁϺó£¬Ëû¼ÌÐø½øÐÐÁËʵÑ飮
[×ÊÁϲéÔÄ]°×É«µÄÎÞË®ÁòËáÍ­¿É×öÎüË®¼Á£¬ÓöË®»á±ä³ÉÀ¶É«£®
[ʵÑé²½Öè]
¾«Ó¢¼Ò½ÌÍø
¢ÙÈçͼ´î½¨ÊµÑéÒÇÆ÷£¬²¢¼ìÑé×°ÖÃµÄÆøÃÜÐÔ£®
¢ÚÔÚA×°ÖÃÖÐ×°Èë11.1gÂÌÉ«·ÛÄ©£®¹Ø±ÕK1£¬´ò¿ªK2¡¢K3£¬³ÖÐøÍ¨ÈëÊÊÁ¿N2£®
¢Û¹Ø±ÕK2¡¢K3£¬·Ö±ð³ÆÁ¿×°ÖÃB¡¢C¡¢DµÄÖÊÁ¿£¬¼Ç¼Êý¾Ý£®
¢Ü´ò¿ªK3£¬µãȼ¾Æ¾«µÆ¼ÓÈÈÂÌÉ«·ÛĩֱÖÁ×°ÖÃCÖÐÎÞÆøÅݲúÉúʱ£¬¹Ø±ÕK3£¬Ï¨Ãð¾Æ¾«µÆ£®·Ö±ð³ÆÁ¿×°ÖÃB¡¢C¡¢DµÄÖÊÁ¿£¬¼Ç¼Êý¾Ý£®
¢Ý´ýAÀäÈ´ºó£¬´ò¿ªK1¡¢K3£¬³ÖÐøÍ¨ÈëÊÊÁ¿CO£¬Ôٴεãȼ¾Æ¾«µÆ¼ÓÈÈ£®
¢Þµ±AÖзÛĩȫ²¿±äºìºó£¬Ï¨Ãð¾Æ¾«µÆ£®ÊÔ¹ÜÀäÈ´ºó£¬¹Ø±ÕK1£®³ÆÁ¿×°ÖÃA¡¢B¡¢C¡¢DµÄÖÊÁ¿£¬¼Ç¼Êý¾Ý£®
[ʵÑéÏÖÏóºÍÊý¾Ý´¦Àí]
×°ÖÃA ×°ÖÃB ×°ÖÃC ×°ÖÃD
µÚÒ»´Î
¼ÓÈȺó
ÂÌÉ«·ÛÄ©±äºÚÉ«
 

ÖÊÁ¿Ôö¼Ó0.9g
³öÏÖ°×É«³Áµí£¬
ÖÊÁ¿Ôö¼Ó2.2g
ÎÞÃ÷ÏԱ仯
ÖÊÁ¿²»¸Ä±ä
µÚ¶þ´Î
¼ÓÈȺó
ºÚÉ«·ÛÄ©±äºìÉ«
ÖÊÁ¿Îª6.4g
ÎÞÃ÷ÏԱ仯£¬
ÖÊÁ¿²»¸Ä±ä
³ÁµíÏÈÔö¼Óºó²¿·ÖÈܽ⣻
ÖÊÁ¿Ôö¼Ó
ÎÞÃ÷ÏԱ仯
ÖÊÁ¿²»¸Ä±ä
[ʵÑé·ÖÎöÓ뷴˼]
1¡¢ÀÏʦ¿´ÁËʵÑé·½°¸ºóÈÏΪ£¬´Ó»·±£µÄ½Ç¶ÈÀ´¿´£¬´Ë×°ÖÃÓÐÒ»¸öȱÏÝ£¬½¨Òé×°ÖÃDºó»¹Ó¦Ìí¼ÓÒ»¸ö¾Æ¾«µÆ£¬²¢ÔÚʵÑé²½Öè
 
£¨ÌîʵÑé²½ÖèµÄÐòºÅ£©Öеãȼ£®
2¡¢²½Öè¢ÚͨÈëµªÆøµÄÄ¿µÄÊÇ£º
 
£®
[ʵÑé½áÂÛ]¸ÃÂÌÉ«·ÛÄ©µÄ×é³ÉÔªËØÊÇ£º
 
£»¸÷ÔªËØµÄÖÊÁ¿±ÈΪ£º
 
£¨Ð´³ö¼ÆËã¹ý³Ì£©

²é¿´´ð°¸ºÍ½âÎö>>

¿ÆÄ¿£º³õÖл¯Ñ§ À´Ô´£º ÌâÐÍ£ºÔĶÁÀí½â

һ̼»¯Ñ§ÊÇÒÔ·Ö×ÓÖÐÖ»º¬Ò»¸ö̼ԭ×ӵϝºÏÎÈçCO¡¢CH4µÈ£©ÎªÔ­ÁÏÀ´ºÏ³ÉһϵÁл¯¹¤Ô­ÁϺÍȼÁϵĻ¯Ñ§£®
£¨1£©¹¤ÒµÉÏÓÃÌìÈ»ÆøºÍË®ÕôÆøÔÚ¸ßÎÂÌõ¼þÏ·¢Éú·´Ó¦£¬µÃµ½COºÍH2£¬¸Ã·´Ó¦µÄ»¯Ñ§·½³ÌʽΪ
CH4+H2O
 ¸ßΠ
.
 
CO+3H2
CH4+H2O
 ¸ßΠ
.
 
CO+3H2
£¬µÃµ½µÄCOºÍH2µÄ»ìºÏÆø±»³ÆÎªºÏ³ÉÆø£¬ºÏ³ÉÆøÔÚ¹¤ÒµÉÏ¿ÉÓÃÓںϳÉһϵÁл¯¹¤Ô­ÁϺÍÐÂÐÍȼÁÏ£¬»¹¿ÉÓÃÓÚÒ±Á¶Ä³Ð©½ðÊô£®
£¨2£©Ä³ËûѧÐËȤС×éµÄͬѧÔÚʵÑéÊÒÄ£ÄâÁËºÏ³ÉÆøµÄÖÆ±¸£¬²¢Éè¼ÆÊµÑéÑéÖ¤ºÏ³ÉÆøµÄ»¹Ô­ÐÔ£®
I£®Óü×ÍéºÍË®ÕôÆøÔÚ¸ßÎÂÌõ¼þÏ·´Ó¦µÃµ½ºÏ³ÉÆø£®¸ù¾Ý £¨1£©ÖÐËùдµÄ»¯Ñ§·½³Ìʽ£®ºÏ³ÉÆøÖÐCOºÍH2µÄÖÊÁ¿±ÈΪ
14£º3
14£º3
£®
¢ò£®ÓÃºÏ³ÉÆø»¹Ô­×ãÁ¿Ñõ»¯Í­£®ÊµÑé×°ÖÃÈçͼËùʾ£º

[Éè¼ÆÊµÑé²½Öè]
¢ÙÁ¬½ÓºÃ×°Öò¢¼ì²éÆøÃÜÐÔ£®
¢Ú×°ÈëÒ©Æ·£¬Í¨ÈËÒ»¶Îʱ¼äºÏ³ÉÆø£®
¢Û·Ö±ð³ÆÁ¿×°ÖÃD¡¢EµÄÖÊÁ¿£®
¢Ü»º»ºÍ¨ÈëºÏ³ÉÆø£¬¼ÓÈÈ×°ÖÃC£¬Ê¹Æä³ä·Ö·´Ó¦£®
¢ÝÍ£Ö¹¼ÓÈÈ£¬¼ÌÐøÍ¨ÈëºÏ³ÉÆøÖÁ»Ö¸´µ½ÊÒΣ®
¢ÞÔٴηֱð³ÆÁ¿×°ÖÃD¡¢EµÄÖÊÁ¿£®
[ÍêÉÆÊµÑéÉè¼Æ]¾­¹ýÌÖÂÛͬѧÃÇÈÏΪ£¬×°ÖÃEºó»¹Ó¦Ìí¼ÓÒ»¸ö¾Æ¾«µÆ£¬²¢ÔÚʵÑé²½Öè
¢Ú
¢Ú
£¨ÌîʵÑé²½ÖèµÄÐòºÅ£©Öеãȼ£¨µãȼǰӦ¶ÔÆøÌåÑé´¿£©£®
[½øÐÐʵÑé]¸ÃС×éµÄͬѧ°´ÉÏÊö²½Öè½øÐÐʵÑ飬²¢¼Ç¼ÁËʵÑéÏÖÏóºÍÊý¾Ý£º
¢Ù×°ÖÃCÖгöÏÖ
ºì
ºì
É«ÎïÖÊ£®
¢Ú³ÆÁ¿Êý¾ÝÈç×ó±íËùʾ£®
×°ÖÃDµÄÖÊÁ¿ ×°ÖÃEµÄÖÊÁ¿
·´Ó¦Ç° 292.4g 198.2g
·´Ó¦ºó 296.0g 201.5g
[ÏÖÏó·ÖÎöºÍÊý¾Ý´¦Àí]
¢Ù¼×ͬѧ¸ù¾Ý×°ÖÃCÖеÄÏÖÏó£¬ÈÏΪÊÇºÏ³ÉÆøÖеÄCOºÍH2»¹Ô­ÁËCuO£®
¢ÚÒÒͬѧͨ¹ý¶ÔÉϱíÊý¾ÝµÄ·ÖÎö£¬ÍƲâ³ýÁËCOºÍH2ÒÔÍâ£¬ÖÆµÃµÄºÏ³ÉÆøÖпÉÄÜ»¹ÓÐδ·´Ó¦µÄCH4£¬ÇÒCH4Ò²»¹Ô­ÁËCuO£®ÊÔͨ¹ý¼ÆËã˵Ã÷ËûµÄÍÆ²âÒÀ¾Ý£®
¸ÃʵÑéÉú³ÉÎïÖÐ̼¡¢ÇâÔªËØµÄÖÊÁ¿±ÈÓëÒ»Ñõ»¯Ì¼ºÍÇâÆø»¹Ô­Ñõ»¯Í­ºó̼¡¢ÇâÔªËØµÄÖÊÁ¿±È²»·û
¸ÃʵÑéÉú³ÉÎïÖÐ̼¡¢ÇâÔªËØµÄÖÊÁ¿±ÈÓëÒ»Ñõ»¯Ì¼ºÍÇâÆø»¹Ô­Ñõ»¯Í­ºó̼¡¢ÇâÔªËØµÄÖÊÁ¿±È²»·û

[ÍØÕ¹Ì½¾¿]¸ÃС×éͬѧ¶ÔÓÚCH4ÊÇ·ñÕæµÄÄܹ»»¹Ô­Ñõ»¯Í­Ìá³öÁËÖÊÒɲ¢½øÐÐ̽¾¿£®
²éÔÄ×ÊÁÏ£º¼×Íé¾ßÓл¹Ô­ÐÔ£¬¿ÉÒÔ»¹Ô­Ñõ»¯Í­£¬Éú³ÉCO2ºÍH2O£»°×É«µÄÎÞË®ÁòËáÍ­ÓöË®»á±ä³ÉÀ¶É«£®
ʵÑéÉè¼Æ£º¸ÃС×éͬѧÄâÓô¿¾»µÄ¼×Í鯸ÌåºÍÈçÏÂ×°ÖýøÐÐʵÑ飮

¢ÙͼÖÐ×°ÖÃFÖÐÊ¢·ÅµÄÊÔ¼ÁÃû³ÆÊÇ
³ÎÇåµÄʯ»ÒË®
³ÎÇåµÄʯ»ÒË®
£®
¢ÚͼÖÐ×°ÖõÄÕýÈ·Á¬½Ó˳ÐòÊÇ
HGFI
HGFI
£¨Ìî×Öĸ£¬ÇÒÿÌ××°ÖÃÏÞÓÃÒ»´Î£©£®

²é¿´´ð°¸ºÍ½âÎö>>

¿ÆÄ¿£º³õÖл¯Ñ§ À´Ô´£º ÌâÐÍ£ºÔĶÁÀí½â

£¨2013?ÄϾ©¶þÄ££©£¨1£©½ðÊô²ÄÁϵÄʹÓÃ
¢ÙÈËÀà½øÈëÌúÆ÷ʱ´úÒª±ÈÇàÍ­Æ÷ʱ´úÍíµÃ¶à£¬ÕâÓë
A
A
Óйأ¨ÌîÐòºÅ£©£®
A£®½ðÊôµÄ»î¶¯ÐÔ     B£®½ðÊôµÄµ¼µçÐÔ       C£®½ðÊôµÄµ¼ÈÈÐÔ       D£®µØ¿ÇÖнðÊôÔªËØµÄº¬Á¿
¢ÚÈËÀàÒ»°ãʹÓÃÍ­ºÏ½ð¶àÓÚ´¿Í­£¬ÒòΪͭºÏ½ðµÄÈÛµãÒª±ÈÍ­µÍ£¬Ó²¶ÈÒª±ÈÍ­
´ó
´ó
 £¨Ìî¡°´ó¡±»ò¡°Ð¡¡±£©£®
£¨2£©½ðÊôµÄ½á¹¹
ͼ1ÊÇÂÁµÄÔ­×ӽṹʾÒâͼ£®ÔÚ»¯Ñ§·´Ó¦ÖÐÂÁÔ­×ÓÒ×
ʧȥ
ʧȥ
£¨Ìî¡°µÃµ½¡±»ò¡°Ê§È¥¡±£©µç×Ó´ïµ½Îȶ¨½á¹¹£¬Òò´Ë»¯ºÏÎïÖÐÂÁÔªËØÍ¨³£ÏÔ
+3
+3
¼Û£®
£¨3£©½ðÊôµÄ»î¶¯ÐÔ
¢ÙÇ뽫ͭ¡¢ÂÁ¡¢ÌúÈýÖÖ½ðÊôµÄÔªËØ·ûºÅÌîдÔÚÏÂÁнðÊô»î¶¯ÐÔ˳Ðòͼ2ÖеÄÏàӦλÖã®
¢ÚÒª¿ì½ÝÑé֤ͭ¡¢ÂÁ¡¢ÌúµÄ»î¶¯ÐÔ˳Ðò£¬Ä³Í¬Ñ§ÒѾ­Ñ¡ÔñÁË´òÄ¥¹ýµÄÌúË¿£¬ÄãÈÏΪËû»¹ÐèÒªµÄÆäËüÊÔ¼ÁÊÇ
AlCl3¡¢CuCl2ÈÜÒº£¨´ð°¸ºÏÀí¼´¿É£©
AlCl3¡¢CuCl2ÈÜÒº£¨´ð°¸ºÏÀí¼´¿É£©
£®
¢Ûþ¡¢ÂÁ¡¢ÌúÈýÖÖ½ðÊôµ¥ÖÊÓë×ãÁ¿µÄÏ¡ÁòËá·´Ó¦£¬Éú³ÉµÈÖÊÁ¿µÄÇâÆø£¬ÐèÒªÏûºÄµÄ½ðÊôÖÊÁ¿ÓɶൽÉÙµÄ˳ÐòÊÇ
Ìú£¾Ã¾£¾ÂÁ
Ìú£¾Ã¾£¾ÂÁ

£¨4£©½ðÊôµÄÐâÊ´
¢ÙÂÁµÄ»î¶¯ÐÔ±ÈÌúÇ¿£¬µ«ÂÁÔÚ¿ÕÆøÖÐÈ´±íÏÖ³öÁ¼ºÃµÄ¿¹¸¯Ê´ÐÔÄÜ£¬ÆäÔ­ÒòÊÇ
ÂÁ±íÃæÓÐÒ»²ãÖÂÃܵÄÑõ»¯Ä¤
ÂÁ±íÃæÓÐÒ»²ãÖÂÃܵÄÑõ»¯Ä¤
£®
¢ÚÌúÔÚ³±ÊªµÄ¿ÕÆøÖÐÈÝÒ×ÐâÊ´£¬ÎªÁË·ÀÖ¹ÌúÖÆÆ·ÐâÊ´£¬ÈËÃdz£²ÉÓÃ
Í¿ÓÍ£¨´ð°¸ºÏÀí¼´¿É£©
Í¿ÓÍ£¨´ð°¸ºÏÀí¼´¿É£©
µÄ·½·¨£¨ÈÎдһÖÖ£©À´´ïµ½Ä¿µÄ£®ÉúÐâµÄÌúÖÆÆ··ÅÈëÊ¢ÓйýÁ¿Ï¡ÑÎËáµÄÏ´²ÛÖУ¬¹Û²ìµ½ÈÜÒº±ä»Æ£¬Ò»¶Îʱ¼äºó£¬ÓÐÎÞÉ«ÆøÅÝÒݳö£®ÈÜÒº±ä»ÆµÄ»¯Ñ§·´Ó¦·½³ÌʽÊÇ£º
Fe2O3+6HCl¨T2FeCl3+3H2O
Fe2O3+6HCl¨T2FeCl3+3H2O
£®
¢ÛÍ­±íÃæÒ²ÈÝÒ×ÉúÐâ³ÉÍ­ÂÌ£¬ÆäÖ÷Òª³É·ÖÊǼîʽ̼ËáÍ­[Cu2£¨OH£©2CO3]£®Í­ÉúÐâ³ýÁËÓëÑõÆøºÍË®ÓйØÍ⣬»¹Óë¿ÕÆøÖеÄ
CO2
CO2
Óйأ®
£¨5£©½ðÊôµÄÒ±Á¶
¢ÙÎ÷ººÊ±ÆÚÎÒ¹úµÄÀͶ¯ÈËÃñÓÖ·¢Ã÷ÁË¡°Êª·¨Á¶Í­¡±£¬¼´¡°ÔøÇàµÃÌúÔò»¯ÎªÍ­¡±ÇëÓ÷´Ó¦·½³Ìʽ±íʾÆäÒ±Á¶Ô­Òò
Fe+CuSO4=FeSO4+Cu
Fe+CuSO4=FeSO4+Cu
_£®
¢ÚСÕÂͬѧ׼±¸ÔÚʵÑéÊÒÓÃͼ3ËùʾװÖÃÄ£Ä⹤ҵÁ¶Ìú£®ÇëÄã¾Ý´Ë»Ø´ð£º
ʵÑéÖв£Á§¹ÜÄÚµÄÏÖÏóΪ£º
ºìÉ«¹ÌÌå±äºÚÉ«
ºìÉ«¹ÌÌå±äºÚÉ«
£¬·´Ó¦µÄ»¯Ñ§·½³ÌʽÊÇ
3CO+Fe2O3
 ¸ßΠ
.
 
2Fe+3CO2
3CO+Fe2O3
 ¸ßΠ
.
 
2Fe+3CO2
£»
¢ÛijͬѧʵÑéÍê³Éºó£¬·¢ÏÖ¹ýÁ¿µÄ³ÎÇåʯ»ÒË®ÔöÖØ0.88g£¬Ôò¸ÃͬѧͨÈë×°ÖõÄCOÆøÌåÖÊÁ¿Ò»¶¨Òª´óÓÚ
0.56g
0.56g
g£¨±£ÁôСÊýµãºóÁ½Î»£©£®

²é¿´´ð°¸ºÍ½âÎö>>

¿ÆÄ¿£º³õÖл¯Ñ§ À´Ô´£º ÌâÐÍ£º½â´ðÌâ

£¨1£©½ðÊô²ÄÁϵÄʹÓÃ
¢ÙÈËÀà½øÈëÌúÆ÷ʱ´úÒª±ÈÇàÍ­Æ÷ʱ´úÍíµÃ¶à£¬ÕâÓë______Óйأ¨ÌîÐòºÅ£©£®
A£®½ðÊôµÄ»î¶¯ÐÔ¡¡¡¡ B£®½ðÊôµÄµ¼µçÐÔ¡¡¡¡¡¡ C£®½ðÊôµÄµ¼ÈÈÐÔ¡¡¡¡¡¡ D£®µØ¿ÇÖнðÊôÔªËØµÄº¬Á¿
¢ÚÈËÀàÒ»°ãʹÓÃÍ­ºÏ½ð¶àÓÚ´¿Í­£¬ÒòΪͭºÏ½ðµÄÈÛµãÒª±ÈÍ­µÍ£¬Ó²¶ÈÒª±ÈÍ­______ £¨Ìî¡°´ó¡±»ò¡°Ð¡¡±£©£®
£¨2£©½ðÊôµÄ½á¹¹
ͼ1ÊÇÂÁµÄÔ­×ӽṹʾÒâͼ£®ÔÚ»¯Ñ§·´Ó¦ÖÐÂÁÔ­×ÓÒ×______£¨Ìî¡°µÃµ½¡±»ò¡°Ê§È¥¡±£©µç×Ó´ïµ½Îȶ¨½á¹¹£¬Òò´Ë»¯ºÏÎïÖÐÂÁÔªËØÍ¨³£ÏÔ______¼Û£®
£¨3£©½ðÊôµÄ»î¶¯ÐÔ
¢ÙÇ뽫ͭ¡¢ÂÁ¡¢ÌúÈýÖÖ½ðÊôµÄÔªËØ·ûºÅÌîдÔÚÏÂÁнðÊô»î¶¯ÐÔ˳Ðòͼ2ÖеÄÏàӦλÖã®
¢ÚÒª¿ì½ÝÑé֤ͭ¡¢ÂÁ¡¢ÌúµÄ»î¶¯ÐÔ˳Ðò£¬Ä³Í¬Ñ§ÒѾ­Ñ¡ÔñÁË´òÄ¥¹ýµÄÌúË¿£¬ÄãÈÏΪËû»¹ÐèÒªµÄÆäËüÊÔ¼ÁÊÇ______£®
¢Ûþ¡¢ÂÁ¡¢ÌúÈýÖÖ½ðÊôµ¥ÖÊÓë×ãÁ¿µÄÏ¡ÁòËá·´Ó¦£¬Éú³ÉµÈÖÊÁ¿µÄÇâÆø£¬ÐèÒªÏûºÄµÄ½ðÊôÖÊÁ¿ÓɶൽÉÙµÄ˳ÐòÊÇ______
£¨4£©½ðÊôµÄÐâÊ´
¢ÙÂÁµÄ»î¶¯ÐÔ±ÈÌúÇ¿£¬µ«ÂÁÔÚ¿ÕÆøÖÐÈ´±íÏÖ³öÁ¼ºÃµÄ¿¹¸¯Ê´ÐÔÄÜ£¬ÆäÔ­ÒòÊÇ______£®
¢ÚÌúÔÚ³±ÊªµÄ¿ÕÆøÖÐÈÝÒ×ÐâÊ´£¬ÎªÁË·ÀÖ¹ÌúÖÆÆ·ÐâÊ´£¬ÈËÃdz£²ÉÓÃ______µÄ·½·¨£¨ÈÎдһÖÖ£©À´´ïµ½Ä¿µÄ£®ÉúÐâµÄÌúÖÆÆ··ÅÈëÊ¢ÓйýÁ¿Ï¡ÑÎËáµÄÏ´²ÛÖУ¬¹Û²ìµ½ÈÜÒº±ä»Æ£¬Ò»¶Îʱ¼äºó£¬ÓÐÎÞÉ«ÆøÅÝÒݳö£®ÈÜÒº±ä»ÆµÄ»¯Ñ§·´Ó¦·½³ÌʽÊÇ£º______£®
¢ÛÍ­±íÃæÒ²ÈÝÒ×ÉúÐâ³ÉÍ­ÂÌ£¬ÆäÖ÷Òª³É·ÖÊǼîʽ̼ËáÍ­[Cu2£¨OH£©2CO3]£®Í­ÉúÐâ³ýÁËÓëÑõÆøºÍË®ÓйØÍ⣬»¹Óë¿ÕÆøÖеÄ______Óйأ®
£¨5£©½ðÊôµÄÒ±Á¶
¢ÙÎ÷ººÊ±ÆÚÎÒ¹úµÄÀͶ¯ÈËÃñÓÖ·¢Ã÷ÁË¡°Êª·¨Á¶Í­¡±£¬¼´¡°ÔøÇàµÃÌúÔò»¯ÎªÍ­¡±ÇëÓ÷´Ó¦·½³Ìʽ±íʾÆäÒ±Á¶Ô­Òò_______£®
¢ÚСÕÂͬѧ׼±¸ÔÚʵÑéÊÒÓÃͼ3ËùʾװÖÃÄ£Ä⹤ҵÁ¶Ìú£®ÇëÄã¾Ý´Ë»Ø´ð£º
ʵÑéÖв£Á§¹ÜÄÚµÄÏÖÏóΪ£º______£¬·´Ó¦µÄ»¯Ñ§·½³ÌʽÊÇ______£»
¢ÛijͬѧʵÑéÍê³Éºó£¬·¢ÏÖ¹ýÁ¿µÄ³ÎÇåʯ»ÒË®ÔöÖØ0.88g£¬Ôò¸ÃͬѧͨÈë×°ÖõÄCOÆøÌåÖÊÁ¿Ò»¶¨Òª´óÓÚ______g£¨±£ÁôСÊýµãºóÁ½Î»£©£®

²é¿´´ð°¸ºÍ½âÎö>>

ͬ²½Á·Ï°²á´ð°¸