精英家教网 > 初中化学 > 题目详情
刘彬同学父亲得知某地盛产石灰石,准备兴建一座碳酸钙精粉厂.为检测当地石灰石中碳酸钙的纯度,他在实验室用6g石灰石样品(杂质不参加反应)与19g稀盐酸恰好完全反应,测得残留物为22.8g.求:
(1)依椐质量守恒定律,生成二氧化碳______g.
(2)样品中碳酸钙的质量分数.
(3)所用稀盐酸溶液中溶质的质量分数.
【答案】分析:(1)依据质量守恒可知,之所以残留物的质量减轻,是由于产生了气体,因此减轻的质量就是CO2的质量;
(2)根据二氧化碳的质量,计算出碳酸钙的质量,再用碳酸钙的质量除以6g乘以百分之百算出;
(3)根据二氧化碳的质量,计算出氯化氢的质量,再用氯化氢的质量除以19g乘以百分之百算出.
解答:解:(1)依据质量守恒可知,之所以残留物的质量减轻,是由于产生了气体,因此减轻的质量就是CO2的质量:M(CO2)=(6+19-22.8)g=2.2g;
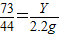
设要想生成2.2g二氧化碳,需要参加反应的碳酸钙质量为X,参加反应的氯化氢质量为Y
CaCO3+2HCl═CaCl2+H2O+CO2
100   73              44
X     Y              2.2g
列比例式:,解得X=5g;
,解得Y=3.65g.
(2)=83.3%.
(3)=19.2%.
故答案为:(1)2.2;(2)83.3%;(3)19.2%.
点评:解答本题的关键是根据质量守恒定律,推出质量的减少量就是二氧化碳的质量,再根据二氧化碳的质量算出,参加反应碳酸钙、和氯化氢的质量,用碳酸钙的质量除以石灰石样品的质量乘以百分之百,用氯化氢的质量除以稀盐酸的质量乘以百分之百
练习册系列答案
相关习题

科目:初中化学 来源: 题型:

刘彬同学父亲得知某地盛产石灰石,准备兴建一座碳酸钙精粉厂.为检测当地石灰石中碳酸钙的纯度,他在实验室用6g石灰石样品(杂质不参加反应)与19g稀盐酸恰好完全反应,测得残留物为22.8g.求:
(1)依椐质量守恒定律,生成二氧化碳
 
g.
(2)样品中碳酸钙的质量分数.
(3)所用稀盐酸溶液中溶质的质量分数.

查看答案和解析>>

科目:初中化学 来源:2012年四川省广元市剑阁县剑门中学中考化学模拟试卷(二)(解析版) 题型:解答题

刘彬同学父亲得知某地盛产石灰石,准备兴建一座碳酸钙精粉厂.为检测当地石灰石中碳酸钙的纯度,他在实验室用6g石灰石样品(杂质不参加反应)与19g稀盐酸恰好完全反应,测得残留物为22.8g.求:
(1)依椐质量守恒定律,生成二氧化碳______g.
(2)样品中碳酸钙的质量分数.
(3)所用稀盐酸溶液中溶质的质量分数.

查看答案和解析>>

科目:初中化学 来源:2013年四川省广元市剑阁县剑门中学中考化学模拟试卷(二)(解析版) 题型:解答题

刘彬同学父亲得知某地盛产石灰石,准备兴建一座碳酸钙精粉厂.为检测当地石灰石中碳酸钙的纯度,他在实验室用6g石灰石样品(杂质不参加反应)与19g稀盐酸恰好完全反应,测得残留物为22.8g.求:
(1)依椐质量守恒定律,生成二氧化碳______g.
(2)样品中碳酸钙的质量分数.
(3)所用稀盐酸溶液中溶质的质量分数.

查看答案和解析>>

科目:初中化学 来源:2012年江苏省淮安市涟水县中考化学模拟试卷(二)(解析版) 题型:解答题

刘彬同学父亲得知某地盛产石灰石,准备兴建一座碳酸钙精粉厂.为检测当地石灰石中碳酸钙的纯度,他在实验室用6g石灰石样品(杂质不参加反应)与19g稀盐酸恰好完全反应,测得残留物为22.8g.求:
(1)依椐质量守恒定律,生成二氧化碳______g.
(2)样品中碳酸钙的质量分数.
(3)所用稀盐酸溶液中溶质的质量分数.

查看答案和解析>>

科目:初中化学 来源:2006年湖北省宜昌市中考化学试卷(解析版) 题型:解答题

(2006?宜昌)刘彬同学父亲得知某地盛产石灰石,准备兴建一座碳酸钙精粉厂.为检测当地石灰石中碳酸钙的纯度,他在实验室用6g石灰石样品(杂质不参加反应)与19g稀盐酸恰好完全反应,测得残留物为22.8g.求:
(1)依椐质量守恒定律,生成二氧化碳______g.
(2)样品中碳酸钙的质量分数.
(3)所用稀盐酸溶液中溶质的质量分数.

查看答案和解析>>

同步练习册答案