精英家教网 > 初中化学 > 题目详情
科学家最近在-100℃的低温下合成一种化合物X,此分子的模型如下图,其中每个代表一个碳原子,每个○代表一个氢原子.下列说法中不正确的是( )

A.该分子的分子式为C5H4
B.该分子中碳元素的质量分数是93.75%
C.该分子中的氢原子与碳原子的个数比是4:5
D.等质量的该物质与甲烷相比,燃烧时消耗的氧气更多
【答案】分析:根据物质的分子模型图确定该物质的化学式并进而计算元素的质量分数及分子中原子个数比,要比较等质量的该物质与甲烷燃烧消耗的氧气,可根据化学方程式比较物质与氧气的质量比进行求解.
解答:解:A、由该物质的分子模型图可知该物质的分子由五个碳原子和四个氢原子所构成,因此该物质的化学式可写为C5H4;故A正确,不符合题意;
B、该分子中碳元素的质量分数=×100%=93.75%;故B正确,不符合题意;
C、由该物质的化学式C5H4可知该分子由5个C原子和4个H原子构成,因此该分子中的氢原子与碳原子的个数比是4:5;故C正确,不符合题意;
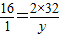
D、假设该物质与甲烷都为1克,则设燃烧时消耗的氧气分别为x、y
C5H4+6O2 5CO2+2H2O                    CH4+2O2CO2+2H2O  
64    6×32                                 16   2×32
 1      x                                    1     y
 =                              
解得x=3克                                  y=4克
故等质量的该物质与甲烷相比,燃烧时消耗的氧气更少,故D说法错误,符合题意.
故选D.
点评:本题的关键是要充分理解图中信息,根据物质的分子的模型图,可判断分子的构成,从而确定物质的化学式解答各方面的知识
练习册系列答案
相关习题

科目:初中化学 来源: 题型:

精英家教网科学家最近在-100℃的低温下合成一种化合物X,此分子模型如图,其中每个精英家教网代表一个碳原子,每个○代表一个氢原子.下列说法中不正确的是(  )
A、该分子的化学式为C4H5B、该分子的相对分子质量为64C、该分子中的碳原子与氢原子的个数比是5:4D、该分子中碳元素的质量分数是93.75%

查看答案和解析>>

科目:初中化学 来源: 题型:

根据下列每小题提出的问题填空.
(1)填写化学符号或化学符号的意义:
化学符号   2N
意义 n个水分子  
(2)请在下表中写出有关的化学方程式,并回答有关的问题.
用途 化学方程式 相关问题
生石灰常用作某些食品的干燥剂 ______________ 此反应_________(填“吸热”或“放热”)
小苏打可治疗胃酸过多 ______________ 基本反应类型
_______________
(3)科学家最近在-100℃的低温下合成一种化合物X,此分子的模型如下图,其中每个“●”代表一个碳精英家教网原子,每个“○”代表一个氢原子.下列说法中不正确的是
 

①该分子可用C5H4表示;
②该物质中碳元素的质量分数是93.75%;
③该分子中的氢原子与碳原子的质量比是4:5;
④等质量的该物质与甲烷相比,燃烧时消耗的氧气更多.

查看答案和解析>>

科目:初中化学 来源: 题型:

精英家教网科学家最近在-100℃的低温下合成了一种化合物X,如图为此分子的模型,其中每个精英家教网代表一个碳原子,每个精英家教网代表一个氢原子.下列说法中不正确的是(  )
A、该分子的分子式为C4H5B、该分子中碳元素的质量分数是93.75%C、该分子中的氢原子与碳原子的个数比是4:5D、等质量的该物质与甲烷相比,燃烧时消耗的氧气更多

查看答案和解析>>

科目:初中化学 来源: 题型:

根据下列每小题提出的问题填空.
(1)填写化学符号或化学符号的意义:
化学符号
 
 
2N
意义 n个水分子
 
(2)请在下表中写出有关的化学方程式,并回答有关的问题.
用途 化学方程式 相关问题
生石灰常用作某些食品的干燥剂
 
此反应

 
(填“吸热”或“放热”)
小苏打可治疗胃酸过多
 
 
基本反应类型
 
(3)科学家最近在-100℃的低温下合成一种化合物X,此分子的模型如图,其中每个“●”代表一个碳原子,每个“○”代表一个氢原子.下列说法中不正确的是
 

精英家教网
①该分子可用C5H4表示
②该物质中碳元素的质量分数是93.75%
③该分子中的氢原子与碳原子的质量比是4:5
④等质量的该物质与甲烷相比,燃烧时消耗的氧气更多.

查看答案和解析>>

科目:初中化学 来源: 题型:

(2008?西城区二模)科学家最近在-100℃的低温下合成了一种化合物X.此分子的模型如图所示,其中每个“●”代表一个碳原子,每个“○”代表一个氢原子.下列说法中正确的是(  )

查看答案和解析>>

同步练习册答案