精英家教网 > 初中化学 > 题目详情
由NaHS、MgSO4、NaHSO3组成的混合物中,已知S元素的质量分数w(S)=a%,则O元素的质量分数w(O)为( )
【答案】分析:NaHS、MgSO4、NaHSO3这几种物质仔细观察有一点规律:(NaH S)、(Mg SO4)、(NaH SO3),可以发现NaH相对原子质量和为24,可以看成与Mg是等同的;
也就是说可以把NaH它们看成一个整体,就可以通过硫的质量分数求出其含量,余下的就是O元素质量分数.
解答:解:因为NaHS、NaHSO3组成中钠和氢的比例是1:1,可以把钠元素和氢元素放在一起看做镁元素(23+1=24),这样三种物质相当于是MgS、MgSO4、MgSO3,所以这时三种物质镁和硫的比例相同都是1:1;因为S是a%,所以镁元素的质量分数可通过计算:
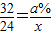
设镁元素的质量分数为x
S~Mg
32 24
a%  x
 
x=0.75a%;
这样硫和镁(即镁、氢、钠)元素的质量分数和=a%+0.75a%=1.75a%,用总量1减去硫和镁(即镁、氢、钠)元素所占的质量分数和即氧元素的质量分数,即1-1.75a%.

故选B.
点评:通过等量代换的技巧,把物质组成中不同的部分因相对原子质量和相等而进行代换,使物质间的组成更具有规律性,方便计算.
练习册系列答案
相关习题

科目:初中化学 来源: 题型:

由NaHS、MgSO4、NaHSO3组成的混合物中,已知S元素的质量分数w(S)=a%,则O元素的质量分数w(O)为(  )
A、1.75a%B、1-1.75a%C、1.25a%D、无法计算

查看答案和解析>>

科目:初中化学 来源: 题型:

计算由NaHS、MgSO4、NaHSO3三种物质组成的混合物中硫元素的质量分数的取值范围:
大于26.7%小于57.1%
大于26.7%小于57.1%
(计算结果保留一位小数)

查看答案和解析>>

科目:初中化学 来源: 题型:

已知由NaHS、MgSO4、NaHSO4组成的混合物中硫元素的质量分数为a%,则氧元素的质量分数为(  )
A、1.75 a%B、1.25 a%C、1-1.75 a%D、无法计算

查看答案和解析>>

科目:初中化学 来源:2013-2014学年湖北省潜江市九年级十一月月考化学试卷(解析版) 题型:选择题

已知由NaHS.MgSO4.NaHSO4组成的混合物中硫元素的质量分数为a%,则氧元素的质量分数为(     )

A.1.75 a%       B.1.25 a%      C.1-1.75 a%      D.无法计算

 

查看答案和解析>>

科目:初中化学 来源:2008年11月天津市宝坻二中化学竞赛选拔考试试卷(一)(解析版) 题型:选择题

由NaHS、MgSO4、NaHSO3组成的混合物中,已知S元素的质量分数w(S)=a%,则O元素的质量分数w(O)为( )
A.1.75a%
B.1-1.75a%
C.1.25a%
D.无法计算

查看答案和解析>>

同步练习册答案