相关习题
 0  60623  60631  60637  60641  60647  60649  60653  60659  60661  60667  60673  60677  60679  60683  60689  60691  60697  60701  60703  60707  60709  60713  60715  60717  60718  60719  60721  60722  60723  60725  60727  60731  60733  60737  60739  60743  60749  60751  60757  60761  60763  60767  60773  60779  60781  60787  60791  60793  60799  60803  60809  60817  211419 

科目: 来源:2012届山东省聊城地区九年级下学期模拟化学试卷(带解析) 题型:填空题

为了除去氯化钠样品中的碳酸钠杂质,兴趣小组最初设计了如下的方案并进行实验。
(l)写出沉淀A的化学           
(2)加入CaC12溶液后,分离除去沉淀A的实验操作方法是         
(3)同学继续探究后又提出新的方案:将混合物溶解,若滴加盐酸至不再产生气体为止。
则既能除去Na2CO3杂质,又能有效地防止新杂质的引人。写出有关反应的化学方程式:                                                        

查看答案和解析>>

科目: 来源:2012届山东省东营济军生产基地实验学校九年级上学期阶段检测化学试卷(带解析) 题型:填空题

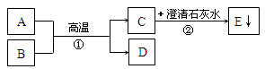
(6分)已知A、B为两种黑色粉末,D为红色单质。A、B、C、D、E五种物质之间的转化关系如下图所示。

请回答:
(1)C的化学式为           ;  
(2)反应①的化学方程式为                ;该反应的基本类型是           

查看答案和解析>>

科目: 来源:2012年初中毕业升学考试(云南昭通卷)化学(带解析) 题型:填空题

(6分)(2012?昭通)实验室有两瓶失去标签的无色溶液,分别是澄清石灰水和氢氧化钠溶液.请你用实验方法区别它们:
(1)取适量的两种溶液于两支试管中,分别加入适量碳酸钠溶液,观察到其中一种溶液中产生白色沉淀,则该反应的化学方程式为 _________ .
(2)另取适量的两种溶液于两支试管中,分别加入适量紫色石蕊溶液,结果发现无法区别出两种溶液,原因是 _________ .
(3)下列物质中,也可以区别这两种溶液的是 _________ (填序号).
①氯化钠溶液  ②二氧化碳  ③酚酞试液  ④碳酸钠溶液.

查看答案和解析>>

科目: 来源:2012届山东省潍坊市初中学业水平模拟考试化学试卷(带解析) 题型:填空题

以电解食盐水为基础制取氯气、氢氧化钠等产品的工业称为“氯碱工业”,它是目前化学工业的重要支柱之一。由于粗盐中含有少量MgCl2、CaCl2、Na2SO4等杂质,不符合电解要求,因此必须经过精制。以粗盐为原料的“氯碱工业”流程如下:

回答下列问题:
(1)氯气、氢氧化钠在工业上有广泛的用途。下列关于氢氧化钠的描述中,错误的是     

A.能去除油污,可做厨房清洁剂B.易溶于水,溶解时放出大量的热
C.水溶液能使石蕊试液变红D.可用作某些气体的干燥剂
(2)操作②的名称是           ,操作④的名称是             
(3)操作①②间除杂质时所加的三种试剂是①NaOH溶液、②Na2CO3溶液、③BaCl2溶液(均过量),加入顺序是(填序号):             。有同学提出用        溶液代替BaCl2溶液可达到同样的目的。
(4)电解饱和NaCl溶液的化学方程式是                                      
(5)该流程中可以循环利用的物质是                 

查看答案和解析>>

科目: 来源:2012届山东省临沐县青云镇中心中学九年级学业水平考试化学卷(一)(带解析) 题型:填空题

实验室有两瓶无色溶液,由于贮存过久二失去了标签,只知道一瓶为食醋,一瓶为生理盐水。请你区别它们(任意回答三种方法,不要求写具体操作和现象):
                                      
                                       
                                   

查看答案和解析>>

科目: 来源:2012届山东省临沐县青云镇中心中学九年级学业水平考试化学卷(二)(带解析) 题型:填空题

现有木炭、一氧化碳、氧化铜、氧化铁、稀硫酸五种物质,它们之间发生反应,可用“ A + B → C + D ” 表示。(以下填空都用化学式)
(1)若A为一种黑色固体单质,A与B在高温下反应,可观察到固体粉末由黑色逐渐变红,则A是           ,B是          
(2)若A为气体化合物,A与B在高温下反应,可观察到固体粉末由红色逐渐变黑生成固体C,则C是          
(3)若A溶液PH﹤7,A与B在常温下反应,可观察到溶液由无色变为黄色,则B是    

查看答案和解析>>

科目: 来源:2012届山东省临沐县青云镇中心中学九年级下学期一模考试化学试卷二(带解析) 题型:填空题

某研究性学习小组选择从空气中制取氮气作为研究课题,右图是他们设计的实验方案,请回答问题:

(1)除去二氧化碳和水蒸气:右图A装置发生反应的化学方程式是                  
B装置浓硫酸的作用是                       
(2)除去氧气:他们分别收集一瓶气体用右图装置C进行除去氧气的燃烧实验,其中甲同学选择用红磷,乙同学选择用木炭。你认为:选用           (填“红磷”或“木炭”)的方法不科学,原因是                               

查看答案和解析>>

科目: 来源:2012年广东省东莞市中考模拟试卷(带解析) 题型:填空题

工业上可以用食盐和石灰石为原料制取纯碱,其关键是在沉淀池中让NaCl、NH3、CO2和H2O尽可能多的转化成NaHCO3(固体沉淀物)和NH4Cl(溶液)。其主要生产流程如下:

已知:2NaHCO3Na2CO3+CO2↑+2H2O
请完成下列填空:
(1)写出沉淀池中发生反应的化学方程式:                                
(2)在化学实验室里要分离设备(Ⅰ)中混合物用到的操作名称是           
(3)在设备(Ⅱ)中加入固体A时所发生反应的化学方程式是:
                                ;                               

查看答案和解析>>

科目: 来源:2012届河北省承德市围场镇中学九年级上学期期中考试化学试卷(带解析) 题型:填空题

(2分)现有下列一组物质:自来水和蒸馏水。用两种方法来区别它们。
(1)方法一是 44。   (2)方法二是 45

查看答案和解析>>

科目: 来源:2012届江苏省镇江市丹徒区九年级中考适应性考试化学试卷(带解析) 题型:填空题

(3分)以二氧化硫尾气、石灰石、空气、碳酸氢铵、氨气和KCl等为原料可以合成有重要应用价值的硫酸钾等物质。合成流程如下图所示:

(1)上述流程中可循环使用的物质是         
(2)写出反应II的总反应的化学方程式:                

查看答案和解析>>

同步练习册答案