相关习题
 0  60631  60639  60645  60649  60655  60657  60661  60667  60669  60675  60681  60685  60687  60691  60697  60699  60705  60709  60711  60715  60717  60721  60723  60725  60726  60727  60729  60730  60731  60733  60735  60739  60741  60745  60747  60751  60757  60759  60765  60769  60771  60775  60781  60787  60789  60795  60799  60801  60807  60811  60817  60825  211419 

科目: 来源:2013年北京市海淀区中考二模化学试卷(带解析) 题型:填空题

某实验小组根据查阅的资料对100 g含有泥沙、MgCl2的粗盐进行提纯。

(1)操作①、③的名称分别是            
(2)溶液A中的溶质是      (写化学式)。
(3)溶液A与NaOH溶液反应生成Mg(OH)2固体的化学方程式为      
(4)最后得到的NaCl固体的质量为__________ g。

查看答案和解析>>

科目: 来源:2013届广西柳州市九年级第二次教学质量检测化学试卷(带解析) 题型:填空题

硫酸是柳州市的一种重要工业产品,下图是工业采用接触法生产硫酸的工艺流程图
(1)从硫酸厂的生产流程中不难发现,吸收塔中SO2不可能是100%吸收,所以尾气必须处理,否则含大量SO2的尾气会造成环境的污染,最大的危害是形成                  ;为了减少这种污染,对此生产流程可采取的措施是                    (选填下列做法的序号)。
①杜绝用煤做燃料;②把工厂的烟囱加高;③用烧碱溶液吸收后再排放;
④开发新能源; ⑤研究经济高效的回收SO 2的技术。
(2)沸腾炉中发生的主要反应是4FeS2+11O2高温2R +8SO2,推断炉渣的主要成分R的化学式是              
(3)为了提高硫铁矿(主要成份是FeS2)的利用率,在工业生产中,需要将硫铁矿粉碎后再进行生产的原因是什么?
(4)写出接触室发生的反应的化学方程式并指出其所属的基本反应类型(3分)
(5)为了提高硫酸的利用率,吸收塔选用93%的浓硫酸来吸收,写出吸收塔内发生的反应的化学方程式
(6)若将100g质量分数为98%的浓硫酸稀释为10%的稀硫酸需加水         g。
(7)浓硫酸具有强烈腐蚀性,生产时每个工人必须严格按照规程进行操作,如果不慎将少量的浓硫酸沾到皮肤或衣服上,你的处理方法是什么?

查看答案和解析>>

科目: 来源:2013届江苏省无锡市北塘区九年级中考模拟考试(二)化学试卷(带解析) 题型:填空题

以食盐为原料进行生产并综合利用的某些过程如下图所示:

⑴为除去粗盐中的CaCl2、MgCl2和Na2SO4杂质,加入下列3种过量试剂的顺序依次是(填序号)        ;   
A.Na2CO3            B.NaOH         C.BaCl2
⑵将滤液的pH调至中性应加入的试剂是       ;操作a的名称是     
⑶流程中所得饱和食盐水可用于制取纯碱等产品,其主要反应原理:
NaCl+H2O+NH3+CO2=NaHCO3↓+NH4Cl ,2NaHCO3Na2CO3 + H2O + CO2↑,若向分离出NaHCO3晶体后的母液中加入过量生石灰,则可获得一种可以循环使用的物质,其化学式是           
⑷该流程的主要产品纯碱在生产生活中有广泛的应用,试举一例:              

查看答案和解析>>

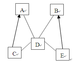
科目: 来源:2013届广西桂平市九年级中考二模化学试卷(带解析) 题型:填空题

A、B、C、D、E是初中化学常见的不同类别的物质(物质按单质、氧化物、酸、碱、盐分类), 已知A是单质,C是红棕色固体。它们之间的转化关系如下(“—”表示相连的两种物质能发生反应,“→”表示前面的物质可转化为后面的物质;部分反应的反应物、生成物和反应条件未标出)。请根据图中转化关系回答下列问题:

(1)写出下列物质的化学式A:           ,C:         
(2)写出A与D反应的现象:                           
(3)写出由E转化为B的化学方程式                       

查看答案和解析>>

科目: 来源:2013届江苏省高邮市九年级下学期适应训练(二模)化学试卷(带解析) 题型:填空题

实验小组的同学研讨初中常见酸、碱、盐之间的反应关系时,做了如下实验,实验中的所用物质均是初中化学常见的,且每一步均有明显现象,实验操作及部分现象如下图所示。

回答下列问题:
(1)A溶液一定呈   性(填“酸”或“中”或“碱”)。
(2)气体D的化学式为       
(3)步骤②的实验现象为       
(4)E溶液中的溶质可能是       
(5)B溶液的溶质由两种元素组成,④中产生气体的反应的化学方程式为      
(6)实验后将盛有C固体烧杯中的上清液取出少量,继续加入E溶液,仍有C固体析出,已知A与E中的阳离子相同,则实验后所得溶液含有的溶质为酚酞和         

查看答案和解析>>

科目: 来源:2013届江苏省高邮市九年级下学期适应训练(二模)化学试卷(带解析) 题型:填空题

下列7种物质由H、C、O、S、Ca、Fe中的一种或几种元素组成。
(1)甲在乙中燃烧,火星四射,生成黑色固体。该黑色固体的化学式是    
(2)甲与丙的溶液反应,可生成一种在标准状况下密度最小的气体。该反应的化学方程式是       
(3)丁可中和某些工厂污水中含有的丙,反应的化学方程式       
丁的溶液可用于检验无色无味的气体X,反应的化学方程式       
(4)戊由3种元素组成,其相对分子质量为100,在空气中高温煅烧戊,只生成气体X和Y两种物质,其中戊、Y、X的质量比为25:14:11,该反应的化学方程式是      

查看答案和解析>>

科目: 来源:2013届江苏省无锡市前洲中学九年级二模化学试卷(带解析) 题型:填空题

(1)右图是某同学对二氧化碳部分知识构建的网络图(部分反应条件和部分生成物已经省略了)。请按下列要求填空:

①写出生成d物质的化学式          ;
②物质b主要成分中阴离子是       
③图中含有有机物的是(写字母)        
④标出物质e化学式中带点元素的化合价    
(2) 现有H、O、C、C1、Na五种元素,请选用其中的一种或几种元素填写符合下列要求的化学式(各写一个):
①人体胃液中含有的酸          ;②炒菜用的盐          
③食醋的主要成分     ;④可用于干电池电极的物质是         

查看答案和解析>>

科目: 来源:2013届湖北省宜城市九年级中考适应性考试化学试卷(带解析) 题型:填空题

小红在实验室欲配制一定质量分数的食盐溶液。

(1)上面的仪器中除B、E外,她必须选用的仪器还有(填字母编号)           
(2)E的作用是         

查看答案和解析>>

科目: 来源:2013届湖北省宜城市九年级中考适应性考试化学试卷(带解析) 题型:填空题

“碳捕捉技术”是指通过一定的方法,将工业生产中产生的CO2分离出来进行储存和利用的工艺和技术。最近有科学家提出“绿色自由”构想:把CO2含量高的气体吹入饱和K2CO3溶液中,生成KHCO3,然后利用KHCO3受热易分解的性质,再把CO2提取出来,经化学反应使之变为甲醇(CH3OH)和水。“绿色自由”构想的技术流程如右图:(注:分解池内的反应条件是加热;合成塔内的反应条件为300℃、200kPa和催化剂)

(1)合成塔内反应的化学方程式为_____________________________;
(2)X溶液可循环利用,溶质是___________(填写化学式)。

查看答案和解析>>

科目: 来源:2013届湖北省襄阳市襄州区中考适应性考试化学试卷(带解析) 题型:填空题

要除去CO中混有少量的,应将混合气体通过___________;向紫色石蕊溶液中通入二氧化碳,溶液变为___________色

查看答案和解析>>

同步练习册答案