相关习题
 0  60643  60651  60657  60661  60667  60669  60673  60679  60681  60687  60693  60697  60699  60703  60709  60711  60717  60721  60723  60727  60729  60733  60735  60737  60738  60739  60741  60742  60743  60745  60747  60751  60753  60757  60759  60763  60769  60771  60777  60781  60783  60787  60793  60799  60801  60807  60811  60813  60819  60823  60829  60837  211419 

科目: 来源:人教版初三年级上册原子的构成专项训练 题型:推断题

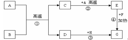
A~H是初中化学常见的物质。已知A为黑色固体单质,G为紫红色固体单质,B为红棕色粉末,F为黑色粉末,它们的转化关系如下图所示。请回答:

(1)B的化学式为________,F的化学式为________。
(2)A、C、E三种物质中,具有还原性的是________、________(填化学式)。
(3)反应①的化学方程式为________________________;写一个能实现反应③的化学方程式________________________。
(4)反应①~④中涉及的化学反应基本类型有________、________。

查看答案和解析>>

科目: 来源:人教版初三年级上册原子的构成专项训练 题型:推断题

某实验小组对实验室中A、B、C、D四瓶无色溶液进行鉴别,它们分别是硫酸钠、稀硫酸、澄清石灰水、四种物质的一种。可供使用的实验用品有:稀盐酸、稀硫酸、碳酸钠、紫色石蕊溶液、硝酸钡溶液、硝酸银溶液、稀硝酸溶液、玻璃棒、试管、胶头滴管。请利用提供的实验用品,鉴别出四种物质,并完成实验报告:

实验
实验操作
实验现象
实验结论

取四支试管,各取少量的A、B、C、D溶液,分别先滴加紫色石蕊试液
B溶液变红色,D溶液变成蓝色。A、C溶液都呈____色。
B是________
D是________

另取二支试管,各取少量的A、C溶液,分别先滴入硝酸钡溶液后再滴入稀硝酸溶液。
____________________
____________________
_____________________
A是硫酸钠溶液     
C是________
【发现问题】做完实验②后,该小组在网上查阅资料的时候发现,用稀硝酸酸化的硝酸钡溶液进行检验SO42-时,亚硫酸根离子(SO32-)的存在干扰了SO42-的检验。如往亚硫酸钠(Na2SO3 )溶液滴加硝酸钡溶液后有沉淀生成,再加足量的稀硝酸酸依然有白色沉淀。
【提出问题】若某无色溶液中可能含有硫酸根离子(SO42-)与亚硫酸根离子(SO32-)中的一种或两种,该如何检验?
【查阅资料】亚硫酸钡(Ba2SO3)是无色晶体或白色粉末,微溶于水,在水中是白色沉淀。中性或碱性条件下NO3-不能和SO32-反应,但在酸性条件下,NO3-能和H+反应相遇时(HNO3)具有强氧化性,易把SO32-氧化生成SO42-。往亚硫酸钡中加入盐酸能发生类似于碳酸钡与盐酸的反应,生成有刺激性的气体。
【猜想】该无色溶液中含有(1)SO42-  (2)SO32-  (3)________。
【实验探究】请你将下列实验填写完整。
实验
实验操作
实验现象
实验结论

取该溶液少量试管E中,加入硝酸钡溶液后再加入稀硝酸酸
有白色沉淀生成
不能确定猜想______ 一定成立

取该溶液少量试管F中,加入加入稀盐酸,加热
有刺激性气味的气体生成
猜想____可能成立

在④所得的溶液中加入足量的________
______________________
猜想(3)成立
写出亚硫酸钠溶液与硝酸钡溶液发生复分解反应的化学方程式:________________。
【得出结论】要鉴别一种离子的存在,必须排除其它离子的干扰,不然会得出错误的结论。

查看答案和解析>>

科目: 来源:人教新课标初三下册第十章酸和碱专项训练2 题型:推断题

某校科技节有如下挑战项目:通过实验鉴别两种无色溶液和两种黑色粉末,已知它们分别是稀硫酸、硫酸钠溶液、CuO和Fe中的一种。现场仅提供了紫色石蕊溶液、Na2CO3溶液、NaOH溶液以及常用的实验仪器。
请设计一个完成该挑战项目的实验方案,写出实验步骤、预期现象与结论。

实验步骤
预期现象与结论
 
 
 
 

查看答案和解析>>

科目: 来源:人教新课标初三下册第十章酸和碱专项训练2 题型:推断题

A-G是初中常见的物质。其中E为黑色固体。下图为这些物质的转化关系图,其中部分生成物和反应条件已省略。

(1)写出下列物质的化学式:E__________,G__________。
(2)化学反应常伴有能量变化。B与水反应时会__________(“吸收”或“放出”)热量。
(3)实验室不用A与稀硫酸反应来制取C,原因是__________。
(4)写出D→F的化学方程式____________________。
(5)可用Cu、O2和H2SO4作原料制得CuSO4,反应的过程是:________________(用文字表述)。

查看答案和解析>>

科目: 来源:人教新课标初三下册第十章酸和碱专项训练2 题型:推断题

A、B、C、D、E、F、G、H、I都是初中化学中常见的物质。其中E、F、H均为黑色固体,B是紫红色固体,D是混合物。它们之间有如下的转化关系(部分生成物已略去,已知氢气在一定条件下能还原氧化铜): 

(1) 写出D物质的组成:___________、________________。
(2) 写出A、H物质的化学式:A________________,H ________________。
(3)G—→I 的化学方程式是________________________________________。
(4)F—→E 的化学方程式是________________________________________。
(5)说出B物质的一种用途:________________________。

查看答案和解析>>

科目: 来源:人教新课标初三下册第十章酸和碱专项训练2 题型:推断题

实验盒中有5种没有标签的溶液,老师让实验小组同学鉴别这些溶液。
【调查研究】
①实验盒中记录单上登记的5种溶液是:Na2CO3、CuSO4、Ca(OH)2、NaOH和稀盐酸,其中有颜色的是                  溶液;
②查阅资料:无色有刺激性气味的氯化氢气体溶于水得到盐酸;
③研究方式:从4种无色溶液中任意取出3种为一组进行鉴别。
【提出假设】同学们从4种无色溶液中取出3种,贴上A、B、C标签,并且假设这一组溶液可能是Na2CO3、Ca(OH)2和NaOH。
【实验探究】同学们按以下步骤进行鉴别:
第一步 取3支试管,分别加入少量的A、B、C溶液,然后依次加入少量盐酸,实验现象记录如下:

溶液



加入盐酸后的现象
无明显变化
无明显变化
有气泡产生
实验结论:C是                   溶液。
第二步 依据如图装置进行实验,其中夹持固定装置已略去。从长颈漏斗加入盐酸,可以观察到C溶液中气泡产生,A溶液中有白色沉淀生成,B溶液无明显变化。

实验解释:
①A溶液中产生的白色沉淀是         (写出化学式),则A是         溶液。
②写出C溶液中发生反应的化学方程式                   
第三步 取少量B溶液倒入蒸发皿,加热,闻到有刺激性气味,停止加热。
实验结论:B是              溶液。
经过上述三步实验,同学们认为最后一种溶液是            溶液。
【实验反思】老师提出:鉴别出C溶液后,不需外加试剂,就可以简便地鉴别出A、B溶液。请完成下列实验报告
实验步骤
实验现象
结论
取A、B两溶液分别于两支试管中,各滴加C溶液
_____________________ 
该溶液是A 溶液
_____________________
该溶液是B溶液
 
 
 

查看答案和解析>>

科目: 来源:人教新课标初三下册第十章酸和碱专项训练2 题型:推断题

下图是氧化沉淀法生产复印用高档Fe3O4粉的部分工艺流程简图。

(1)试剂I和操作Y的名称分别为________________、___________________。
(2)硫酸与氧化铁的反应为__________________________________。
(3)往铁粉(含少量氧化铁)中加入硫酸,除铁、氧化铁与硫酸发生反应外,一定还发生其它反应。作出这种判断的依据是_______________________________。
(4)某铁矿主要成分为Fe3O4,利用CO将该物质中铁还原出来的方程式为___________。

查看答案和解析>>

科目: 来源:2010年宁夏银川市九年级上学期期末检测化学卷 题型:推断题

(8分)A—F和X都是初中化学中的常见物质,其中A、C是无色气体,B为红色粉末,它们的转化关系如下图所示(部分生成物已略去):

请回答下列问题:
(1)写出反应①的化学方程式                                         。
(2)含D的生产、生活用品腐蚀的过程,实际上是D与空气中的            
发生化学反应的过程。
(3)写出C与氢氧化钠溶液反应的化学方程式

(4)若F为气体单质,请写出反应②的化学方程式
该反应属于          (填写基本反应类型)反应

查看答案和解析>>

科目: 来源:2010年黑龙江省虎林市八五零农场学校初二下学期期末化学卷doc 题型:推断题

同学们从山上采集到一种石灰石,他们取80克该样品进行煅烧实验(所含杂质在煅烧过程中不发生变化),测得反应后固体的质量(m)与反应时间(t)的关系如下表:

反应时间t∕s
t0
t1
t2
t3
t4
t5
t6
反应后固体的质量m∕g
80
75
70
66
62
58
58
请回答下列问题:
(1)当石灰石完全反应后,生成CO2的质量为             g。
(2)求该石灰石中CaCO3的质量分数,写出计算过程

查看答案和解析>>

科目: 来源:2011届江西省临川一中初三上学期第三次月考化学卷doc 题型:推断题

(6分)研究人员提出使用含汽油的混合燃料的方案,以解决汽车尾气的问题。该方案的一种模拟过程如右图所示,常温下,C、D均为气体。

(1)写出C的化学式:   ▲     
(2)写出下列反应的化学方程式:反应①:   ▲     ;反应②:   ▲     
(3)在模拟转化关系图中,你认为可以循环重复使用   的物质是   ▲     。(填字母)

查看答案和解析>>

同步练习册答案