相关习题
 0  60673  60681  60687  60691  60697  60699  60703  60709  60711  60717  60723  60727  60729  60733  60739  60741  60747  60751  60753  60757  60759  60763  60765  60767  60768  60769  60771  60772  60773  60775  60777  60781  60783  60787  60789  60793  60799  60801  60807  60811  60813  60817  60823  60829  60831  60837  60841  60843  60849  60853  60859  60867  211419 

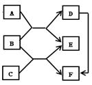
科目: 来源:2011届江苏省无锡市滨湖区九年级4月调研测试化学试卷(带解析) 题型:推断题

A、B、C、D、E、F是初中化学常见的六种物质,其中A和B、C和D组成的元素种类相同,其中A物质能用于实验室制取氧气,E是重要的建筑材料,F可用于清除铁锈。它们之间的转化关系如图所示(图中“—”表示两端的物质能发生化学反应;“→”表示物质间存在转化关系,图中已略去部分反应物和生成物)。

回答下列问题:
(1)A的化学式为          ,C的用途             ;(答一点)
(2)写出E→B+C化反应的化学方程式                  ;该反应属于        反应。

查看答案和解析>>

科目: 来源:2012届福建省宁德市九年级毕业班质量检查考试化学试卷(带解析) 题型:推断题

A、B、C是三种不同类别的物质,都含有一种相同的元素,这三种物质和CaCl2的转化关系如图所示(“→”表示在一定条件下能发生转化)。

(1)C是一种难溶于水的碳酸盐,它的一种用途        
(2)物质A溶于水,其溶液能使无色酚酞变红,则物质A的化学式          , 写出由物质B转化为CaCl2的化学方程式                                         

查看答案和解析>>

科目: 来源:2011-2012学年江苏省兴化市初三第二学期第一次模拟考试化学试卷(带解析) 题型:推断题

.小丽同学按以下步骤对她所用的牙膏进行探究:

[资料]牙膏中常用氢氧化铝、碳酸钙等物质作摩擦剂。
请回答:                  
(1)你认为用作牙膏摩擦剂的物质应具备什么特点呢?(回答一条即可)
                                                             
(2)小丽选择的试剂X是(     )
A.紫色石蕊试液          B.pH试纸          C.酚酞试液
(3)从探究过程来看,小丽可检验出摩擦剂中一定存在的物质是               。从该牙膏的成分考虑,请你说明该牙膏不使用酸性物质的原因是:
                                                                    

查看答案和解析>>

科目: 来源:2011-2012学年江苏省兴化市初三第二学期第一次模拟考试化学试卷(带解析) 题型:推断题

A、B、C、D、E为初中化学常见的物质,其中A、C为金属单质,E为非金属单质,下图是它们之间的相互转化关系。请回答:

(1)反应①的基本反应类型是       
(2)C的化学式为            
(3)写出物质E和B在加热条件下反应的化学方程式                               
(4)右图转化中产生无色气体E的原因是                         
(5)写出反应③中发生反应的化学方程式:                                    
                                     

查看答案和解析>>

科目: 来源:2012届江苏省南京市白下区中考一模化学试题(带解析) 题型:推断题

A—I为初中化学中常见的物质。已知A为金属氧化物,C为大理石的主要成分,D为蓝色沉淀,G、I均为只含有一种溶质的溶液。“→”表示物质间存在着相互转化的关系(部分生成物未标出),如下图所示。请回答下列问题:

(1)写出化学式:A       ,D       
(2)写出B与I反应的化学方程式:                                      
(3)已知H为一定量锌粉和铁粉的混合物,与溶液G充分反应后过滤。向滤渣E中加入稀盐酸,有无色气体放出,则滤渣E中一定含有               ,滤液F中一定含有的金属阳离子是               

查看答案和解析>>

科目: 来源:2012届辽宁省丹东七中九年级下学期第二次模拟考试化学试卷(带解析) 题型:推断题

某化工厂的废液中,可能含有H2SO4K2CO3Na2SO4KCl、FeCl3HNO3六种物质中的两种。进行有关试验,所观察到的现象记录如下表。试根据各步实验及其现象进行分步推断,再推断所取的废液的可能组合。

步骤
实验操作
实验现象
推断(或结论)
(1)
取废液放入试管观察
废液无色,澄清
废液中肯定不含FeCl3
(2)
用广泛pH试纸测定废液的pH
测定结果:pH=3
 
(3)
向废液中滴入足量Ba(NO3)2溶液
有白色沉淀出现
 
(4)
向上述过滤所得的滤液中滴加AgNO3溶液
无明显反应现象
 
废液成分的可能组合(写出溶质的化学式)
①_____________________
②_____________________
③_____________________

查看答案和解析>>

科目: 来源:2012届辽宁省丹东七中九年级下学期第二次模拟考试化学试卷(带解析) 题型:推断题

根据下列化合物与单质的相互转化关系(如下图)。请回答:

(1)若乙的溶液为浅绿色,Y是红色固体,则X是_______。
(2)在常温下若乙是气体,则X是______。

查看答案和解析>>

科目: 来源:2012届江苏省泰州市靖江外国语学校中考二模化学试卷(带解析) 题型:推断题

如图已知A、B、C、D、E、F为初中化学常见的物质,六种物质相互反应及转化关系如图:

⑴若E为浅绿色溶液,D为无色气体,F为红色金属,则A的化学
式可能是      ,D可以与      反应生成F.
B、C反应方程式为 _______________________________.    
⑵若B为能使澄清石灰水浑浊的无色气体, E通常为无色液体,则
F的化学式为      ,C能与     反应生成A.
A、B反应方程式为___________________________________

查看答案和解析>>

科目: 来源:2012届江苏省南京市建邺区中考一模化学试卷(带解析) 题型:推断题

下图中的物质为初中化学所学的物质,

其中甲、乙属于常见单质,其余均为化合物。且B为黑色固体,E为难溶性固体,A、C、D、E为不同类别的物质。
请回答:
(1)写出E的化学式                    
(2)G和H在组成上有何特点            
(3)写出下列反应的化学方程式
A→B                                    
F→E                                    

查看答案和解析>>

科目: 来源:2012年江苏省南京市高淳县中考一模化学试卷 (带解析) 题型:推断题

A~I都是初中化学中的常见物质,且有如图所示转化关系(部分反应物、生成物及反应条件均已略去)。已知A为金属单质,其它均为化合物。F为大理石的主要成分,E为一种常见的不挥发性酸。

回答下列问题:
(1)写出下列物质的化学式:A     Cu
、G   。CaO
(2)写出反应的化学方程式:
①D溶液+H溶液:         ;②I+E溶液:          

查看答案和解析>>

同步练习册答案