相关习题
0 63557 63565 63571 63575 63581 63583 63587 63593 63595 63601 63607 63611 63613 63617 63623 63625 63631 63635 63637 63641 63643 63647 63649 63651 63652 63653 63655 63656 63657 63659 63661 63665 63667 63671 63673 63677 63683 63685 63691 63695 63697 63701 63707 63713 63715 63721 63725 63727 63733 63737 63743 63751 211419
科目:
来源:2005-2006学年安徽省宣城六中九年级(下)月考化学试卷2(4月份)(解析版)
题型:选择题
纽约大学的科学家最近研制出有“双腿”、能在盘子里“散步”的分子机器人.它是由26个氨基酸(化合物)分子经化学反应结合而成的多肽(一种蛋白质)分子.下列说法正确的是( )
A.这种分子机器人是一种新型分子
B.我们已可以用肉眼直接看到这种分子“散步”
C.分子本身是不会运动的,其“散步”一定是在人的推动下进行的
D.这种分子组成的物质是一种单质
查看答案和解析>>
科目:
来源:2005-2006学年安徽省宣城六中九年级(下)月考化学试卷2(4月份)(解析版)
题型:选择题
氢燃料电池大巴日前由清华大学研制成功,现正在北京384路试运行.和普通大巴最大的不同是,氢燃料电池大巴运行过程中不排放任何有害气体,称为“零排放”汽车.其原因是( )
A.氢气有广泛的来源
B.氢燃烧时放热多
C.氢气比空气轻
D.氢燃烧后生成的水不污染空气
查看答案和解析>>
科目:
来源:2005-2006学年安徽省宣城六中九年级(下)月考化学试卷2(4月份)(解析版)
题型:选择题
某粒子的结构示意图为

,当x-y<10时,该粒子是( )
A.原子
B.阴离子
C.阳离子
D.原子团
查看答案和解析>>
科目:
来源:2005-2006学年安徽省宣城六中九年级(下)月考化学试卷2(4月份)(解析版)
题型:选择题
类推是化学学习中常用的思维方法.现有以下类推结果:①氧化物都含有氧元素,所以含有氧元素的化合物一定是氧化物;②燃烧一般都伴随发光、放热现象,所以有发光、放热的现象就是燃烧;③酸与碱反应生成盐和水,所以生成盐和水的反应一定是酸碱中和反应.其中错误的是( )
A.①
B.②③
C.①②
D.①②③
查看答案和解析>>
科目:
来源:2005-2006学年安徽省宣城六中九年级(下)月考化学试卷2(4月份)(解析版)
题型:选择题
下列装置不作改变就无法检查气密性的是( )
A.

B.

C.

D.

查看答案和解析>>
科目:
来源:2005-2006学年安徽省宣城六中九年级(下)月考化学试卷2(4月份)(解析版)
题型:解答题
为了测定铁和铜两种金属的活动性顺序,请用提供的下列药品设计实验方案.
铁片 铜片 稀硫酸 FeSO4溶液 CuSO4溶液
(1)利用上述药品,你最多可以设计______种实验方案.
(2)请选择一种实验方案叙述如下:______.
[实验现象]______.
[化学方程式]______.
[实验结论]______.
查看答案和解析>>
科目:
来源:2005-2006学年安徽省宣城六中九年级(下)月考化学试卷2(4月份)(解析版)
题型:解答题
元旦晚会上,小东在表演节目:在一张白纸上喷上碘酒,“空白”的纸出现了“新年快乐”四个蓝色大字.原来小东是根据淀粉溶液遇到碘会变色的原理,表演前先用无色的米汤(含有淀粉)在白纸上写上“无色”的字,喷上碘酒后,字上的淀粉遇到碘变蓝色,字便可见了.同学们,请你不用小东的方法,也表演一个这样“白纸显字”节目:你用______写字,用______显字,字的颜色为______.
查看答案和解析>>
科目:
来源:2005-2006学年安徽省宣城六中九年级(下)月考化学试卷2(4月份)(解析版)
题型:解答题
中考结束,你就初中毕业了.离开母校之际,你要留下最后一个好印象,做到爱护学校的一草一木,不乱扔东西…假设你在整理自己的东西时,清理出如下物品:
A.废作业本,B.烂苹果,C.易拉罐瓶,D.霉变了的饼干,E.生锈的铁钉.
(1)你应放入“可回收垃圾箱”的是______ (填序号);
(2)你用盐酸除去铁钉上的铁锈(主要成分是Fe2O3),以重新使用,请写出除锈的化学方程式______.
(3)请你写一句劝告其他年级同学爱护学校环境的话语______.
查看答案和解析>>
科目:
来源:2005-2006学年安徽省宣城六中九年级(下)月考化学试卷2(4月份)(解析版)
题型:解答题
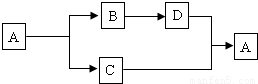
A~D都是初中化学中的常见物质,且有如图所示转化关系(反应条件、其他反应物及其他生成物均已略去).
请写出符合图中转化关系的物质的化学式:
A______;B______;C______;D______.

查看答案和解析>>
科目:
来源:2005-2006学年安徽省宣城六中九年级(下)月考化学试卷2(4月份)(解析版)
题型:填空题
碳酸饮料是常用饮品.一省技术监督局于1999年秋对市场上的碳酸饮料随机抽取部分品种检测,其结果如下表所列.试回答:
| 产地 | 商标 | 检测项目及标准(mg/kg) | 综合判定 |
| | | 砷≤0.2 | 铅≤0.3 | 铜≤0.5 | |
| 甲 | 健力宝 | 0.2 | 未检出 | 未检出 | 合格 |
| 乙 | 维达 | <0.2 | 1.1 | 未检出 | 不合格 |
| 丙 | 雪碧 | <0.2 | 未检出 | 未检出 | 合格 |
| 丁 | 5字 | <0.2 | 1.8 | 0.5 | 不合格 |
| 戊 | 冰宁 | <0.2 | 0.4 | 未检出 | 不合格 |
(1)拧开瓶盖或启开拉环后为什么从饮料中有气泡逸出?
(2)上述三个品种为何判定为不合格?
.
查看答案和解析>>