相关习题
 0  63692  63700  63706  63710  63716  63718  63722  63728  63730  63736  63742  63746  63748  63752  63758  63760  63766  63770  63772  63776  63778  63782  63784  63786  63787  63788  63790  63791  63792  63794  63796  63800  63802  63806  63808  63812  63818  63820  63826  63830  63832  63836  63842  63848  63850  63856  63860  63862  63868  63872  63878  63886  211419 

科目: 来源:2012-2013学年四川省遂宁四中九年级(下)第二次月考化学试卷(解析版) 题型:填空题

如图是A、B、C三种物质的溶解度曲线,请你根据此图完成下列问题:
(1)30℃时,向100g水中加入40gA物质,充分溶解后所得溶液是    (填“饱和”或“不饱和”)溶液;
(2)把等质量的A、B、C三种物质的饱和溶液同时从30℃降温到20℃,其中溶质质量分数没有发生改变的是    物质的溶液.

查看答案和解析>>

科目: 来源:2012-2013学年四川省遂宁四中九年级(下)第二次月考化学试卷(解析版) 题型:填空题

下图中A、B、C、D是四种粒子的结构示意图,E是钾元素在元素周期表中的信息图.

(1)A、B、C、D四种粒子的结构示意图中,属于同种元素的粒子是    (填序号);
(2)D图中X=   
(3)从E图中你可以获得的信息有    (写一条).

查看答案和解析>>

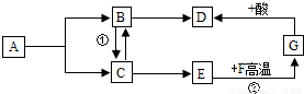
科目: 来源:2012-2013学年四川省遂宁四中九年级(下)第二次月考化学试卷(解析版) 题型:填空题

A、B、C、D、E、F、G都是初中化学常见的物质,其中C、D、E都是无色气体,C能供给动植物的呼吸,F是一种红色粉末.图中→表示物质间存在转化关系(部分生成物和部分反应条件已略去),它们之间的关系如图所示:

(1)写出A的化学式:   
(2)写出反应①的化学方程式   
(3)写出反应②的化学方程式   

查看答案和解析>>

科目: 来源:2012-2013学年四川省遂宁四中九年级(下)第二次月考化学试卷(解析版) 题型:填空题

化学兴趣小组的同学们走进实验室,做制取二氧化碳气体的实验,请你参与他们的活动.
(1)根据下列装置图,请按要求回答问题:

①写出图中带有标号仪器的名称:a   
②实验室制取二氧化碳气体时应选用的发生装置为    (填装置的序号),不能用C装置来收集二氧化碳气体的原因是   
(2)实验室的废液缸内收集了同学们制取二氧化碳气体后的废液,李凡同学想探究废液中溶质的成分,请你参与下列探究活动.【提出问题】废液中的溶质是什么?
【做出假设】李凡认为废液中溶质只有CaCl2.你认为还可能含有的溶质是    (填化学式);
【查阅资料】CaCl2溶液呈中性.
【实验与结论】
①李凡取少量该废液放入一支试管中,再取少量CaCl2溶液加入到另一支试管中,并向两支试管中滴入无色酚酞试液做对比实验,结果溶液均为无色,于是李凡认为自己的猜想是正确的.你认为李凡的实验    (填“能”或“不能”)证明他的猜想.
②如果要证明你的猜想是正确的,取少量该废液加入到一支试管中,你滴入的试剂是    ,看到的现象将是试管中液体变为红色.
【拓展与应用】如果已证明你的猜想是正确的,要想使处理后的废液中溶质只有CaCl2,可向废液中加入过量的    (填字母序号),充分反应后过滤即可.
A、石灰石   B、生石灰    C、石灰石粉末     D、硝酸银溶液.

查看答案和解析>>

科目: 来源:2012-2013学年四川省遂宁四中九年级(下)第二次月考化学试卷(解析版) 题型:解答题

将6.5g石灰石样品投入到36.5g稀盐酸溶液中制取二氧化碳气体,恰好完全反应.反应后将溶液过滤、干燥,称量剩余固体残渣的质量为1.5g(提示:①石灰石样品中的杂质不溶于水,也不发生反应;②反应后生成的氯化钙完全溶解).
计算:(1)该石灰石样品中碳酸钙的质量是多少?
(2)反应后所得溶液的溶质质量分数为多少?(计算结果保留一位小数)

查看答案和解析>>

科目: 来源:2012-2013学年重庆市奉节县青莲中学九年级(下)第一次月考化学试卷(解析版) 题型:选择题

下列物质属于碱的是( )
A.Na2CO3
B.Ca(OH)2
C.CaO
D.HCl

查看答案和解析>>

科目: 来源:2012-2013学年重庆市奉节县青莲中学九年级(下)第一次月考化学试卷(解析版) 题型:选择题

将紫色石蕊试液滴入下列溶液中,能使试液变红的是( )
A.氢氧化钾
B.石灰水
C.食盐水
D.溶有CO2的水

查看答案和解析>>

科目: 来源:2012-2013学年重庆市奉节县青莲中学九年级(下)第一次月考化学试卷(解析版) 题型:选择题

下表是几种农作物生长时对土壤PH要求的最佳范围,某块农田的土壤显弱碱性,最适宜种植的农作物是
( )
农作物茶树柑橘西瓜甘草
土壤的pH值范围5.0~5.55.0~7.06.0~7.07.2~8.5

A.甘草
B.柑橘
C.西瓜
D.茶树

查看答案和解析>>

科目: 来源:2012-2013学年重庆市奉节县青莲中学九年级(下)第一次月考化学试卷(解析版) 题型:选择题

盛放下列物质的试剂瓶敞口放置,质量增加但没有变质的是( )
A.浓盐酸
B.食盐水
C.浓硫酸
D.烧碱溶液

查看答案和解析>>

科目: 来源:2012-2013学年重庆市奉节县青莲中学九年级(下)第一次月考化学试卷(解析版) 题型:选择题

山西云岗石窟有很多佛像雕刻,原本栩栩如生的雕像已经变得模糊不清,有的表面还出现了斑点,造成这种现象的原因之一是酸雨.下列气体中能形成酸雨的是(???)
A.O2
B.CO
C.SO2
D.N2

查看答案和解析>>

同步练习册答案