相关习题
0 63714 63722 63728 63732 63738 63740 63744 63750 63752 63758 63764 63768 63770 63774 63780 63782 63788 63792 63794 63798 63800 63804 63806 63808 63809 63810 63812 63813 63814 63816 63818 63822 63824 63828 63830 63834 63840 63842 63848 63852 63854 63858 63864 63870 63872 63878 63882 63884 63890 63894 63900 63908 211419
科目:
来源:2011-2012学年湖北省黄冈市九年级(下)月考化学试卷(3月份)(解析版)
题型:选择题
有关化学性质推断正确的是( )
A.两种物质相互反应生成盐和水,证明该反应是中和反应
B.在同一化合物中,金属元素一定显正价,非金属元素一定显负价
C.一定温度下,往氢氧化钙饱和溶液中加入氧化钙,溶质、溶剂的质量一定改变
D.某物质在空气中燃烧生成二氧化碳和水,证明该物质含碳、氢、氧三种元素
查看答案和解析>>
科目:
来源:2011-2012学年湖北省黄冈市九年级(下)月考化学试卷(3月份)(解析版)
题型:选择题
规范的操作是实验成功的前提,实验操作正确的是( )
A.蒸发操作时,蒸发皿必须放在石棉网上,用酒精灯外焰加热
B.取少量液体试剂时,滴管伸入试剂瓶内液体中,挤压胶头吸液
C.用试管夹夹持试管给液体加热时,需要移动试管,以防受热不均和液体冲出
D.实验结束后,剩余的试剂都应放回原试剂瓶
查看答案和解析>>
科目:
来源:2011-2012学年湖北省黄冈市九年级(下)月考化学试卷(3月份)(解析版)
题型:选择题
工业上用甲和乙反应制备燃料丙.根据下列微观示意图得出的结论中,正确的是( )

A.甲的化学式为CH
2B.反应中甲、乙、丙的分子个数比为2:1:1
C.甲、乙、丙都是有机物
D.丙中C、H、O元素的质量比为12:3:8
查看答案和解析>>
科目:
来源:2011-2012学年湖北省黄冈市九年级(下)月考化学试卷(3月份)(解析版)
题型:选择题
下列各组物质间通过一步反应就能实现如图转化,则甲、乙、丙可能是( )

A.NaOH NaCl NaNO
3B.CaO Ca(OH)
2 CaCO
3C.H
2O
2 H
2O O
2D.MgSO
4 MgCl
2 Mg(NO
3)
2
查看答案和解析>>
科目:
来源:2011-2012学年湖北省黄冈市九年级(下)月考化学试卷(3月份)(解析版)
题型:选择题
在一定条件下,一个密闭容器内发生某反应,测得反应过程中各物质的质量部分数据如下表所示.下列未知数据计算正确的是( )
| 物 质 | a | b | c | d |
| 反应前的质量(g) | 10 | 10 | | |
| 反应中的质量(g) | 6 | 2 | 3 | ① |
| 反应后的质量(g) | ② | | ③ | ④ |
A.①为7
B.②为6
C.③3.75
D.④16.25
查看答案和解析>>
科目:
来源:2011-2012学年湖北省黄冈市九年级(下)月考化学试卷(3月份)(解析版)
题型:填空题
请从H、C、O、Na等4种元素中选择恰当的元素,组成符合下列要求的物质,并将其化学式填写在相应的空格上:
①能燃烧的固态非金属单质是 ;
②一种有毒的气态氧化物,可用于炼铁的是 ;
③三种元素组成的盐,其溶液呈碱性,还可以做洗涤剂的是 ;
④参与植物的光合作用,可以做农作物气体肥料的是 ;
⑤最简单的有机物,是天然气的主要成分 .
查看答案和解析>>
科目:
来源:2011-2012学年湖北省黄冈市九年级(下)月考化学试卷(3月份)(解析版)
题型:填空题
用化学方程式填空
(1)生成一种红色单质的置换反应: ;
(2)生成复合肥料的中和反应: ;
(3)实验室用纯净物制氧气: ;
(4)实验室常用烧碱溶液处理尾气中的二氧化硫: .
查看答案和解析>>
科目:
来源:2011-2012学年湖北省黄冈市九年级(下)月考化学试卷(3月份)(解析版)
题型:填空题
2011年是“国际化学年”.化学与生活密切相关,合理选择饮食、正确使用药物等都离不开化学.水果、蔬菜能为人体提供的主要营养索是 ;人体缺少必需微量元素会得病,如缺 会引起甲状腺肿大(俗称大脖子病);含小苏打的药物治疗胃酸过多症的化学方程式为 .
查看答案和解析>>
科目:
来源:2011-2012学年湖北省黄冈市九年级(下)月考化学试卷(3月份)(解析版)
题型:填空题
请根据右图中a、b、c三种物质的溶解度曲线,回答下列问题:
(1)P点的含义是
.
(2)t
2℃时,30ga物质加入到50g水中不断搅拌,能形成80g溶液吗?
(填“能”或“不能”).
(3)将t
2℃时的a、b、c三种物质的饱和溶液降温到t
1℃时,溶液中溶质质量分数最小的是
(填写物质序号).
(4)现有a、b、c三种物质的浓溶液,适用于海水晒盐原理进行结晶的是
(填写物质序号).

查看答案和解析>>
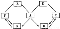
科目:
来源:2011-2012学年湖北省黄冈市九年级(下)月考化学试卷(3月份)(解析版)
题型:解答题
如图所示A~G是初中化学常见的物质.图中“→”表示转化关系,“-”表示相互能反应.已知A是人体胃液中含有的酸,G是最轻的气体,B、C、D、E、F都是氧化物.请回答:
(1)G的化学式为______,E与F发生化学反应的基本类型是______,写出物质B的一种用途______;
(2)C、D发生反应的化学方程式可能为______ 2Fe+3CO
2
查看答案和解析>>