相关习题
 0  63787  63795  63801  63805  63811  63813  63817  63823  63825  63831  63837  63841  63843  63847  63853  63855  63861  63865  63867  63871  63873  63877  63879  63881  63882  63883  63885  63886  63887  63889  63891  63895  63897  63901  63903  63907  63913  63915  63921  63925  63927  63931  63937  63943  63945  63951  63955  63957  63963  63967  63973  63981  211419 

科目: 来源:2012-2013学年重庆一中九年级(下)期中化学试卷(解析版) 题型:填空题

请你用正确的化学用语填空.
(1)2个氢分子           
(2)地壳中含量最多的金属元素   

查看答案和解析>>

科目: 来源:2012-2013学年重庆一中九年级(下)期中化学试卷(解析版) 题型:填空题

小可同学在学习了近一年的初中化学后,总结了一些说法,判断这些说法是否正确.若正确,在右边空白栏打“√”;若错误,用溶质的化学式或反应的化学方程式证明.
说        法溶质的化学式或反应的化学方程式
不是所有的溶液都是无色的   
只有碱溶液才显碱性   
有盐和水生成的反应一定是中和反应   
所有复分解反应只能生成一种沉淀   

查看答案和解析>>

科目: 来源:2012-2013学年重庆一中九年级(下)期中化学试卷(解析版) 题型:填空题

如图是甲、乙两种固体物质的溶解度曲线.
(1)    ℃时,甲、乙两种物质的溶解度相等.
(2)t2℃时,将等质量的甲、乙两种物质加水溶解配制成饱和溶液,所得溶液质量的大小关系为:甲    乙(填“>”、“<”或“=”).
(3)把甲物质的不饱和溶液变为饱和溶液,下列有关说法正确的是    (填序号,下同).
A.溶剂的质量一定变小             B.溶质的质量可能不变
C.溶质的质量分数一定变大         D.溶液的质量一定变大
(4)除去甲物质中少量乙物质可采取    结晶的方法.

查看答案和解析>>

科目: 来源:2012-2013学年重庆一中九年级(下)期中化学试卷(解析版) 题型:填空题

酸是一类非常重要的化合物,请回答下列问题
(1)向三氧化二铁中放入足量盐酸,充分反应后,观察到的现象是    ,反应的化学方程式是   
(2)白醋、柠檬酸溶液也能与三氧化二铁发生类似反应,说明白醋、柠檬酸溶液和盐酸中都含有的离子是    (填离子符号).
(3)甲酸可解离出H+和HCOO-,甲酸溶液与氢氧化钠反应的化学方程式为HCOOH+NaOH=HCOONa+H2O,请写出甲酸溶液与镁反应的方程式   

查看答案和解析>>

科目: 来源:2012-2013学年重庆一中九年级(下)期中化学试卷(解析版) 题型:填空题

化学与生活息息相关,所以学好化学知识能让我们解除一些困扰.
(1)“胃舒平”是一种常见的胃药,其主要成分为氢氧化铝,病人服用后在胃部发生的化学
反应的方程式为   
(2)在春游野炊活动中,某同学不小心被飞来的蜜蜂蜇了(蜜蜂毒液呈酸性)很痛,下列物质涂抹可以减轻疼痛的是    (填字母).
A.食盐水      B.食醋      C.肥皂水
(3)若要测定迎霞湖湖水的酸碱度,可选用    (填字母).
A.紫色石蕊试液      B.无色酚酞试液      C.PH试纸
(4)路边的农田中种植的植物比正常的植株矮小瘦弱,叶片发黄,有的叶脉呈淡棕色,而且出现了倒伏现象.你应建议农民伯伯施加下列哪一种化肥    (填字母).
A.NH4HCO3 B.NH4H2PO4 C.KNO3 D.KH2PO4

查看答案和解析>>

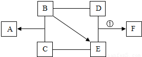
科目: 来源:2012-2013学年重庆一中九年级(下)期中化学试卷(解析版) 题型:填空题

A、B、C、D、E、F是常见的酸、碱、盐、氧化物中的一种,其中A、B是建筑材料,F是厨房中的调味品的主要成分,他们间有如图的关系(图中“→”表示转化关系,“-”表示相互能反应,反应条件和部分生成物省略).回答下列问题:
(1)A、F的化学式分别为       
(2)C+E反应的方程式为   
(3)B+D反应的方程式为   

查看答案和解析>>

科目: 来源:2012-2013学年重庆一中九年级(下)期中化学试卷(解析版) 题型:填空题

如图是粗盐提纯实验的部分操作,请回答相关问题.

(1)如图所示操作中,有错误的是    (填字母).
(2)粗盐提纯的正确操作顺序为    (填字母).
(3)操作B中,玻璃棒的作用是   
(4)步骤D中称取10.0g粗盐,将该粗盐逐渐加入盛有10mL水的烧杯中,边加边用玻璃棒搅拌,直到粗盐不再溶解为止,称得剩余粗盐为2.0g,最终得到NaCl晶体6.4g,该实验精盐的产率是   
(5)若制得的精盐的产率偏高,则可能的原因是    (填字母).
A.过滤时滤纸有破损                           B.蒸发时有固体溅出
C.溶解含有泥沙的粗食盐时,加入的水量不足      D.最终所得精盐比较潮湿.

查看答案和解析>>

科目: 来源:2012-2013学年重庆一中九年级(下)期中化学试卷(解析版) 题型:填空题

重庆一中初三年级某兴趣小组的同学欲用生石灰制取氢氧化钠固体,他们将少量生石灰放入烧杯中,再向其中加入一定量碳酸钠溶液,充分反应冷却至室温后后过滤、洗涤得到固体A和溶液B.请你写出发生反应的化学方程式       
请你与小组同学共同完成以下探究:
提出问题1:固体A中的成分是什么?
猜想与假设1:
甲同学:只有CaCO3            
乙同学:CaCO3,Ca(OH)2
乙同学猜想可能含有的Ca(OH)2理由是   
实验与探究:甲、乙同学为了验证各自的猜想,分别进行了实验:
实验内容实验现象实验结论
甲同学:取少量固体于试管中,再加入稀盐酸.有气泡产生自己的猜想正确
乙同学:取少量固体于试管中,加水充分振荡,
过滤向滤液中滴加酚酞溶液.
    自己的猜想正确
反思与评价:小组同学讨论后认为,甲同学的实验不能证明他的猜想,理由是    ;结合甲、乙两同学的实验能证明乙同学的猜想正确,因此小组同学确定了固体A的成分.
提出问题2:溶液B中溶质的成分是什么?
猜想与假设2:
丙同学:NaOH,Na2CO3    
丁同学:NaOH,Ca(OH)2      
戊同学:NaOH
表达与交流:结合对固体成分的探究,同学们经过讨论确定了丁同学猜想正确,理由是   
该小组同学向溶液B中继续滴加    (填化学式)溶液至不再产生沉淀为止,过滤,再将滤液加热蒸发,冷却结晶,过滤得纯净的氢氧化钠固体.

查看答案和解析>>

科目: 来源:2012-2013学年重庆一中九年级(下)期中化学试卷(解析版) 题型:解答题

有盐酸和MgCl2的混合溶液共100g,向混合溶液中逐滴加入溶质质量分数为10%的NaOH溶液,生成的沉淀与加入的NaOH溶液质量关系如图所示.若HCl在混合溶液中质量分数为3.65%.求:
(1)A点溶液的溶质化学式为______;
(2)与盐酸反应的氢氧化钠质量为______g.
(3)恰好沉淀完全时,C点所得溶液中溶质的质量分数是多少?(结果精确到0.1%,写出计算过程)

查看答案和解析>>

科目: 来源:2011-2012学年江西省南昌市桑海中学九年级(下)第三次月考化学试卷(解析版) 题型:选择题

入夏以来,消防官兵扑灭了黑龙江、内蒙古三起特大森林火灾.开辟防火带(用于防火的通道)是灭火的重要措施之一,在树林中间开辟防火带的主要目的是( )
A.便于消防人员快速通行
B.将可燃物与火源隔离
C.减少可燃物与空气的接触面积
D.降低可燃物的着火点

查看答案和解析>>

同步练习册答案