相关习题
0 63894 63902 63908 63912 63918 63920 63924 63930 63932 63938 63944 63948 63950 63954 63960 63962 63968 63972 63974 63978 63980 63984 63986 63988 63989 63990 63992 63993 63994 63996 63998 64002 64004 64008 64010 64014 64020 64022 64028 64032 64034 64038 64044 64050 64052 64058 64062 64064 64070 64074 64080 64088 211419
科目:
来源:2013年第二十三届“天原杯”全国初中学生化学素质和实验能力竞赛(天津赛区)初赛试卷(解析版)
题型:选择题
除去下列物质中的少量杂质(括号里为杂质),所选用试剂及操作方法均正确的是( )
A.CO2(CO) 过量O2点燃
B.CuO(Cu) 适量稀盐酸 溶解、过滤、洗涤、干燥
C.NaCl溶液(CaCl2) 适量Na2CO3溶液 过滤
D.稀硝酸(H2SO4) 适量BaCl2溶液 过滤
查看答案和解析>>
科目:
来源:2013年第二十三届“天原杯”全国初中学生化学素质和实验能力竞赛(天津赛区)初赛试卷(解析版)
题型:选择题
向一定质量CaCl
2和HCl的混合溶液中逐滴加入溶质质量分数为10.0%的Na
2CO
3溶液.反应过程中加入的Na
2CO
3溶液的质量与产生沉淀或气体的质量关系如图所示.下列说法正确的是( )

A.图中Oa段表示生成沉淀的过程
B.b点溶液中溶质有2种
C.c点溶液的pH>7
D.x值为106.0
查看答案和解析>>
科目:
来源:2013年第二十三届“天原杯”全国初中学生化学素质和实验能力竞赛(天津赛区)初赛试卷(解析版)
题型:选择题
某化学小组在课外活动时做了一个实验,在甲试管中装入固体物质,乙试管中装入试剂溶液,按如图所示组装好仪器(图中铁架台等仪器已略去).通过分液漏斗加入足量稀硫酸,同时打开止水夹,看到乙试管液体中有气泡冒出;再关闭止水夹,发现一段时间后乙中溶液变浑浊.符合此实验现象的一组试剂是( )

A.KNO
3 BaCl
2B.Na
2CO
3 NaOH
C.Zn Ba(OH)
2D.MgCO
3 Ba(NO
3)
2
查看答案和解析>>
科目:
来源:2013年第二十三届“天原杯”全国初中学生化学素质和实验能力竞赛(天津赛区)初赛试卷(解析版)
题型:选择题
某兴趣小组设计实验探究碳酸钠、碳酸氢钠与盐酸反应过程中的放、吸热情况.操作步骤为:①向试剂1中加入试剂2,搅拌、测温;②静置、测温;③再加入试剂3,搅拌、测温、记录.得到了如下数据:
| 试剂1 | 试剂2 温度/℃ | 溶解后 温度/℃ | 静置后 温度/℃ | 试剂3 温度/℃ | 混合后 温度/℃ |
| 0.5gNa2CO3 | 10mL H2O 20.0 | 23.3 | 20.0 | 10mL HCl(20%) 20.0 | 23.7 |
| 0.5gNaHCO3 | 10mL H2O 20.0 | 18.5 | 20.0 | 10mL HCl(20%) 20.0 | 20.8 |
则下列说法中,错误的是( )
A.Na
2CO
3在溶于水的过程中放出热量
B.NaHCO
3在溶于水的过程中吸收热量
C.其它条件相同时,碳酸氢钠溶液与盐酸混合过程中放出的热量更多
D.实验中,若同一列试剂的温度及所取的量不同,则实验结论的可信度降低
查看答案和解析>>
科目:
来源:2013年第二十三届“天原杯”全国初中学生化学素质和实验能力竞赛(天津赛区)初赛试卷(解析版)
题型:选择题
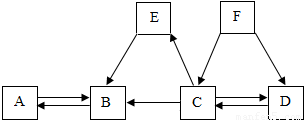
初中化学中几种常见物质之间的相互转化关系如图所示.已知常温下B、C为气体,且B是植物进行光合作用的一种重要原料;D、F均为无色液体,都由两种相同的元素组成,且分子中原子个数比依次为2:1和1:1;E为黑色固体,与稀硫酸反应得到蓝色溶液(部分反应物和生成物及反应条件已略去).下列有关判断正确的是( )

A.E转变为B一定是置换反应
B.A不一定是含CO
32-或HCO
3-的盐
C.D、F中相同元素的化合价一定相同
D.除去B中混有的少量C,可以将混合气体通过盛有NaOH溶液的洗气瓶
查看答案和解析>>
科目:
来源:2013年第二十三届“天原杯”全国初中学生化学素质和实验能力竞赛(天津赛区)初赛试卷(解析版)
题型:填空题
5月10日伦敦奥运圣火在希腊奥林匹亚采集成功.请回答下列问题:
(1)采集圣火是在太阳光下将火炬伸向凹面镜,将其点燃.凹面镜在圣火采集中起到的作用为 .火炬传递结束后,采用关闭燃气阀门的方法熄灭火炬,其中蕴含的灭火原理是 .
(2)制造火炬使用的铝合金材料具有较好的抗腐蚀性,请用化学方程式表示其原因 ;铁制品易生锈,是因为铁与 作用的结果.
(3)运动员通过食用水果和蔬菜来获取的主要营养物质是 .
(4)接送运动员的电动汽车充电时是将电能转化为 能.
(5)维护足球场草坪,可使用含硝酸钾的营养液,硝酸钾属于 肥.
查看答案和解析>>
科目:
来源:2013年第二十三届“天原杯”全国初中学生化学素质和实验能力竞赛(天津赛区)初赛试卷(解析版)
题型:填空题
某学习小组在探究酸的化学性质时,做了如图所示的两个实验:
(1)向分别装有碳酸钠和碳酸钙粉末的试管中注入一定量的稀盐酸,两支试管内均观察到的现象是
,固体粉末全部消失,最终形成无色溶液.写出B试管中发生反应的化学方程式:
.
(2)实验结束后,同学们将A、B两支试管中的废液倒入同一只洁净的烧杯中,发现烧杯中的废液变浑浊.写出该反应的化学方程式:
.

查看答案和解析>>
科目:
来源:2013年第二十三届“天原杯”全国初中学生化学素质和实验能力竞赛(天津赛区)初赛试卷(解析版)
题型:解答题
由碳、氢元素组成的物质种类繁多,烷烃就是其中一类重要的物质,表中列出了烷烃的一些信息.
| 名称 | 甲烷 | 乙烷 | 丙烷 | 丁烷 | 戊烷 | 十一烷 | 十六烷 |
| 化学式 | CH4 | C2H6 | C3H8 | ? | C5H12 | C11H24 | C16H34 |
| 沸点(℃) | -164 | -88.6 | -42.1 | -0.5 | 36.1 | 194.5 | 287.5 |
| 相对密度 | 0.466 | 0.572 | 0.585 | 0.579 | 0.626 | 0.741 | 0.774 |
分析上表中的信息,回答下列问题
(1)写出表中丁烷的化学式______.
(2)烷烃的命名与分子中______原子个数有关.
(3)总结一条烷烃物理性质的递变规律______.
查看答案和解析>>
科目:
来源:2013年第二十三届“天原杯”全国初中学生化学素质和实验能力竞赛(天津赛区)初赛试卷(解析版)
题型:填空题
实验室有三瓶化肥未贴标签,只知道它们分别是碳酸氢铵(NH
4HCO
3)、氯化铵 (NH
4C1)和尿素[CO(NH
2)
2]中的一种.为鉴别三种化肥,某同学分别取少量样品编号为A、B、C,并进行如下实验:(此处箭头表示得出实验结论)

根据上述实验回答:
(1)写出三种化肥的名称:A
;B
;C
.
(2)如果实验II中B、C两种样品没有另取,对实验结果
(填“有”或“无”)影响.
(3)由实验和查阅资料可知,人们在施用铵态氮肥时,若遇到碱性物质,会使铵态氮肥转化为氨气,氨气进入大气后与雨水作用,可能形成“碱雨”.“碱雨”中碱的化学式为
.
查看答案和解析>>
科目:
来源:2013年第二十三届“天原杯”全国初中学生化学素质和实验能力竞赛(天津赛区)初赛试卷(解析版)
题型:解答题
如图是初中化学常见物质间的转化关系(部分反应条件和生成物已略去).已知:
2Na+2H
20═2NaOH+H
2↑,A是黑色固体粉末,C是一种蓝色溶液(波尔多液的成分之一),G是不溶于稀硝酸的白色沉淀.

试回答:
(1)写出C中溶质的化学式______.
(2)A物质中元素的质量比是______.
(3)写出反应①、②化学方程式,并注明反应①的基本类型.
反应①______ CuO+H
2O
查看答案和解析>>