相关习题
 0  63938  63946  63952  63956  63962  63964  63968  63974  63976  63982  63988  63992  63994  63998  64004  64006  64012  64016  64018  64022  64024  64028  64030  64032  64033  64034  64036  64037  64038  64040  64042  64046  64048  64052  64054  64058  64064  64066  64072  64076  64078  64082  64088  64094  64096  64102  64106  64108  64114  64118  64124  64132  211419 

科目: 来源:2012-2013学年江苏省泰州市姜堰实验初中九年级(下)第一次学情调查化学试卷(3月份)(解析版) 题型:选择题

下列分析判断正确的是( )
A.有机物是含碳化合物,二氧化碳含碳,所以二氧化碳是有机物
B.铁、铜都是金属单质,都能够置换出盐酸、稀硫酸中的氢
C.氧化物中含有氧元素,但是含有氧元素的化合物不一定是氧化物
D.点燃的木条伸入某无色气体中会熄灭,证明该无色气体不一定是二氧化碳

查看答案和解析>>

科目: 来源:2012-2013学年江苏省泰州市姜堰实验初中九年级(下)第一次学情调查化学试卷(3月份)(解析版) 题型:填空题

化学服务生活,对化学的无知就是对生活的无知.下表是生活中常用物质溶液的pH:
序号abcde
名 称食 醋白 酒白糖水烧碱纯碱溶液
溶液pH377118
①上述物质中,酸性最强的是    (填序号);可用于制“叶脉书签”的碱    (填化学式)
②当你被蚊虫叮咬(释放一种酸性物质)后,为减轻疼痛,可在叮咬处涂    (填序号);
③酸、碱、盐溶液中发生的反应实质是溶液中的离子反应.酸溶液有相似的性质因为溶液中有共同的    (填离子符号);碱溶液有相似的性质是溶液中    (填离子符号)表现出来的性质;碳酸钾、碳酸钠等溶液,因为溶液中含有共同的离子,也表现出相似的性质.
请你模仿以上方式表示CO32--某些化学性质.(任选一种方式):   

查看答案和解析>>

科目: 来源:2012-2013学年江苏省泰州市姜堰实验初中九年级(下)第一次学情调查化学试卷(3月份)(解析版) 题型:填空题

某同学对氯化钠、烧碱、纯碱、无水硫酸铜、硫酸铜晶体等五种样品进行鉴别.
(1)观察固体样品,颜色为蓝色的是   
(2)余下四种样品,分别取少量置于试管中,加水溶解,溶液颜色变化的是   
(3)再在剩下的三种溶液中,加入    ,不变红的是氯化钠.
(4)最后两种溶液中加    ,有气泡生成的是纯碱.
(5)提纯物质要除杂,写出除去下列括号中杂质所需的化学方程式:①CO2( CO )    ,②Na2SO4(NaOH)   

查看答案和解析>>

科目: 来源:2012-2013学年江苏省泰州市姜堰实验初中九年级(下)第一次学情调查化学试卷(3月份)(解析版) 题型:解答题

某同学模仿物理课上学到的“串联电路”设计了如下气体制取与性质验证的组合实验.打开分液漏斗活塞后,A中出现大量气泡,B中白磷燃烧,C中液面下降,稀盐酸逐渐进入D中.请看图回答问题:

(1)A中发生反应的化学方程式为______ 2H2O+O2

查看答案和解析>>

科目: 来源:2012-2013学年江苏省泰州市姜堰实验初中九年级(下)第一次学情调查化学试卷(3月份)(解析版) 题型:解答题

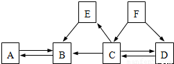
初中化学中几种常见物质之间的相互转化关系如下图所示.已知常温下B、C为气体,且B是植物进行光合作用的一种重要原料;D、F由两种相同的元素组成,且D、F分子中原子个数比依次为2:1和1:1;E为黑色金属氧化物(部分反应物和生成物及反应条件已略去).
(1)请写出E的化学式______;
(2)请用化学方程式表示以下过程
①F→D______ 2H2O+O2

查看答案和解析>>

科目: 来源:2012-2013学年江苏省泰州市姜堰实验初中九年级(下)第一次学情调查化学试卷(3月份)(解析版) 题型:解答题

暑假,同学们在帮老师整理实验室时,发现一瓶石灰水试剂瓶壁和瓶塞周围有一些白色粉末.为了弄清楚白色粉末的成分及形成原因,他们进行了如下探究:
(1)对白色粉末成分的猜想和成因分析:
白色粉末的成分形成的原因
可能是CaCO3______.
可能是______.暑假气温较高,溶质的溶解度降低或溶剂蒸发,石灰水中的溶质结晶析出.
经过反复思考,同学们认为白色粉末还可能是______ 的混合物.
(2)设计实验:
甲同学取白色粉末装入试管中,加入少量的水、振荡,发现有白色固体不溶解.于是他得出粉末中一定有CaCO3的结论.乙同
学查阅了溶解性表(如表),认为甲同学的结论不严密,理由是______.
OH-Cl-CO32-NO3-
Ca2+
为了得出较严密的结论,他们进行了如下实验,请完成下列实验报告:
实 验 步 骤可能观察到的现象结  论
取上述试管中的上层清液,滴加1~2酚酞试液.______.______.
往上述试管中残留的固体中加入稀盐酸.______.白色粉末中______(选填“有”或“无”)CaCO3
(3)交流与反思:
通过上述实验的探究,同学们向实验室提出保存、使用易变质的溶液时的下列建议,合理的是______(选填序号).
A.禁止使用这种试剂       B.使用前临时配制      C.密封保存.

查看答案和解析>>

科目: 来源:2012-2013学年江苏省泰州市姜堰实验初中九年级(下)第一次学情调查化学试卷(3月份)(解析版) 题型:填空题

材料:人类要在月球居住,首先离不开淡水和氧气,而月球上既没有水又没有空气.科学家发现月球的沙土中含有丰富的含氧钛铁矿,成分为TiO2、Fe2O3的混合物,若将这些矿石利用CO来还原可以提炼单质钛和铁,若用氢气还原,可以得到淡水.若将这些矿石通电,还可以从中分离出氧气.
(1)月球土壤中存在天然的铁、金、银等多种金属矿物颗粒.若将混合金属放入足量的盐酸中充分反应,然后过滤,剩余的固体中可以回收得到的金属组合是   
A.Fe    B.Au、Fe    C.Ag、Au     D.Fe、Ag
(2)“嫦娥一号”发射的火箭推进器中装有液态肼(用A表示)和过氧化氢(H2O2),它们混合时的反应方程式为:2H2O2+A═N2+4H2O,则肼(A)的化学式为   
A.N2H2        B.N2H4O2      C.NH2D.N2H4
(3)从铁生锈条件来分析,月球上铁制品    (填“易”或“不易”)生锈.
(4)近日,电影《泰坦尼克号》3D版重现荧屏,掀起一股观影狂潮.这艘号称“永不沉没的巨轮”,在建造的过程中使用了数以万吨的钢铁.钢铁是使用最广的金属材料.
①生铁和钢都是铁合金,其中含碳量较高的是   
②现利用CO来还原TiO2、Fe2O3的混合物提炼单质钛和铁,装置如图所示,试回答:写出A中发生反应化学方程式(任意一个)
   
③就实验操作顺序的问题两位同学出现了分歧.小月认为先通一段时间CO排空气,然后再点燃C和A中的酒精灯,小亮认为这样做不好,他的理由是   

查看答案和解析>>

科目: 来源:2012-2013学年江苏省泰州市姜堰实验初中九年级(下)第一次学情调查化学试卷(3月份)(解析版) 题型:填空题

在学习了金属的性质后,化学实验小组同学对“21世纪的重要金属材料钛和钛合金”产生了兴趣,他们进行了如下探究,并请你一同参与.查阅资料:
A.钛的硬度与钢铁差不多,而它的质量只有同体积钢铁的一半,钛的密度虽然比铝稍大一点,可它的硬度却比铝大两倍.
B.钛属于化学性质比较活泼的金属,但在常温下钛的抗腐蚀性很强.即使把钛放在海水中数年,取出后仍光亮如初.
C.钛合金与人体具有很好的“相容性”,在人体内能抵抗分泌物的腐蚀且无毒.
活动与探究:
①钛与铁的金属活动性哪一种强?
设计实验:    .若钛的活动性比铁强,以上实验出现的现象是:   
②钛是比较活泼的金属,为什么耐腐蚀性却很强?可能的原因是:   
思考与应用:“物质的性质决定用途”请你判断钛的用途(写一条):   

查看答案和解析>>

科目: 来源:2012-2013学年江苏省泰州市姜堰实验初中九年级(下)第一次学情调查化学试卷(3月份)(解析版) 题型:解答题

我国约在南北朝时就开始冶炼黄铜,黄铜是铜和锌的合金(Cu-Zn),它可用来制造电器零件及日用品.为了测定某黄铜样品中铜的质量分数,取10g该样品向其中加入一定量的稀硫酸,恰好完全反应,产生氢气的质量与加入稀硫酸的质量关系如图所示.请解答下列问题:
(1)完全反应后,生成H2的质量为______.
(2)该黄铜样品中铜的质量分数为多少?(写出计算过程)

查看答案和解析>>

科目: 来源:2012-2013学年湖北省武汉市黄陂实验中学九年级(下)月考化学试卷(3月份)(解析版) 题型:选择题

下列实验当中只涉及物理变化的是( )
A.用氢氧化钠溶液吸收二氧化碳气体
B.用石蕊溶液测定溶液的酸碱性
C.用水区分硝酸铵和氯化钠
D.密封保存火碱

查看答案和解析>>

同步练习册答案