相关习题
 0  63970  63978  63984  63988  63994  63996  64000  64006  64008  64014  64020  64024  64026  64030  64036  64038  64044  64048  64050  64054  64056  64060  64062  64064  64065  64066  64068  64069  64070  64072  64074  64078  64080  64084  64086  64090  64096  64098  64104  64108  64110  64114  64120  64126  64128  64134  64138  64140  64146  64150  64156  64164  211419 

科目: 来源:2012-2013学年四川省宜宾市双龙中心学校九年级(下)期中化学试卷(解析版) 题型:填空题

常用仪器的使用、常见气体的制取是初中化学实验的基础内容.请根据下列实验装置回答问题.

(1)写出图中部分仪器的名称:①    ;②   
(2)使用A装置制取气体,对反应物状态的要求是   
(3)用C装置可以收集O2、CH4、NH3、Cl2中的        (填化学式).
(4)实验室制取二氧化碳气体,组装好实验装置后,应进行的必要操作是    ;若用D装置收集二氧化碳气体,应从     (填“a”或“b”)通入气体.
(5)写一个能用装置A制取气体的反应方程式    写一个能用装置B制取气体的反应方程式   

查看答案和解析>>

科目: 来源:2012-2013学年四川省宜宾市双龙中心学校九年级(下)期中化学试卷(解析版) 题型:填空题

根据图1、图2中三种固体物质的溶解度曲线回答问题.

(1)分析图1,P点处A、B两种物质的溶解度关系是A    B(填“>”、“<”或“=”);取一定质量的A的饱和溶液,将溶液温度从t℃降低到10℃,溶液中溶质的质量分数    (填“增大”、“减小”或“不变”).
(2)分析图2,要使C的饱和溶液变成不饱和溶液,可采用的方法是:①    ;②   
(3)10℃时,A、B、C的饱和溶液中溶质的质量分数由大到小的顺序是   

查看答案和解析>>

科目: 来源:2012-2013学年四川省宜宾市双龙中心学校九年级(下)期中化学试卷(解析版) 题型:解答题

碳酸钠和氯化钙溶液反应不仅可以用Na2CO3+CaCl2=CaCO3↓+2NaCl表示,还可以用CO32-+Ca2+=CaCO3↓表示,后者叫离子方程式.书写离子方程式时按以下步骤进行:
①“写”:写出化学方程式.(Na2CO3+CaCl2=CaCO3↓+2NaCl)
②“拆”:将易溶易解离的酸、碱和盐拆写成离子形式;沉淀、气体和水仍用化学式表示,不能拆写成离子形式.
(2Na++CO32-+Ca2++2C1-=CaCO3↓+2Na++2C1-
③“删”:删去方程式左右两边相同的离子.(CO32-+Ca2+=CaCO3↓)
④“查”:检查方程式左右两边各元素的原子个数和电荷总数是否相等.
注意:离子方程式中生成物为沉淀或气体时需标出“↓”或“↑”.
根据以上信息,结合已学知识,回答下列问题:
(1)HCl在水中解离出______ (填离子符号);NaOH在水中解离出______(填离子符号).
(2)CaCO3+2HCl=CaCl2+CO2↑+H2O的离子方程式是______.

查看答案和解析>>

科目: 来源:2012-2013学年四川省宜宾市双龙中心学校九年级(下)期中化学试卷(解析版) 题型:解答题

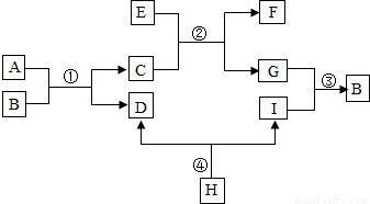
已知A、B、C、D、E、F、G、H、I均为初中化学常见的物质.其中E、G为常见金属,E是目前世界上产量最高的金属,G呈紫红色;I是地壳中含量最高的元素所形成的常见气体单质;人体胃液中含有A,可帮助消化.根据如图所示的转化关系,回答下列问题.(图中反应条件均已略去,反应物和产物均已给出)

(1)E的名称是______,H的化学式是______.
(2)写出反应②的化学方程式:______.
(3)如图中涉及到______基本反应类型.
A.一种         B.二种          C.三种         D.四种.

查看答案和解析>>

科目: 来源:2012-2013学年四川省宜宾市双龙中心学校九年级(下)期中化学试卷(解析版) 题型:解答题

在浓硫酸的催化作用下,固体草酸(H2C2O4)受热分解生成碳的氧化物和水.某化学课外兴趣小组对碳的氧化物的成分进行了实验探究.
【提出问题】如何通过实验确定碳的氧化物的成分.
【猜想】
猜想1猜想2猜想3
只有CO只有______CO和CO2都有
【设计实验】基于猜想3,兴趣小组同学设计了如图实验装置:

【实验探究】
(1)实验过程中观察到______装置(填字母)中的澄清石灰水变浑浊,证明有CO2气体.
(2)实验过程中还观察到以下实验现象:①C装置中澄清石灰水不变浑浊;②E装置中黑色粉末变成红色;③______,证明有CO气体.
【实验结论】通过实验探究证明:猜想3成立.草酸分解的化学方程式是______加热CO2↑+CO↑+H2O

查看答案和解析>>

科目: 来源:2012-2013学年四川省宜宾市双龙中心学校九年级(下)期中化学试卷(解析版) 题型:解答题

取若干克氯酸钾和二氧化锰的固体混合物,在试管中加热至不再有气体放出,将试管内的剩余固体冷却后溶于水,过滤、洗涤、干燥得到纯净固体3.25g,还得到100g溶质质量分数为7.45%的滤液.(写出必要的计算过程)
(1)写出反应的化学方程式:______△2KCl+3O2

查看答案和解析>>

科目: 来源:2012-2013学年重庆市杨家坪中学九年级(下)第一次月考化学试卷(解析版) 题型:选择题

下列四个短语,其原意一定包含化学变化的是( )
A.花香四溢
B.海市蜃楼
C.蜡炬成灰
D.木已成舟

查看答案和解析>>

科目: 来源:2012-2013学年重庆市杨家坪中学九年级(下)第一次月考化学试卷(解析版) 题型:选择题

水是生命之源,下列关于水的说法正确的是( )
A.氢原子和氧原子保持水的化学性质
B.用活性炭净水发生了化学变化
C.水电解实验中正极产生的气体为氧气
D.水由氢原子和氧原子构成

查看答案和解析>>

科目: 来源:2012-2013学年重庆市杨家坪中学九年级(下)第一次月考化学试卷(解析版) 题型:选择题

将Fe粉加入下列溶液中,溶液质量增重的是( )
A.稀盐酸
B.硫酸铜溶液
C.硝酸银溶液
D.硝酸镁溶液

查看答案和解析>>

科目: 来源:2012-2013学年重庆市杨家坪中学九年级(下)第一次月考化学试卷(解析版) 题型:选择题

下列物质的名称、俗名与化学式完全对应的是( )
A.氯化钠      食盐    NaCl2
B.氢氧化钠   烧碱     NaOH
C.氢氧化钙    熟石灰  CaO
D.碳酸钠    火碱      Na2CO3

查看答案和解析>>

同步练习册答案