相关习题
0 64123 64131 64137 64141 64147 64149 64153 64159 64161 64167 64173 64177 64179 64183 64189 64191 64197 64201 64203 64207 64209 64213 64215 64217 64218 64219 64221 64222 64223 64225 64227 64231 64233 64237 64239 64243 64249 64251 64257 64261 64263 64267 64273 64279 64281 64287 64291 64293 64299 64303 64309 64317 211419
科目:
来源:2012-2013学年湖南省株洲市茶陵县世纪星实验学校九年级(下)第三次月考化学试卷(解析版)
题型:填空题
请从“①金刚石 ②水 ③天然气 ④二氧化碳”中选择适当的物质填空(填序号):
(1)相对分子质量最小的氧化物 ;
(2)自然界最硬的物质是 .
查看答案和解析>>
科目:
来源:2012-2013学年湖南省株洲市茶陵县世纪星实验学校九年级(下)第三次月考化学试卷(解析版)
题型:填空题
根据题意填写下列空格:
(1)进入久未开启的菜窖或者深井之前,我们一般做 实验来检验这些场所中二氧化碳的含量是否会对进入的人的生命构成威胁.
(2)为了适应社会对能量的需求,人们正在开发和利用新的能源,如: (任举一例)
查看答案和解析>>
科目:
来源:2012-2013学年湖南省株洲市茶陵县世纪星实验学校九年级(下)第三次月考化学试卷(解析版)
题型:填空题
物质丙是重要的化工产品,在国民经济中占有重要地位.工业上用甲和乙合成丙.甲、乙、丙的微观示意图见下表.
(1)如果用H
2来表示甲,则丙的化学式应该为
.
(2)甲和乙合成丙的化学反应中,甲、乙、丙三种物质的分子个数比为
.
(3)现有10g 的甲和60g 的乙,混合反应制取丙,反应一段时间后,经测定剩余甲的质量为4g,则剩余乙的质量为
g.
查看答案和解析>>
科目:
来源:2012-2013学年湖南省株洲市茶陵县世纪星实验学校九年级(下)第三次月考化学试卷(解析版)
题型:填空题
元素周期律是学习和研究化学的重要工具.下表是元素周期表的部分信息:

认真分析信息,回答:
(1)地壳中含量最多的金属元素的原子序数是
;
(2)写出一个由6、8号二种元素组成的化合物的化学式
;
(3)

表示的是(写粒子符号)
.
查看答案和解析>>
科目:
来源:2012-2013学年湖南省株洲市茶陵县世纪星实验学校九年级(下)第三次月考化学试卷(解析版)
题型:填空题
能源、环境问题是全球关注的热点问题.
(1)化石燃料大量使用产生
、NO
2在空气中反应后的生成物溶于雨水,形成酸雨破坏环境.
(2)现阶段,人们大量利用燃料燃烧产生的能量. 某校化学小组在研究燃烧的条件时,做了下图所示A、B、C三个实验.对比实验B和C可以得到的结论是
.

查看答案和解析>>
科目:
来源:2012-2013学年湖南省株洲市茶陵县世纪星实验学校九年级(下)第三次月考化学试卷(解析版)
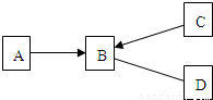
题型:填空题
A、B、C、D是初中化学常见的五种不同物质,其中A、B、C中含有相同元素,A是天然气的主要成分,B是导致“温室效应”的一种气体.图中“-”表示相连的物质在一定条件下可以发生反应,“→”表示物质间存在转化关系.
(1)物质D是(写化学式)
;
(2)写出图中有关反应的化学方程式:A→B
.

查看答案和解析>>
科目:
来源:2012-2013学年湖南省株洲市茶陵县世纪星实验学校九年级(下)第三次月考化学试卷(解析版)
题型:解答题
初中化学学习气体的知识很重要,实验室制取气体所需装置如图所示:

(1)仪器a的名称为______.
(2)用碳酸钙和稀盐酸制取二氧化碳,选用的发生装置是______(填A~E字母序号,下同),收集装置是______.
(3)一氧化碳和二氧化碳,它们虽 然都是碳的氧化物,但是性质却有很大的差异,实验室现收集到两瓶气体,但是忘记贴好标签,请你设计实验区分哪瓶是二氧化碳,哪瓶是一氧化碳.(温馨提示:一种方法即可)
查看答案和解析>>
科目:
来源:2012-2013学年湖南省株洲市茶陵县世纪星实验学校九年级(下)第三次月考化学试卷(解析版)
题型:填空题
分如图A、B、C、D四个实验是九年级上册我们的实验探究,请回答:

(1)A实验的目的是
;
(2)B实验中B烧杯的作用是
;
(3)C实验是木炭还原氧化铜的实验,我们发现澄清石灰水会变浑浊,请写出澄清石灰水变浑浊的化学方程式
.
(4)D实验中小花变红的是
(填序号),该实验④发生反应的化学方程式是:
.
查看答案和解析>>
科目:
来源:2012-2013学年湖南省株洲市茶陵县世纪星实验学校九年级(下)第三次月考化学试卷(解析版)
题型:解答题
生活中我们很多时候会吃到白糖,白糖的主要成分是蔗糖C12H22O11,请你计算:
(1)蔗糖的相对分子质量为______;
(2)蔗糖中各元素的质量比为______;(最简比)
(3)蔗糖中碳元素的质量分数为?(请写出计算过程,百分数中保留一位小数)
查看答案和解析>>
科目:
来源:2012-2013学年湖南省株洲市茶陵县世纪星实验学校九年级(下)第三次月考化学试卷(解析版)
题型:解答题
过氧化钠(化学式为Na2O2)是一种淡黄色的固体物质,它能与水发生化学反应,其反应的化学方程式是2Na2O2+2H2O=4NaOH+O2↑,现将一定质量的过氧化钠加入到盛有175.2g水的烧杯中,反应完毕后,称得烧杯内剩余物质的质量比反应前Na2O2和水的总质量减少了6.4g,试计算:
(1)反应生成氧气的质量是______g.
(2)求参加反应的Na2O2的质量.(请写出计算过程)
查看答案和解析>>