相关习题
 0  64211  64219  64225  64229  64235  64237  64241  64247  64249  64255  64261  64265  64267  64271  64277  64279  64285  64289  64291  64295  64297  64301  64303  64305  64306  64307  64309  64310  64311  64313  64315  64319  64321  64325  64327  64331  64337  64339  64345  64349  64351  64355  64361  64367  64369  64375  64379  64381  64387  64391  64397  64405  211419 

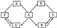
科目: 来源:2011-2012学年湖北省鄂州三中九年级(下)第一次月考化学试卷(解析版) 题型:解答题

如图所示A~G是初中化学常见的物质.图中“→”表示转化关系,“-”表示相互能反应.已知A是人体胃液中含有的酸,G是最轻的气体,B、C、D、E、F都是氧化物.请回答:
(1)G的化学式为______,E与F发生化学反应的基本类型是______,写出物质B的一种用途______;
(2)C、D发生反应的化学方程式可能为______ 2Fe+3CO2

查看答案和解析>>

科目: 来源:2011-2012学年湖北省鄂州三中九年级(下)第一次月考化学试卷(解析版) 题型:解答题

H2是一种重要化工生产原料,也是一种极具开发前景的清洁能源.实验室常用锌粒与稀硫酸来制取H2,以便研究H2的性质,下面是一些常见的化学仪器或装置,请按要求填空:

(1)写出上述仪器的名称:b______,f______;
(2)选取上述仪器中的______(填字母代号)组装成制备和收集H2的装置;
(3)为安全起见,在点燃氢气之前,必须进行的操作是______;
(4)此套制备H2的装置______(填“能”或“不能”)制备O2,如果能,请写出用其制备O2反应的化学方程式______ 2H2O+O2

查看答案和解析>>

科目: 来源:2011-2012学年湖北省鄂州三中九年级(下)第一次月考化学试卷(解析版) 题型:解答题

某无色溶液可能由盐酸、氢氧化钠溶液、氯化钠溶液、碳酸钠溶液中的一种或几种混合而成.为探究其组成,小华同学进行了如下实验:
Ⅰ、取适量样品放入试管中,滴加酚酞溶液,溶液变成红色.再向试管中逐滴加入过量的氢氧化钙溶液,观察到有沉淀产生.过滤,所得滤液为红色.
(1)由实验Ⅰ中的现象可推断出样品中一定含有的物质是______(写化学式,下同),一定不含有的物质是______;
为了进一步探究样品中可能含有的物质是否存在,小华继续进行了如下实验:
Ⅱ、取适量实验Ⅰ所得的红色滤液放入试管中,滴加过量的稀硝酸,溶液变无色.再向试管中逐滴加入适量的硝酸银溶液至恰好完全反应,观察到有白色沉淀生成.过滤,所得滤液为无色.
Ⅲ、从稀硫酸、氢氧化钡溶液、氯化钡溶液、硝酸钾溶液中选择一种试剂,代替实验Ⅰ中的氢氧化钙溶液进行实验,其余的试剂及操作与实验Ⅰ的均相同.
通过实验Ⅱ和实验Ⅲ,小华得出结论:样品中可能含有的物质确实存在.
(2)实验Ⅱ所得无色滤液中,除酚酞以外,还含有的溶质为______;
(3)实验Ⅲ中代替氢氧化钙溶液的试剂是______溶液,可观察到的现象为______.

查看答案和解析>>

科目: 来源:2011-2012学年湖北省鄂州三中九年级(下)第一次月考化学试卷(解析版) 题型:解答题

请根据下图所示的实验过程和提供的数据,计算样品中钠元素的质量.
已知:Na2CO3+CaCl2=CaCO3↓+2NaCl

查看答案和解析>>

科目: 来源:《第4单元 物质构成的奥秘》2012年单元测试卷(解析版) 题型:选择题

分子、原子、离子都是构成物质的基本微粒.下列物质中由原子直接构成的是( )
A.铜
B.氧气
C.氯化钠
D.二氧化碳

查看答案和解析>>

科目: 来源:《第4单元 物质构成的奥秘》2012年单元测试卷(解析版) 题型:选择题

对下列实验现象进行的解释错误的是( )
A.B.C.D.
实验

现象

用扫描隧道显微镜获得的苯分子的图象

品红加入水中后整个液体变为红色

水分子在不同温度下的运动情况

50ml水和50ml酒精混合后的体积小于100ml
解 释分子的质量和体积都很小分子总是在不断运动着常温时分子不运动,
加热时分子才运动
分子间有间隙

A.A
B.B
C.C
D.D

查看答案和解析>>

科目: 来源:《第4单元 物质构成的奥秘》2012年单元测试卷(解析版) 题型:选择题

用分子的知识解释下列现象,正确的是( )
A.缉毒犬能根据气味发现毒品,是由于分子不断运动
B.铁丝在空气中不燃烧而在氧气中能燃烧,说明空气和氧气中的氧分子化学性质不同
C.变瘪的乒乓球放人热水中能鼓起来,是由于分子受热体积变大
D.降温能使水结成冰,是因为在低温下水分子静止不动

查看答案和解析>>

科目: 来源:《第4单元 物质构成的奥秘》2012年单元测试卷(解析版) 题型:选择题

下列现象或事实,用分子的相关知识加以解释,其中不正确的是( )
现 象 或 事 实解 释
A热胀冷缩分子大小随温度改变而改变
B酒香不怕巷子深分子不断地运动
C氧气可供人呼吸,二氧化碳不能构成物质的分子不同,物质的性质不同
D水通电后生成氢气和氧气在化学变化中分子可以再分

A.A
B.B
C.C
D.D

查看答案和解析>>

科目: 来源:《第4单元 物质构成的奥秘》2012年单元测试卷(解析版) 题型:选择题

下列变化能证明分子可以再分的是( )
A.水蒸发
B.石蜡熔化
C.干冰升华
D.水通电分解

查看答案和解析>>

科目: 来源:《第4单元 物质构成的奥秘》2012年单元测试卷(解析版) 题型:选择题

下列有关分子、原子和离子的说法正确的是( )
A.分子是保持物质性质的一种粒子
B.物体有热胀冷缩现象,主要是因为物体中的粒子大小随温度的改变而改变
C.分子、原子、离子都可以直接构成物质
D.在化学反应中,任何离子都不能再分

查看答案和解析>>

同步练习册答案