相关习题
 0  64323  64331  64337  64341  64347  64349  64353  64359  64361  64367  64373  64377  64379  64383  64389  64391  64397  64401  64403  64407  64409  64413  64415  64417  64418  64419  64421  64422  64423  64425  64427  64431  64433  64437  64439  64443  64449  64451  64457  64461  64463  64467  64473  64479  64481  64487  64491  64493  64499  64503  64509  64517  211419 

科目: 来源:2011-2012学年海南省海南中学九年级(下)期中化学试卷(解析版) 题型:填空题

从Ca、C、S、H、O、N六种元素中选择适当的元素或由其组成的物质,按要求完成下列各题.
(1)写出符合下列要求的化学符号:
①三个碳酸根离子   
②相对分子质量最小的氧化物   
③常用来清除铁锈的酸   
(2)写出符合下列要求的化学方程式:
①用石灰石制生石灰分解反应   
②有水生成的化合反应   
③稀硫酸与熟石灰发生的中和反应   

查看答案和解析>>

科目: 来源:2011-2012学年海南省海南中学九年级(下)期中化学试卷(解析版) 题型:填空题

我们的衣食住行与化学知识密不可分.请根据下列生活中的事实填空.
(1)下列各类食物中蛋白质含量最丰富的是   

(2)人体缺乏碘元素易引起甲状腺肿大,碘元素在周期表中的信息如图所示.

则下列说法错误的是   
①加碘食盐中的碘是指碘单质           ②碘的原子序数是53
③碘元素主要存在于新鲜蔬菜、瓜果中   ④碘的相对原子质量是126.9
(3)家庭生活中常使用下列用品,其中用到有机合成材料的是   

①不锈钢炊具     ②合成橡胶手套    ③纯棉饰品    ④塑料外壳电话
(4)“可燃冰”[CH4?(H2O)n]是一种沉睡在海底和高寒冻土的独特能源.2007年5月,在我国南海北部成功钻获“可燃冰”样品.下列有关“可燃冰”的说法正确的是   
①属于海底生物              ②说明水可以变成油
③CH4?(H2O)n属于化合物     ④是燃烧值高、污染少的新能源
(5)如图是贴在某汽车加油站的广告.判断以下叙述正确的是   

①玉米汁可用作汽车燃料  ②由玉米生产的酒精汽油可作汽车燃料
③推广玉米生产的燃料可在一定程度上缓解当前的能源危机  ④以农作物为原料来生产化学品是可行的.

查看答案和解析>>

科目: 来源:2011-2012学年海南省海南中学九年级(下)期中化学试卷(解析版) 题型:填空题

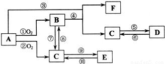
有A、B、C、D、E、F六种物质,其中A、B、C、D、E五种物质的组成中均含有同一种元素,A、F为单质,其余为化合物,D是鸡蛋壳及石灰石的主要成分.它们之间有如下转化关系(一些必要的反应物和反应条件已略去):

请回答:
(1)写出A和D的名称:A    ,D   
(2)向E的溶液中滴加紫色石蕊溶液的现象是   
(3)写出反应④的化学方程式:        等;
(4)指出反应⑤在物质鉴别中的应用:   
(5)从反应①②可得到的启示是:   

查看答案和解析>>

科目: 来源:2011-2012学年海南省海南中学九年级(下)期中化学试卷(解析版) 题型:解答题

结合下列各图装置,回答有关问题.

(1)实验室中,用加热氯酸钾和二氧化锰的混合物的方法制取氧气,发生装置可选用______(填序号),该反应的化学方程式为______△2KCl+3O2

查看答案和解析>>

科目: 来源:2011-2012学年海南省海南中学九年级(下)期中化学试卷(解析版) 题型:解答题

如图1像表示盐酸和氢氧化钠溶液发生反应过程中溶液的pH变化.请从图象中获取信息,回答下列问题:

(1)进行该反应的实验操作是按照以上图2中______(填甲或乙)图所示进行,烧杯中溶液的颜色变化是______.
(2)曲线上C点表示______
(3)用溶质的质量分数为36.5%的盐酸40g与足量氢氧化钠溶液恰好完全反应,需要溶质的质量分数为20%的氢氧化钠溶液______g.
(4)甲乙丙丁四位同学在氢氧化钠溶液滴入酚酞试液时,发现了一个意外现象:溶液变成了红色,一会儿红色就消失了.
【猜想】
甲:可能是酚酞变质的缘故;
乙:可能是氢氧化钠溶液与空气中二氧化碳反应的缘故;
丙:可能是酚酞与空气中氧气反应,使红色消失的缘故;
丁:可能与氢氧化钠溶液质量分数大小有关.
【查阅资料】
碳酸钠溶液显碱性.
【理论分析】
甲同学刚提出自己的猜想,就遭到其余三位同学的否定,三位同学的理由是______. 乙同学的猜想也不正确,理由是______.
【实验设计】
为证实丙同学的猜想,还需作如下实验,请完成下表.
实验步骤设计这一步骤的目的
1、用煮沸过的蒸馏水配制氢氧化钠溶液排出水中的氧气
2、在氢氧化钠溶液中滴入酚酞,并在上方滴一些植物油______
(5)通过以上实验,四位同学看到:溶液先变成红色,一会红色消失.因此酚酞红色褪去与氧气无关.若丁同学的猜想正确,设计如下实验证明并完成有关问题
试验方法观察到的现象和结论
方案一:分别配制不同质量分数的氢氧化钠溶液,然后各滴加2滴酚酞试液质量分数小的溶液中红色不消失,质量分数大的溶液中红色消失,则证明______.
方案二:将滴有酚酞试液的浓氢氧化钠溶液____________

查看答案和解析>>

科目: 来源:2011-2012学年海南省海南中学九年级(下)期中化学试卷(解析版) 题型:解答题

黄铜是铜和锌的合金.向一定质量的黄铜样品中加入154.7g稀硫酸,恰好完全反应,产生0.2g氢气.
(1)求所用稀硫酸的溶质质量分数
(2)除了可求出稀硫酸的溶质质量分数外,你还能求出的化学量有______.(填序号)
①锌的质量         ②铜的质量分数    ③锌的质量分数    ④硫酸锌的质量     ⑤反应后溶液溶质质量分数.

查看答案和解析>>

科目: 来源:2011-2012学年福建省莆田市仙游县枫江中学九年级(下)第一次月考化学试卷(解析版) 题型:选择题

成语被誉为中华民族语言的瑰宝.下列成语中,其本意主要为化学变化的是( )
A.铁杵磨成针
B.死灰复燃
C.木已成舟
D.积土成山

查看答案和解析>>

科目: 来源:2011-2012学年福建省莆田市仙游县枫江中学九年级(下)第一次月考化学试卷(解析版) 题型:选择题

下列物质属于纯净物的是( )
A.纯净的空气
B.自来水
C.冰水混合物
D.过氧化氢溶液

查看答案和解析>>

科目: 来源:2011-2012学年福建省莆田市仙游县枫江中学九年级(下)第一次月考化学试卷(解析版) 题型:选择题

下列仪器:①量筒 ②试管 ③烧杯 ④燃烧匙 ⑤试剂瓶,能直接加热的是( )
A.①②
B.②④
C.③⑤
D.②③

查看答案和解析>>

科目: 来源:2011-2012学年福建省莆田市仙游县枫江中学九年级(下)第一次月考化学试卷(解析版) 题型:选择题

检验集气瓶内氧气是否收集满,最好的方法是( )
A.将带火星的木条伸至集气瓶中
B.将带火星的木条放到集气瓶口
C.将燃着的木条伸至集气瓶中
D.将澄清的石灰水倒入集气瓶中

查看答案和解析>>

同步练习册答案