相关习题
 0  64443  64451  64457  64461  64467  64469  64473  64479  64481  64487  64493  64497  64499  64503  64509  64511  64517  64521  64523  64527  64529  64533  64535  64537  64538  64539  64541  64542  64543  64545  64547  64551  64553  64557  64559  64563  64569  64571  64577  64581  64583  64587  64593  64599  64601  64607  64611  64613  64619  64623  64629  64637  211419 

科目: 来源:2011-2012学年江西省萍乡市上埠镇中九年级(下)第一次月考化学试卷(解析版) 题型:解答题

如图是实验室常用的气体制取和收集装置,请你回答下列问题:

(1)写出下列编号的仪器名称:①______,②______;
(2)实验室制取和收集CO2,应选用的装置是(填编号)______,反应的化学方程式为______;
(3)小明选择B、D装置,用过氧化氢和二氧化锰制取一瓶O2,为了节约药品,他提出如下操作方法:先向B装置中加入少量二氧化锰,然后从仪器①中逐滴加入过氧化氢溶液,至刚好收满一瓶O2.他的操作方法(填“合理”或“不合理”)______,理
由是______.

查看答案和解析>>

科目: 来源:2011-2012学年江西省萍乡市上埠镇中九年级(下)第一次月考化学试卷(解析版) 题型:解答题

小红同学进行酸碱中和反应实验,反应后为确定稀硫酸和氢氧化钠溶液是否刚好完全反应,她将少量反应后的溶液,倒入一支试管中,向其中滴入几滴无色酚酞试液(如右图所示),振荡,观察到酚酞试液不变色,于是她得出“两种物质已恰好完全中和”的结论.
(1)指出她实验操作中的错误______.
(2)写出该中和反应的化学方程式______.
(3)小霞认为小红的结论不准确,她认为除了“恰好中和”外还有一种假设,这种假设是______.
(4)请你设计实验,探究小霞的假设是否成立.
实验操作实验现象结论
将少量反应后的溶液放在试管中,滴加紫色石蕊试液
或:将少量反应后的溶液放在试管中,加入碳酸钠溶液
或:将少量反应后的溶液放在试管中,加入铁等活泼金属
试液变红色
或有气泡冒
或有气泡冒出
假设成立


查看答案和解析>>

科目: 来源:2011-2012学年江西省萍乡市上埠镇中九年级(下)第一次月考化学试卷(解析版) 题型:解答题

有一包白色粉末,由NH4Cl、Na2CO3、NaCl、CaCO3中的两种组成,为确定其成分,小刚同学进行了如下探究:
(一)收集到以下可能用到的相关资料
[资料1]部分物质的溶解性表
阴离子OH-Cl-CO32-
阳离子
Ca2+
NH4+溶、挥
[资料2]铵盐能与碱反应,放出氨气.
(二)探究一:取样品溶于足量的水中,样品全部溶解,则白色粉末中一定无______.
(三)探究二:[提出猜想]得到的溶液中可能含有的溶质是:
猜想1:Na2CO3和NaCl
猜想2:NH4Cl和NaCl
猜想3:______
[实验验证](将下表中的①②③处填写完整)
步骤实验操作实验现象相应的结论
取样,加入稀盐酸__①__猜想2不成立
__②___有刺激性气味气体生成猜想__③___成立
写出“步骤一”中所发生的反应的化学方程式:______
[实验反思]某同学认真研究了探究过程,认为“探究二”只需要使用一种试剂,一步就能得出结论.你认为这种试剂可能是______(填化学式).

查看答案和解析>>

科目: 来源:2011-2012学年江西省萍乡市上埠镇中九年级(下)第一次月考化学试卷(解析版) 题型:填空题

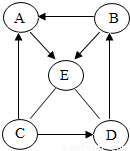
A~E都是初中化学中的常见物质,且有如图所示转化关系(反应条件、其他生成物均已略去),图中“-”表示两端的物质能发生化学反应;“→”表示物质间存在转化关系.
已知A、B、C、D、E均为化合物,其中E为造成温室效应的主要气体,A、B同属于盐,C、D同属于碱.回答下列问题:
(1)写出下列物质的化学式:E    、A   
(2)写出下列反应方程式:D+E:    ;C转化为D:   

查看答案和解析>>

科目: 来源:2011-2012学年江西省萍乡市上埠镇中九年级(下)第一次月考化学试卷(解析版) 题型:解答题

小华测定Cu-Zn合金及Cu-Ag合金中铜的质量分数,实验室只提供一瓶未标明质量分数的稀盐酸和必要的仪器.
(1)你认为能测出其铜的质量分数的是______合金.
(2)小华取该合金的粉末65g与足量该盐酸充分反应,经测定,产生了0.4g气体,请求出该合金中铜的质量分数.
(3)若想测出该盐酸的质量分数,实验时必须提供和测出的数据是______(填序号).
A、参加反应的合金质量;  B.参加反应的稀盐酸的质量;  C.产生气体的质量.

查看答案和解析>>

科目: 来源:2011-2012学年湖北省宜昌市猇亭中学九年级(下)第一次月考化学试卷(解析版) 题型:选择题

下列变化中,不属于化学变化的是( )
A.
葡萄酿成酒
B.
   铁矿石冶炼成钢铁
C.
         海水晒盐
D.
  石油合成塑料和橡胶

查看答案和解析>>

科目: 来源:2011-2012学年湖北省宜昌市猇亭中学九年级(下)第一次月考化学试卷(解析版) 题型:选择题

下列物质中,属于纯净物的是( )
A.碳酸饮料
B.醋
C.硫酸铜溶液
D.干冰

查看答案和解析>>

科目: 来源:2011-2012学年湖北省宜昌市猇亭中学九年级(下)第一次月考化学试卷(解析版) 题型:选择题

下列各组物质混合后,能形成溶液的是( )
A.汽油与高锰酸钾
B.汽油与碘
C.水与碘
D.菜油与水

查看答案和解析>>

科目: 来源:2011-2012学年湖北省宜昌市猇亭中学九年级(下)第一次月考化学试卷(解析版) 题型:选择题

下列物质中,能用金属与稀盐酸直接反应制得的是( )
A.氯化钠
B.氯化铁
C.氯化铜
D.氯化银

查看答案和解析>>

科目: 来源:2011-2012学年湖北省宜昌市猇亭中学九年级(下)第一次月考化学试卷(解析版) 题型:选择题

养鱼池里设立水泵把水喷向空中可增加水中氧气的溶解量,原因是( )
A.增大了氧气的溶解度
B.增大了空气与水的接触面积
C.增大了压强
D.降低了温度

查看答案和解析>>

同步练习册答案