相关习题
0 64665 64673 64679 64683 64689 64691 64695 64701 64703 64709 64715 64719 64721 64725 64731 64733 64739 64743 64745 64749 64751 64755 64757 64759 64760 64761 64763 64764 64765 64767 64769 64773 64775 64779 64781 64785 64791 64793 64799 64803 64805 64809 64815 64821 64823 64829 64833 64835 64841 64845 64851 64859 211419
科目:
来源:2011-2012学年湖南省株洲市茶陵县世纪星实验学校九年级(下)第四次月考化学试卷(解析版)
题型:填空题

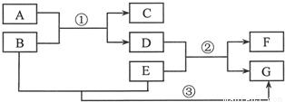
A~G表示初中化学常见的物质,它们之间的转化关系如图所示(部分生成物已略去),其中A为金属氧化物,E、F为金属单质,且F为紫红色,化学反应②和③的基本反应类型相同.
请按要求填空:
(1)物质C的化学式为
.
(2)写出反应②的一个化学方程式
.
(3)反应③的基本反应类型是
.
(4)E、F和氢由强到弱的金属活动性顺序为
.
查看答案和解析>>
科目:
来源:2011-2012学年湖南省株洲市茶陵县世纪星实验学校九年级(下)第四次月考化学试卷(解析版)
题型:解答题
(1)如图是某趣味实验装置图.挤压胶头滴管后,可观察到气球胀大的现象.其原因是______,发生的化学方程式为______.
(2)利用如图装置可做CO还原Fe
2O
3,的实验,并检验该反应生成的气体产物.已知由A装置制取的CO气体中混有少量的CO
2.

①CO与Fe
2O
3反应的化学方程式为______ 2Fe+3CO
2
查看答案和解析>>
科目:
来源:2011-2012学年湖南省株洲市茶陵县世纪星实验学校九年级(下)第四次月考化学试卷(解析版)
题型:解答题
某无色溶液可能由盐酸、氢氧化钠溶液、氯化钠溶液、碳酸钠溶液中的一种或几种混合而成.为探究其组成,小华同学进行了如下实验:
Ⅰ、取适量样品放入试管中,滴加酚酞溶液,溶液变成红色.再向试管中逐滴加入过量的氢氧化钙溶液,观察到有沉淀产生.过滤,所得滤液为红色.
(1)由实验Ⅰ中的现象可推断出样品中一定含有的物质是______(写化学式,下同),一定不含有的物质是______;
为了进一步探究样品中可能含有的物质是否存在,小华继续进行了如下实验:
Ⅱ、取适量实验Ⅰ所得的红色滤液放入试管中,滴加过量的稀硝酸,溶液变无色.再向试管中逐滴加入适量的硝酸银溶液至恰好完全反应,观察到有白色沉淀生成.过滤,所得滤液为无色.
Ⅲ、从稀硫酸、氢氧化钡溶液、氯化钡溶液、硝酸钾溶液中选择一种试剂,代替实验Ⅰ中的氢氧化钙溶液进行实验,其余的试剂及操作与实验Ⅰ的均相同.
通过实验Ⅱ和实验Ⅲ,小华得出结论:样品中可能含有的物质确实存在.
(2)实验Ⅱ所得无色滤液中,除酚酞以外,还含有的溶质为______;
(3)实验Ⅲ中代替氢氧化钙溶液的试剂是______溶液,可观察到的现象为______.
查看答案和解析>>
科目:
来源:2011-2012学年湖南省株洲市茶陵县世纪星实验学校九年级(下)第四次月考化学试卷(解析版)
题型:解答题
明矾[化学式为KAl(SO4)2?12H2O]常用作净水剂.通过计算,请回答:
(1)明矾的相对分子质量为______.
(2)不必详细计算,请判断质量分数最高的元素是______(填元素符号).
(3)所含结晶水的质量分数为______.(精确到0.01%)
查看答案和解析>>
科目:
来源:2011-2012学年湖南省株洲市茶陵县世纪星实验学校九年级(下)第四次月考化学试卷(解析版)
题型:解答题
已知氯化钠溶液和硝酸银溶液反应生成氯化银(AgCl)沉淀和硝酸钠.为测定某生理盐水的溶质质量分数,将生理盐水样品与足量的硝酸银溶液混合,有关实验数据如下表:
| 反应前 | 反应后 |
| 实验数据 | 生理盐水样品的质量 | 加入硝酸银溶液的质量 | 过滤后剩余溶液物质量 |
| 130g | 40g | 167.13g |
(1)反应后生成氯化银的质量为______g.
(2)计算该生理盐水的溶质质量分数.
查看答案和解析>>
科目:
来源:2011-2012学年重庆市全善学校九年级(下)第二次月考化学试卷(解析版)
题型:选择题
下列变化属于物理变化的是( )
A.天然气燃烧
B.用浓硫酸干燥O2
C.CO2遇到石蕊溶液变成红色
D.用生石灰制熟石灰
查看答案和解析>>
科目:
来源:2011-2012学年重庆市全善学校九年级(下)第二次月考化学试卷(解析版)
题型:选择题
下列化学方程式中属于复分解反应的是( )
A.C+O
2
CO
2B.2H
2O

2H2↑+O
2↑
C.3CO+Fe
2O
3
2Fe+3CO
2D.HCl+AgNO
3=AgCl↓+HNO
3
查看答案和解析>>
科目:
来源:2011-2012学年重庆市全善学校九年级(下)第二次月考化学试卷(解析版)
题型:选择题
下列人体体液中,酸性最强的是( )
| | A | B | C | D |
体液 | 唾液 | 血液 | 胆汁 | 胃液 |
pH范围 | 6.6-7.1 | 7.35-7.45 | 6.8-7.4 | 0.8-1.5 |
A.A
B.B
C.C
D.D
查看答案和解析>>
科目:
来源:2011-2012学年重庆市全善学校九年级(下)第二次月考化学试卷(解析版)
题型:选择题
将下列物质同时加入到水中,能大量共存且得到无色透明溶液的是( )
A.CaCl2、HCl、NaNO3
B.KOH、HCl、(NH4)2SO4
C.K2CO3、Ba(NO3)2、NaOH
D.FeCl3、NaCl、KNO3
查看答案和解析>>
科目:
来源:2011-2012学年重庆市全善学校九年级(下)第二次月考化学试卷(解析版)
题型:选择题
种植下面几种农作物对土壤pH的要求是:大豆6.0~7.0,茶5.0~5.5,玉米7.0~8.1,马铃薯4.8~5.5.如果某地区经常降酸雨,则该地区最不适合种植的农作物是( )
A.大豆
B.茶
C.玉米
D.马铃薯
查看答案和解析>>