相关习题
 0  65055  65063  65069  65073  65079  65081  65085  65091  65093  65099  65105  65109  65111  65115  65121  65123  65129  65133  65135  65139  65141  65145  65147  65149  65150  65151  65153  65154  65155  65157  65159  65163  65165  65169  65171  65175  65181  65183  65189  65193  65195  65199  65205  65211  65213  65219  65223  65225  65231  65235  65241  65249  211419 

科目: 来源:2011-2012学年江苏省盐城市东台市九年级(下)第一次段考化学试卷(解析版) 题型:解答题

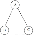
A、B、C是三种不同类别的含有氧元素的化合物,物质间相互反应的关系如图所示(图中“─”表示相连的两种物质能在溶液中发生反应).若B为纯碱,A、C间的反应为复分解反应,回答下列问题:
(1)物质A、B、C的化学式是
A______ B______  C______
(2)物质A和C在溶液中反应的化学方程式是______.
(3)纯碱是一种用途是______.

查看答案和解析>>

科目: 来源:2011-2012学年江苏省盐城市东台市九年级(下)第一次段考化学试卷(解析版) 题型:解答题

某校兴趣小组同学准备进行常见酸、碱、盐的性质实验时,发现实验台上摆放的药品中(如图),有一装溶液的试剂瓶未盖瓶盖且标签破损,于是决定对这瓶溶液进行实验探究:

【提出问题】这瓶溶液是什么溶液?
【获得信息】酸、碱、盐的性质实验中用到含有钠元素的物质是氯化钠、氢氧化钠、碳酸钠
【提出猜想】这瓶溶液是:猜想一:氯化钠溶液;猜想二:氢氧化钠溶液;
猜想三:碳酸钠溶液.
【实验推断】
(1)小丽取样滴加无酚酞试液,溶液呈红色,得出结论:该溶液不可能是______溶液,理由是______;
(2)小刚另取样滴加稀盐酸有______产生,反应的化学方程式为______,小刚得出结论:该溶液是碳酸钠溶液.
(3)小青认为小刚的结论不完全正确,理由是______.小组同学讨论后一致认为还需要进行如下实验:
【继续探究】另取样加入过量的CaCl2溶液,观察到有______产生,设计这一步骤的目的是______;静置后,取上层清液,滴入酚酞试液,溶液呈红色.
【实验结论】这瓶溶液是______.
【探究启示】实验取完药品后应______.
【拓展迁移】若该溶液与盐酸发生中和反应,恰好完全反应的微观过程如图所示,反应的实质表达式为:H++OH-=H2O,则反应后溶液中存在的阴、阳离子是______(填符号);
【继续探究】实验中加CaCl2溶液反应的实质表达式:______(用化学符号表示)

查看答案和解析>>

科目: 来源:2011-2012学年江苏省盐城市东台市九年级(下)第一次段考化学试卷(解析版) 题型:解答题

造纸是我国古代四大发明之一,它有效地推动了人类文明的发展.
(1)回收农田产生的秸秆作为造纸原料,可以减少焚烧秸秆带来的______污染.秸秆的主要成分是纤维素[(C6H105)n],纤维素中C、H、O三种元素的质量比为______(用最简整数比表示).
(2)造纸会产生大量含NaOH的碱性废水,需经处理呈中性后排放.
①检测废水呈碱性的简单方法是______.
②若某造纸厂废水中NaOH的质量分数为l.6%,现有废硫酸9.8t(H2SO4的质量分数为20%),可以处理的废水质量是多少?(计算过程写在答题卡上)

查看答案和解析>>

科目: 来源:2011-2012学年江苏省泰州市姜堰四中九年级(下)期中化学试卷(解析版) 题型:选择题

2011年11月3日,神舟八号飞船与天宫一号交会对接圆满成功,中国成为世界第三个独立掌握空间对接技术的国家.神舟八号返回舱在返回时,会与大气剧烈摩擦表面产生超过1600℃的高温,要通过烧蚀材料的燃烧把这些热量带走.此时烧蚀材料发生的变化是( )
A.融化
B.分解
C.物理变化
D.化学变化

查看答案和解析>>

科目: 来源:2011-2012学年江苏省泰州市姜堰四中九年级(下)期中化学试卷(解析版) 题型:选择题

灰霾天气是空气中细颗粒物(PM2.5)的含量增多而影响空气的能见度,它比粗颗粒物降低能见度的能力更强.下列情况能直接造成灰霾天气的是( )
A.利用清洁能源
B.随意丢弃塑料
C.随意丢弃废电池
D.焚烧垃圾

查看答案和解析>>

科目: 来源:2011-2012学年江苏省泰州市姜堰四中九年级(下)期中化学试卷(解析版) 题型:选择题

下列实验操作中错误的是( )
A.
闻气味
B.
检查气密性
C.
滴管用后不洗涤,直接插回原瓶
D.
稀释浓硫酸

查看答案和解析>>

科目: 来源:2011-2012学年江苏省泰州市姜堰四中九年级(下)期中化学试卷(解析版) 题型:选择题

最近,科学家发明了一种制作防火涂料的新工艺.该涂料是用含有淀粉的植物性废料加工成的无色糊状物.发生火灾时,这种涂在房屋楼板表面的涂料就会转变成一种黑色物质,覆盖在楼板表面,起到防火的作用.转变成的黑色物质能防火的原因是( )
A.隔绝了氧气
B.可以燃烧
C.改变了楼板的着火点
D.清除了可燃物

查看答案和解析>>

科目: 来源:2011-2012学年江苏省泰州市姜堰四中九年级(下)期中化学试卷(解析版) 题型:选择题

据有人估计目前我国每年回餐桌的“地沟油”超过200万吨,消费者饮食安全受到严重威胁.“地沟油”的主要危害物之一是黄曲霉素(化学式为C17H12O6),其毒性是砒霜的100倍,对热、酸、碱有一定的耐性.下列关于黄曲霉素的说法正确的是( )
A.高温烹调能使黄曲霉素转化为无毒物质
B.黄曲霉素的相对分子质量是312克
C.黄曲霉素是由C、H、O三种元素组成的有机物
D.黄曲霉素中C、H、O三种元素的质量比为17:12:6

查看答案和解析>>

科目: 来源:2011-2012学年江苏省泰州市姜堰四中九年级(下)期中化学试卷(解析版) 题型:选择题

小亮同学对所学部分化学知识归纳如下,其中都正确的一组是( ) 
A合金,陶瓷,橡胶属于合成材料
煤,石油,液化气属于化石燃料
B应禁止食用使人发胖的油脂,
胃酸过多的认可多喝柠檬汁
C电动自行车充电是电能转化为化学能,
电动车喷漆可以防止钢铁的锈蚀
D用汽油洗涤油污使乳化作用,
用氮气做粮食瓜果的保护气

A.A
B.B
C.C
D.D

查看答案和解析>>

科目: 来源:2011-2012学年江苏省泰州市姜堰四中九年级(下)期中化学试卷(解析版) 题型:选择题

下列物质的转变中,不能只通过一步反应实现的是( )
A.Na2CO3→NaOH
B.Fe→FeSO4
C.CaCO3→Ca(OH)2
D.CO2→O2

查看答案和解析>>

同步练习册答案