相关习题
 0  65125  65133  65139  65143  65149  65151  65155  65161  65163  65169  65175  65179  65181  65185  65191  65193  65199  65203  65205  65209  65211  65215  65217  65219  65220  65221  65223  65224  65225  65227  65229  65233  65235  65239  65241  65245  65251  65253  65259  65263  65265  65269  65275  65281  65283  65289  65293  65295  65301  65305  65311  65319  211419 

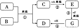
科目: 来源:《第8单元 金属和金属材料》2011年单元测试卷(金溪一中)(解析版) 题型:填空题

A~H都是初中化学常见的物质,它们的转化关系如下图所示.A、B均为黑色粉末;D、F均为红色固体,且D为单质;C能使澄清石灰水变浑浊.请回答:
(1)反应①的化学方程式为    ,所属基本反应类型为    反应.
(2)反应②所属基本反应类型为    反应.
(3)反应③的化学方程式为    ,在该反应中E表现出    性.
(4)请写出一个能实现反应④的化学方程式   

查看答案和解析>>

科目: 来源:《第8单元 金属和金属材料》2011年单元测试卷(金溪一中)(解析版) 题型:填空题

相同质量的M、N两种活泼金属,分别与足量的稀盐酸在室温下发生反应(M、N在生成物中的化合价为均为+2价),生成H2的质量m和反应时间t的关系如图所示. 
(1)金属活动顺序是M比N     (填“强”或“弱”);相对原的相对原子质量是M比N的     (填“大”或“小”).
(2)M与稀盐酸反应结束后,消耗稀盐酸中溶质的质量为     g.

查看答案和解析>>

科目: 来源:《第8单元 金属和金属材料》2011年单元测试卷(金溪一中)(解析版) 题型:解答题

某研究小组为验证铁、铜、锌、银的金属活动性顺序,设计如图所示三个实验(三种金属均已用砂纸打磨过,其形状和大小相同,稀盐酸的浓度和用量也相同).

(1)一段时间后,观察到实验B的铜片表面有银白色固体附着,且溶液由无色变为______色,这说明铜比银的金属活动性______(选填“强”或“弱”),该反应的化学方程式为______.
(2)甲同学认为通过实验A和C可比较锌和铁的金属活动性,他依据的实验现象是______.
(3)乙、丙两位同学认为仅仅通过上述实验不足以得出四种金属的活动性顺序,因此在上述实验的基础上,两人分别选用不同的金属与不同类的化合物溶液,各自补做了一个实验,装置均如图所示,且都实现了探究目的.
乙同学的实验:X是金属______,Y是______溶液;
丙同学的实验:X是金属______,Y是______溶液.

查看答案和解析>>

科目: 来源:《第8单元 金属和金属材料》2011年单元测试卷(金溪一中)(解析版) 题型:解答题

小明发现家中一枚戒指生满了铜绿,他和同学利用这枚戒指展开了研究性学习.
[查阅资料]真金在空气中不会生锈,生满铜绿的“金戒指”材质为铜锌合金;
铜长期露置在潮湿的空气中能生成铜绿,其主要成分是碱式碳酸铜,碱式碳酸铜受热易分解生成CuO、H2O和CO2
据上述资料可推知,碱式碳酸铜由______种元素组成.
[实验探究]将该枚戒指加入过量稀盐酸中,有气泡产生,溶液由无色逐渐变为蓝绿色.
(1)小明认为:气体中除了含有CO2,还可能含有少量______.实验室常用______的方法检验这种可能含有的气体.
(2)小红认为蓝绿色溶液中的溶质只有氯化锌.小华认为溶液中的溶质除了氯化锌外,
还应该含有______、______.他取适量上述蓝绿色溶液,加入光亮的铁片,观察到了现象:①______,②______,证实了自己的观点.
(3)小娟取适量新制的FeCl2溶液,加入锌粒,一段时间后,溶液颜色变浅.结合小华的实验可推知:铁、锌、铜三种金属的活动性由弱到强的顺序是______.
(4)小明想进一步探究“金戒指”中铜元素的含量,取一枚同材质的“金戒指”,称得质量为3.8g.在老师的指导下,将“金戒指”经浓硝酸氧化、碱化等步骤处理后,最终得到纯净的氧化铜,称得质量仍然为3.8g(实验过程中铜元素损失忽略不计).则“金戒指”中铜元素的质量分数是多少?(写出计算过程)

查看答案和解析>>

科目: 来源:《第8单元 金属和金属材料》2011年单元测试卷(金溪一中)(解析版) 题型:解答题

某炼铁厂用含氧化铁80%的赤铁矿冶炼生铁.若要炼出1120t含铁95%的生铁,需要含氧化铁80%的赤铁矿多少吨?(反应方程式Fe2O3+3CO2Fe+3CO2

查看答案和解析>>

科目: 来源:《第8单元 金属和金属材料》2011年单元测试卷(金溪一中)(解析版) 题型:解答题

某合金6g与足量的稀硫酸充分反应后,如果生成0.2g氢气,该合金中的元素可能是______.
A.Zn和Fe     B.Cu和Au    C.Zn和Cu     D.Mg和Al.

查看答案和解析>>

科目: 来源:《第8单元 金属和金属材料》2011年单元测试卷(金溪一中)(解析版) 题型:解答题

向只溶解有硝酸银和硝酸铜的溶液中加入一定量的铁粉,充分反应后溶液中仍有金属固体.过滤后往滤渣中加入盐酸,没有气体放出.根据上述现象,下列说法正确的是______.
A.滤渣中一定没有Fe                B.滤渣中一定有Ag和Cu
C.滤液中一定有Fe(NO32          D.滤液中一定没有AgNO3,一定有Cu(NO32

查看答案和解析>>

科目: 来源:《第8单元 金属和金属材料》2011年单元测试卷(金溪一中)(解析版) 题型:解答题

探究活动一:在室温条件下进行如图所示实验.已知:试管内的镁条和铁片表面均被打磨洁净,且形状、大小均相同;同时加入两支试管中的稀盐酸的质量和质量分数均相等.
(1)该实验的目的是______、______.
两支长颈漏斗中产生的现象的不同之处是______.
(2)若实验所用的金属均过量,则甲装置中产生的H2比乙装置中产生的H2质量______(填“多”、“少”或“相等”).
(可能用到的相对原子质量:H-1;O-16;Mg-24;Cl-35.5;Fe-56)
探究活动二:为除去铜屑中混有的少量铁屑,并测定该混合物中铁的质量分数,现有如下A、B两组实验方案.
A:称取一定质量的样品过滤、洗涤、干燥、称量所得固体质量

B:称取一定质量的样品 过滤、洗涤、干燥、称量所得固体质量
(3)两种方案,你认为不能达到目的是______(填“A”或“B”),理由是______.
(4)在你所选取的方案中,若采用加热烘干的方式干燥滤渣,会导致测定的铁的质量分数______(填“偏大”、“偏小”、“不变”或“无法判断”).

查看答案和解析>>

科目: 来源:2011-2012学年河北省张家口市尚义三中九年级(下)月考化学试卷(3月份)(解析版) 题型:选择题

下列描述物理性质的为( )
A.碘能升华
B.空气液化
C.干冰气化
D.酒精燃烧

查看答案和解析>>

科目: 来源:2011-2012学年河北省张家口市尚义三中九年级(下)月考化学试卷(3月份)(解析版) 题型:选择题

具备基本的化学实验技能是进行科学探究活动的基础和保证.下列有关实验操作错误( )
A.
倾倒液体
B.
装入固体粉末
C.
加热液体
D.
读取液体体积

查看答案和解析>>

同步练习册答案