相关习题
 0  65133  65141  65147  65151  65157  65159  65163  65169  65171  65177  65183  65187  65189  65193  65199  65201  65207  65211  65213  65217  65219  65223  65225  65227  65228  65229  65231  65232  65233  65235  65237  65241  65243  65247  65249  65253  65259  65261  65267  65271  65273  65277  65283  65289  65291  65297  65301  65303  65309  65313  65319  65327  211419 

科目: 来源:2012-2013学年湖南省怀化市芷江三中九年级(上)第一次月考化学试卷(解析版) 题型:选择题

在 AgNO3、Cu(NO32、Zn (NO32 的混合溶液中加入一些铁粉,待反应完全后过滤,不可能存在的情况是( )
A.滤纸上有Ag、Cu、Fe,滤液中有Zn2+、Fe2+
B.滤纸上有Ag、Cu,滤液中有Zn2+、Fe2+
C.滤纸上有Ag、Cu,滤液中有Cu2+、Zn2+、Fe2+
D.滤纸上有Ag、Cu,滤液中有Ag+、Zn2+、Fe2+

查看答案和解析>>

科目: 来源:2012-2013学年湖南省怀化市芷江三中九年级(上)第一次月考化学试卷(解析版) 题型:填空题

请按要求填空:
(1)请写出相应的化学符号或名称:
①2个硫原子    ;②+2价的镁元素    ;③2C1-    ;④H2O2   
(2)请从H、C、O、Na等4种元素中选择恰当的元素,组成符合下列要求的物质,并将其化学式填写在相应的空格上:
①能燃烧的固态非金属单质是   
②一种有毒的气态氧化物,可用于炼铁的是   
③三种元素组成的盐,其溶液呈碱性,还可以做洗涤剂的是   
④参与植物的光合作用,可以做农作物气体肥料的是   
⑤最简单的有机物,是天然气的主要成分   

查看答案和解析>>

科目: 来源:2012-2013学年湖南省怀化市芷江三中九年级(上)第一次月考化学试卷(解析版) 题型:解答题

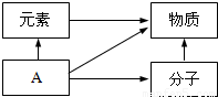
在宏观、微观和符号之间建立联系是化学学习的特点.
(1)如图中A是______.
(2)在铜、氯化钠、二氧化碳三种物质中,由分子构成的是______.
(3)葡萄糖酸钙【化学式为(C6H11O72Ca】由______种元素组成,其中碳、氢元素的质量比为______.
(4)如图为某反应的微观示意图.

①该反应中B与D的质量比是______(结果用最简整数比表示).
②对此反应的叙述正确的是______(填序号).
a.反应前后各元素化合价均未改变      b.用同种元素可以组成不同物质
c.加入催化剂可提高产物质量          d.利用此反应可减少有毒气体的排放.

查看答案和解析>>

科目: 来源:2012-2013学年湖南省怀化市芷江三中九年级(上)第一次月考化学试卷(解析版) 题型:填空题

如图为A、B两种固体物质的溶解度曲线.
(1)在    ℃时,A、B两种物质的溶解度相等.
(2)t2℃时,100g水中溶解    gA物质恰好饱和,该溶液中溶质的质量分数为    .若要把该饱和溶液稀释成质量分数为1 0%的溶液,应加水    g.
(3)t2℃时,分别将恰好饱和的A、B两种物质的溶液降温至t1℃,溶质的质量分数保持不变的是   

查看答案和解析>>

科目: 来源:2012-2013学年湖南省怀化市芷江三中九年级(上)第一次月考化学试卷(解析版) 题型:填空题

写出下列反应的化学方程式.
(1)镁粉用于制照明弹:   
(2)用锌与稀硫酸反应制取氢气:   
(3)向食盐水中加入硝酸银溶液:   

查看答案和解析>>

科目: 来源:2012-2013学年湖南省怀化市芷江三中九年级(上)第一次月考化学试卷(解析版) 题型:解答题

水是人类及一切生物生存所必需的物质,为了人类和社会经济的可持续发展,我们应该了解一些有关水的知识.请回答:
(1)如图是电解水实验装置,试管1中收集到的气体名称是______,该实验能证明水是由______组成的;
(2)2011年初,我国北方很多省份遭遇了50年不遇的旱情,致使有些地区的村民只能取到含有泥沙等不溶性固体杂质的浑浊水,面对这种饮水困难情况,请你为他们解决下列问题:
①采用______方法可分离水中难溶性固体杂质?
②采用______可证明处理后的水是硬水?
③采用______方法可降低水的硬度并同时杀菌消毒?
④如何节约用水、提高水的利用率?请给村民提两点合理化建议.

查看答案和解析>>

科目: 来源:2012-2013学年湖南省怀化市芷江三中九年级(上)第一次月考化学试卷(解析版) 题型:填空题

在学校的联欢晚会上,老师做了一个神奇的表演,向装有不同固体的试管中滴入适量不同的无色液体,产生了不同的现象.老师让同学们参与互动进行猜想:
(1)若固体为白色粉末,加液体后产生了能使澄清石灰水变浑浊的气体.则固体可能是(任写一种,下同)    ,液体可能是   
(2)若固体为白色,无气体产生,所得液体温度降低.则固体可能是    ,液体可能是   
(3)若固体为黑色粉末,加液体后有气体产生,则黑色粉末可能是   

查看答案和解析>>

科目: 来源:2012-2013学年湖南省怀化市芷江三中九年级(上)第一次月考化学试卷(解析版) 题型:解答题

人类的生产、生活离不开金属.
(1)地壳中含量最高的金属元素是______.
(2)在建筑工地露天放置的钢铁容易生锈,钢铁生锈实际是铁与空气中的______发生化学反应,所以在钢铁表面涂油、刷漆等,能防止钢铁生锈.
(3)工业生产中常用10%的稀盐酸来除铁制品表面的铁锈,实验室若要配制该盐酸200g,则需用量筒量取溶质质量分数为38%的浓盐酸(密度为1.19g/mL)______ mL(计算结果保留至0.1);实验室在配制10%的稀盐酸的过程中,除了用到量筒、胶头滴管外,还需要用到的仪器有______.

查看答案和解析>>

科目: 来源:2012-2013学年湖南省怀化市芷江三中九年级(上)第一次月考化学试卷(解析版) 题型:解答题

如图是实验室制取气体的常用装置.
(1)仪器①的名称是______,②的名称______.
(2)用高锰酸钾制取氧气的化学方程式为______ K2MnO4+MnO2+O2

查看答案和解析>>

科目: 来源:2012-2013学年湖南省怀化市芷江三中九年级(上)第一次月考化学试卷(解析版) 题型:解答题

某化学兴趣小组的同学为了探究Mg、Cu、Fe的金属活动性顺序开展了一下以下探究活动.
(1)进行试验,获得结论.完成如下实验报告,并回答有关问题.
实验方案实验现象实验结论


将Fe丝浸入CuSO4溶液中Fe丝表面有红色物质析出金属活动性:Fe______Cu(填“>”或“<”)该反应的反应类型属于______反应.


将Mg和Cu分别在空气中灼烧发现______(填元素符号)能剧烈燃烧,而另一种不能金属活动性:Mg______Cu(填“>”或“<”)



分别将Mg和Fe放入______(一种酸)溶液中,观察现象观察到______(填元素符号)产生气泡的速度较慢金属活动性顺序:Mg>Fe
(2)反思与交流.经过讨论,该小组同学一致认为:比较金属与酸反应产生氢气的快慢,有两种测定方法:
方法一是在相同时间内测量氢气体积的大小.若用右图所示装置测量,则接口c应与______(填“a”或“b”)相连.
方法二是测定产生相同体积氢气时______.

查看答案和解析>>

同步练习册答案