相关习题
 0  65415  65423  65429  65433  65439  65441  65445  65451  65453  65459  65465  65469  65471  65475  65481  65483  65489  65493  65495  65499  65501  65505  65507  65509  65510  65511  65513  65514  65515  65517  65519  65523  65525  65529  65531  65535  65541  65543  65549  65553  65555  65559  65565  65571  65573  65579  65583  65585  65591  65595  65601  65609  211419 

科目: 来源:2007-2008学年黑龙江省大庆油田教育中心九年级(下)期末化学试卷(2)(解析版) 题型:填空题

用适当的数字和符号填空:
(1)水银     ,(2)3个铵根离子     ,(3) 3个五氧化二磷分子     ,(4)氧化铜中铜元素的化合价为+2价     ,(5)碘酒中溶质的化学式    

查看答案和解析>>

科目: 来源:2007-2008学年黑龙江省大庆油田教育中心九年级(下)期末化学试卷(2)(解析版) 题型:填空题

化学就在我们身边,它能改善我们的生活,请从“A、氧气B、氮气C、生石灰D、熟石灰E、食醋F、干冰G、不锈钢H、天然气”中选择适当的物质填空(填编号)
(1)抢救危重病人常用的物质   
(2)可作燃料的是   
(3)常用作袋装食品干燥剂的是   
(4)厨房调味品中pH小于7的是   
(5)用于人工降雨的是   
(6)用于制造刀具的是   

查看答案和解析>>

科目: 来源:2007-2008学年黑龙江省大庆油田教育中心九年级(下)期末化学试卷(2)(解析版) 题型:填空题

现有“H、O、C、Cl、Na”五种元素,请选用其中一种或几种元素填写符合下列要求的化学式(各写一个)
(1)汽水中常含有的酸    
(2)可用于制肥皂的碱    
(3)炒菜用的盐    
(4)相对分子质量最小的氧化物    

查看答案和解析>>

科目: 来源:2007-2008学年黑龙江省大庆油田教育中心九年级(下)期末化学试卷(2)(解析版) 题型:填空题

按要求写出化学方程式,并在括号内注明反应的基本类型:
(1)镁条在空气中燃烧    (化合反应)
(2)向过氧化氢溶液中加入硫酸铜溶液    (分解反应)
(3)将铜丝伸入硝酸银溶液    (置换反应)
(4)用稀硫酸除去铁锈    (复分解反应)

查看答案和解析>>

科目: 来源:2007-2008学年黑龙江省大庆油田教育中心九年级(下)期末化学试卷(2)(解析版) 题型:填空题

漂白粉是一种常用的净水剂,它的工业制法是将氯气通入石灰乳中,生成氯化钙、次氯酸钙[Ca(ClO)2]和一种常见的氧化物,写出该反应的化学方程式   

查看答案和解析>>

科目: 来源:2007-2008学年黑龙江省大庆油田教育中心九年级(下)期末化学试卷(2)(解析版) 题型:填空题

如图所示:甲、乙两种固体物质的溶解度曲线,请回答:

(1)将30℃时等质量的甲、乙饱和溶液分别降到10℃时,析出溶质最多的是   
(2)t    ℃时,甲的溶解度大于乙的溶解度;
(3)30℃时,甲的饱和溶液中溶质、溶剂和溶液的质量比为   

查看答案和解析>>

科目: 来源:2007-2008学年黑龙江省大庆油田教育中心九年级(下)期末化学试卷(2)(解析版) 题型:解答题

A、B、C、D四种元素,A元素的原子核内无中子,B元素的一种单质是自然界最硬的物质,C元素是地壳中最多的元素,D元素的原子失去一个电子后电子层结构与氖原子完全相同,则A元素的名称 ______,B元素的符号 ______,D元素的离子符号 ______,A、C、D三种元素组成的化合物的化学式 ______.

查看答案和解析>>

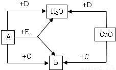
科目: 来源:2007-2008学年黑龙江省大庆油田教育中心九年级(下)期末化学试卷(2)(解析版) 题型:解答题

A、B、C、D、E是初中化学中常见的5种无色气体,其中2种是单质,3种是化合物.它们之间的转化关系如下图所示.

请写出你的推断结果:
(1)A______,B______,D______,E______.
(2)写出CuO和C反应生成B的化学方程式______ Cu+CO2

查看答案和解析>>

科目: 来源:2007-2008学年黑龙江省大庆油田教育中心九年级(下)期末化学试卷(2)(解析版) 题型:解答题

下图形象地表示了在加热、催化剂条件下,某化学反应前后反应物与生成物分子及其数目的变化,其表示硫原子,○表示氧原子,则该反应的化学方程式为______△2SO3

查看答案和解析>>

科目: 来源:2007-2008学年黑龙江省大庆油田教育中心九年级(下)期末化学试卷(2)(解析版) 题型:解答题

化学兴趣学习小组的同学采集了三种植物的花瓣,将它们分别放在研钵中研磨,加入酒精充分浸泡后过滤,得到了三种溶液,将三种溶液分别滴加到下列液体中,得到以下信息:
花的种类所制成的溶液颜色在有关试剂中呈现的颜色
白醋蒸馏水石灰水
玫瑰粉红色红色粉红色绿色
黄菊黄色黄色黄色黄色
雏菊无色无色无色黄色
试回答:(1)如果用所制得的溶液检验花盆中土壤的酸碱性,你会建议选择______
花的酒精溶液来作酸碱指示剂;在玫瑰花汁中加入某溶液后呈现红色,说明该溶液显______性.
(2)如果得知花盆中的土壤显酸性,不适合花卉的生长,你会建议选择上表中的______来进行改良.

查看答案和解析>>

同步练习册答案