相关习题
 0  65498  65506  65512  65516  65522  65524  65528  65534  65536  65542  65548  65552  65554  65558  65564  65566  65572  65576  65578  65582  65584  65588  65590  65592  65593  65594  65596  65597  65598  65600  65602  65606  65608  65612  65614  65618  65624  65626  65632  65636  65638  65642  65648  65654  65656  65662  65666  65668  65674  65678  65684  65692  211419 

科目: 来源:2009-2010学年江苏省泰州市姜堰市九年级(下)期中化学试卷(解析版) 题型:填空题

如图标出的是有关热水瓶的组成物质,请回答下列问题.
(1)所标物质中为金属材料的是   
(写一种即可),为有机合成材料的是   
(2)使用几天后,瓶胆内壁有水垢出现,这是因为水的硬度较大的缘故.请你写出鉴别硬水与软水的方法:   
(3)可用厨房中的一种常用物质(写名称)    除去瓶胆内壁的水垢(水垢的主要成分是CaCO3).
(4)生活中人们是把水煮沸了饮用的,你觉得这样做的作用是(写两点)
       

查看答案和解析>>

科目: 来源:2009-2010学年江苏省泰州市姜堰市九年级(下)期中化学试卷(解析版) 题型:填空题

如图是某厂家生产的熟黑芝麻包装袋上的部分说明,其中能提供能量的物质有        (填写两种即可);还缺少的一种营养素是    ;补充铁元素可以预防    .一般在人体内不能合成,要从食物中获得的一类营养素是   
品名:熟黑芝麻
包装材料:OPP、CPP
营养成分:(100g)
糖类≥15g
磷≥350mg
铁≥12mg
脂肪≥52g
蛋白质≥20g
钙≥1.5g
维生素E≥30mg

查看答案和解析>>

科目: 来源:2009-2010学年江苏省泰州市姜堰市九年级(下)期中化学试卷(解析版) 题型:填空题

某粒子的结构示意图为:该粒子可用符号    表示,它与镁离子形成化合物的化学式为   

查看答案和解析>>

科目: 来源:2009-2010学年江苏省泰州市姜堰市九年级(下)期中化学试卷(解析版) 题型:填空题

化学世界千变万化,请写出下列反应的化学方程式:
(1)测定空气中氧气含量时产生白烟的反应    
(2)实验室加热一种固体制取氧气    
(3)光合作用    
(4)不能用铁桶配制波尔多液的原因    

查看答案和解析>>

科目: 来源:2009-2010学年江苏省泰州市姜堰市九年级(下)期中化学试卷(解析版) 题型:填空题

在成都市公交车燃烧事故的原因调查中,多项证据显示,有人携带汽油上车.
(1)当空气中悬浮着一定量的汽油时,一个小火星就足以使其燃烧,这说明汽油的着火点较    (选填“高”或“低”);汽油主要成分的化学式为C8H18,完全燃烧时生成二氧化碳和水,写出反应的化学方程式   
(2)加油站必备的消防用品之一是沙子,用沙子灭火的原理是   
(3)乘坐汽车、火车等公共交通工具时,下列物品禁止携带的是    (填序号,可多选,下同).
A.鞭炮;B.瓶装饮料;C.书刊杂志;D.酒精
(4)这次事故引发了人们对公共交通消防安全问题的讨论,下列观点合理的是   
A.公交车上要配备消防器材;
B.公交车上坐椅用阻燃材料制成
C.对司乘人员进行消防安全知识培训.

查看答案和解析>>

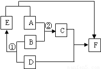
科目: 来源:2009-2010学年江苏省泰州市姜堰市九年级(下)期中化学试卷(解析版) 题型:填空题

A、D均为黑色固体(D为常见金属),B为胃酸的主要成分,C为蓝色溶液,D、E、F均为单质.右图为这些物质的转化关系,其中部分反应物、生成物、反应条件已省略.
(1)请写出下列物质的化学式:E    ,F   
(2)反应①除了生成E,另一生成物中的阳离子为    ,该反应的基本类型是   
(3)写出反应②的化学方程式   

查看答案和解析>>

科目: 来源:2009-2010学年江苏省泰州市姜堰市九年级(下)期中化学试卷(解析版) 题型:解答题

用所学知识解决实际问题:
在实验操作考试中,同学们用到HCl、Na2CO3、NaOH、Ba(NO32等溶液.实验结束时,老师指出,废液一定要进行无害化处理,尽量实现绿色排放.如何处理废液缸里的废液?同学们进行了讨论和试验:
①小明认为如果废液呈酸性或碱性,会腐蚀管道、污染水源.他取废液缸里的废液于试管中,观察到废液呈白色浑浊状态,用pH试纸测得废液的pH=9,此时废液显______性.
于是,小明向试管中加入稀盐酸,边加边测试,直到pH=7,同时观察到沉淀逐渐溶解.小明觉得废液经过如上处理后可以放心倒掉.这个实验过程中可能发生了多个复分解反应,其相关的化学方程式是(任写一个)______.
②小亮认为,小明的方案不完善,因为小明对废液中含有的Ba2+没有处理,而Ba2+是重金属离子,会造成更严重的污染.小亮采用了另外一种方案:他另取废液缸里的废液于试管中,向试管中加入______,直至废液pH=7,且沉淀不再增加.他觉得废液这样处理后才可以倒掉.
③老师肯定了小亮的方案,因为他考虑得更全面.小亮方案的优点在于______.

查看答案和解析>>

科目: 来源:2009-2010学年江苏省泰州市姜堰市九年级(下)期中化学试卷(解析版) 题型:解答题

小林仔细阅读加碘食盐(食盐中加入了碘酸钾)包装袋上的说明,提出问题与同学讨论并进行实验探究.
问题一:食盐加碘可以有效地预防______.
问题二:食盐是比较稳定的,而说明中强调“防热”是否因为受热会造成碘的损失?
[实验一]探究温度对碘损失率的影响
老师指导他们将一定浓度的碘酸钾溶液分成5等份,于不同温度下加热十分钟后,用硫代硫酸钠标准溶液测定碘酸钾浓度,计算碘损失率并记录如下:
温度30℃水浴50℃水浴80℃水浴100℃水浴煮沸
碘损失率(%)0.30.6715.56
分析上表可得出的结论是______.
实验后,小林建议妈妈烧菜时最好是菜出锅前再放碘盐.
问题三:烧菜时加醋对碘的损失率是否也有影响?
[实验二]探究酸碱性对碘损失率的影响
(1)此组对照实验,要控制在碘酸钾溶液的浓度和质量、加热的______和______均相同,溶液的______不同的条件下进行.
(2)实验中需要调节溶液的酸碱性,下列物质不能选用的是______(填序号).
A.氢氧化钠B.纯碱粉末C.食盐晶体D.食醋.

查看答案和解析>>

科目: 来源:2009-2010学年江苏省泰州市姜堰市九年级(下)期中化学试卷(解析版) 题型:解答题

类比法是化学研究物质的重要方法之一.草酸的化学性质与碳酸相似.已知碳酸易分解,草酸在受热条件下也分解,仅生成三种氧化物.某校研究性学习小组对此展开探究:

(1)小明首先根据草酸中含有______元素,可推测生成物中含有水.
(2)小明对分解生成的其他产物进行猜测、验证:
[假设一]生成物中有二氧化碳
实验一:将生成的气体通入澄清的石灰水,实验现象是______,小明据此判断生成物中含有二氧化碳.
[假设二]生成物中有一氧化碳
实验二:小明用如图装置进行实验,从而证明生成物中含有一氧化碳.
请回答:A装置中红色固体粉末是______(填化学式),A装置中的实验现象是______.
(3)讨论交流:
小芳认为,小明的“实验二”不需要B装置也能够推断出生成物中含有一氧化碳,是否支持小芳的观点:______(填“支持”或“不支持”),请说出你的理由______.
小芳认为,从环保的角度看,“实验二”装置有一个缺陷,请你指出该缺陷______,处理的方法是______.

查看答案和解析>>

科目: 来源:2009-2010学年江苏省泰州市姜堰市九年级(下)期中化学试卷(解析版) 题型:解答题

家庭食用面碱(主要成分为Na2CO3)中往往混有少量NaCl.李童同学为测定食用面碱中碳酸钠的含量,设计并进行了以下实验:
①称取面碱样品3.4g于烧杯中,加入20mL水,搅拌至样品全部溶解;
②向其中加入足量的CaCl2溶液,至不再生成沉淀为止;
③过滤并将所得沉淀干燥后,称得质量为3.0g(不考虑操作中的质量损失).
请计算:食用面碱中Na2CO3的质量分数是多少?(精确到0.1%)

查看答案和解析>>

同步练习册答案