相关习题
 0  65558  65566  65572  65576  65582  65584  65588  65594  65596  65602  65608  65612  65614  65618  65624  65626  65632  65636  65638  65642  65644  65648  65650  65652  65653  65654  65656  65657  65658  65660  65662  65666  65668  65672  65674  65678  65684  65686  65692  65696  65698  65702  65708  65714  65716  65722  65726  65728  65734  65738  65744  65752  211419 

科目: 来源:2010-2011学年江苏省无锡市江阴市九年级(下)期中化学试卷(解析版) 题型:填空题

如图,是a、b、c三种物质的溶解度曲线,a与c的溶解度曲线相交于P点.据图回答:
(1)P点的含义是   
(2)t2℃时,将30克的a物质加入50克水中充分溶解,所得溶液的溶质质量分数是   
(3)若要使C的饱和溶液转变为不饱和溶液,可采用        方法.
(4)将t1℃时a、b、c三种物质饱和溶液的温度升高到t2℃时,三种溶液的溶质质量分数大小关系是    (填写选项字母).
A.c>a=b;  B.a=b>c   C.a>b>c;   D.b>a>c.

查看答案和解析>>

科目: 来源:2010-2011学年江苏省无锡市江阴市九年级(下)期中化学试卷(解析版) 题型:解答题

现有A、B、C、D四种元素,A元素组成的一种单质是自然界中最硬的物质,B元素是生物体内含量最多的元素,C元素的阳离子C+是酸溶液中都含有的离子,D元素的原子有三个电子层,第一层和第三层的电子数之和与第二层的电子数相等.试回答:
(1)A元素的这种单质的名称______;(2)B元素的离子符号______;
(3)C元素的名称或符号为______;(4)B、C、D组成的物质的化学式______.

查看答案和解析>>

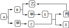
科目: 来源:2010-2011学年江苏省无锡市江阴市九年级(下)期中化学试卷(解析版) 题型:解答题

如图是初中化学中常见物质间的转化关系,其中甲、乙、丙为单质;A、B、C、D、E为化合物.已知C、丙均为黑色粉末,且A与B的组成元素相同,D与E的组成元素也相同.其余反应条件、部分反应物和生成物均已略去.试推断:
(1)写出下列物质的化学式.D:______乙:______.
(2)写出下列化学方程式:
B→甲+乙:______ 2H2↑+O2

查看答案和解析>>

科目: 来源:2010-2011学年江苏省无锡市江阴市九年级(下)期中化学试卷(解析版) 题型:解答题

请回答下列问题:(在下列(1)(2)两小题)中任选一小题回答,若两小题都回答,则以第(1)小题的答案评定分数.)
(1)如何区分澄清石灰水和食盐水,请写出方法,现象和结论.______
(2)塑料的广泛使用,导致了“白色污染”的泛滥,如何控制“白色污染”?说出两点措施.______.

查看答案和解析>>

科目: 来源:2010-2011学年江苏省无锡市江阴市九年级(下)期中化学试卷(解析版) 题型:解答题

如图所示为实验室常用的制取气体的实验装置,据此回答下列问题:

(1)写出带标号仪器的名称:①______②______
(2)实验室通常用氯酸钾制取氧气,该反应的化学方程式为______△2KCl+3O2

查看答案和解析>>

科目: 来源:2010-2011学年江苏省无锡市江阴市九年级(下)期中化学试卷(解析版) 题型:解答题

小芳同学从超市购买了一瓶维生素C泡腾片.下图是维生素C泡腾片标签上的部分内容:
维生素C泡腾片
功能:补充人体维生素C,增强机体抵抗力
主要成分:维生素C,
辅料成分:碳酸氢钠、氯化钠、酒石酸晶体、蔗糖、糖精钠、阿朴胡萝卜醛、橘味香精、橙味香精、维生素B1
贮藏:低温、避光、防潮
小芳同学根据使用说明将维生素C泡腾片放入一杯水中,发现维生素C泡腾片逐渐溶解,产生大量气泡,片刻后变成为一杯鲜甜的橙味饮品.小芳同学感到很好奇,产生的气泡是什么?请参与小芳同学的探究:
我的猜想我的实验方案
气泡的成分是
______
实验步骤实验现象我的结论
__________________

查看答案和解析>>

科目: 来源:2010-2011学年江苏省无锡市江阴市九年级(下)期中化学试卷(解析版) 题型:解答题

镁将成为21世纪重要的轻型环保材料,我国含有非常丰富的镁资源.
(1)占地球表面积70%的海洋是天然的镁元素宝库,从海水中提取镁的流程如下:
海水中的MgCl2Mg(OH)2MgCl2?6H2OMgCl2Mg.
①在实验室进行过滤操作时需要用到玻璃棒,其作用是______
②电解熔融氯化镁的过程中,______能转化为______能.
(2)①金属镁是一种较活泼金属,在二氧化碳气体中也能燃烧.燃烧的化学方程式为2Mg+CO2C+2MgO,此反应类型属于______
A.分解反应    B.化合反应    C.置换反应    D.复分解反应
②金属镁在高温下与氮气反应生成氮化镁,在氮化镁中氮元素的化合价为-3.据此写出氮化镁的化学式______.
(3)老师每次做有关镁的实验时都会强调:镁是一种银白色有金属光泽的金属.但拿出的镁条总是有一层灰黑色的“外衣“,这层灰黑色的外衣是什么物质呢?
猜想:小明认为可能是MgO;小赵认为可能是Mg2(OH)2CO3;小花认为可能是Mg(OH)2.小赵认为小明的猜想是错误的,其理由是______.
实验探究:小赵按如图所示装置进行实验,发现试管口有液滴出现,澄清石灰水变浑浊,同时试管内生成白色固体.
实验分析:实验后,小赵认为小花的猜测也是错误的,其理由______.
查阅资料得出结论:Mg(OH)2和Mg2(OH)2CO3都可以加热分解,产物均为氧化物,据此请你写出Mg2(OH)2CO3加热分解的化学方程式______ 2MgO+H2O+CO2

查看答案和解析>>

科目: 来源:2010-2011学年江苏省无锡市江阴市九年级(下)期中化学试卷(解析版) 题型:解答题

苯甲酸及其钠盐是应用很广的化学防腐剂,在酸性环境下能抑制微生物生长.苯甲酸的化学式为C7H6O2.请回答下列问题:
(1)苯甲酸的相对分子质量为______;
(2)苯甲酸中碳、氢、氧三种元素的质量比为______;
(3)______g水与61g苯甲酸中所含氢元素质量相等.

查看答案和解析>>

科目: 来源:2010-2011学年江苏省无锡市江阴市九年级(下)期中化学试卷(解析版) 题型:解答题

刘明用石灰石(杂质不与酸反应,也不溶于水)和稀盐酸反应制取二氧化碳,在准备将反应后的废液倒进废液缸时,发现实验桌上有一瓶未知质量分数的Na2CO3溶液,他决定利用该废液,测定Na2CO3溶液中溶质的质量分数.他将废液过滤,然后向废液中慢慢滴加Na2CO3溶液,加入Na2CO3溶液的质量与生成沉淀质量的关系如下图所示.
(1)在加入Na2CO3溶液的过程中,开始时没有生成沉淀,说明滤液中的溶质除含有CaCl2外,还含有______;
(2)计算Na2CO3溶液中溶质的质量分数.(计算结果精确到0.1%)______
(3)完全反应后溶液中溶质的质量.______.

查看答案和解析>>

科目: 来源:《8.1 金属材料》习题精选(1)(解析版) 题型:选择题

金属钛(Ti)是航空、宇航、军工、电子等方面的必需原料.在生产钛的过程中可用镁在高温的条件下与四氯化钛反应,反应的化学方程式为TiCl4+2MgTi+2MgCL2;该反应属于( )
A.化合反应
B.分解反应
C.置换反应
D.复分解反应

查看答案和解析>>

同步练习册答案