相关习题
 0  65614  65622  65628  65632  65638  65640  65644  65650  65652  65658  65664  65668  65670  65674  65680  65682  65688  65692  65694  65698  65700  65704  65706  65708  65709  65710  65712  65713  65714  65716  65718  65722  65724  65728  65730  65734  65740  65742  65748  65752  65754  65758  65764  65770  65772  65778  65782  65784  65790  65794  65800  65808  211419 

科目: 来源:2010-2011学年江西省抚州市乐安县九年级(下)期中化学试卷(解析版) 题型:填空题

实验室欲取氯化钠固体配制20%的氯化钠溶液,必须用到的仪器是   
A.试管     B.酒精灯     C.量筒      D.   

查看答案和解析>>

科目: 来源:2010-2011学年江西省抚州市乐安县九年级(下)期中化学试卷(解析版) 题型:填空题

比较镁和银的金属活动性强弱,可选用的试剂是   
A.稀盐酸    B.氢氧化钠溶液    C.氯化镁溶液    D.   

查看答案和解析>>

科目: 来源:2010-2011学年江西省抚州市乐安县九年级(下)期中化学试卷(解析版) 题型:填空题

用化学用语填空:
(1)空气中含量最多的气体    ;(2)烧碱   
(3)5个镁离子       (4)氯化铁中铁元素的化合价   

查看答案和解析>>

科目: 来源:2010-2011学年江西省抚州市乐安县九年级(下)期中化学试卷(解析版) 题型:填空题

某元素的原子结构示意图如图,该元素原子核内有    个质子,最外电子层上有    个电子.

查看答案和解析>>

科目: 来源:2010-2011学年江西省抚州市乐安县九年级(下)期中化学试卷(解析版) 题型:填空题

打火机给人们的生活带来了方便,右图为普通打火机的示意图,请根据图回答下列问题:
(1)属于单质的是    (选填一种物质的编号,下同),属于有机物的是   
(2)打火机挡风罩上通风孔的作用是使空气流通,据此说明燃烧需要的条件之一是   
(3)打火机中的燃料是丁烷(C4H10),写出丁烷燃烧的化学方程式:   
(4)打火机偶然未打着火时会闻到一股异味,说明分子具有    的性质.

查看答案和解析>>

科目: 来源:2010-2011学年江西省抚州市乐安县九年级(下)期中化学试卷(解析版) 题型:填空题

如图是a、b两种固体物质的溶解度曲线图,
(1)从图中可以得到下列信息(写2点):
①t℃时a、b两种物质的溶解度相等,都约是    g;
   
(2)20℃时,在a的饱和溶液中仍有少量未溶解的a固体,要使这少量未溶解的a固体完全溶解,可采取的措施是   
(3)30℃时,将10g a物质放入100g水中,充分溶解后所得的溶液是    (选填“饱和”或“不饱和”)溶液.a的溶液中混有少量的b,若要提纯a,最好用    法.

查看答案和解析>>

科目: 来源:2010-2011学年江西省抚州市乐安县九年级(下)期中化学试卷(解析版) 题型:填空题

人的胃壁细胞能产生胃液,胃液中的少量盐酸可以帮助消化,但胃酸过多会导致消化不良,患有胃酸过多症的病人常服用抗酸性药物以减轻病痛.若抗酸性药物的主要成分有氢氧化镁和碳酸氢钠,请回答:
(1)写出抗酸药物发挥功效时的化学反应方程式(任选一例即可):
    .该反应的基本反应类型属于    反应.
(2)抗酸药一般要嚼碎后服用,其中的道理是:   

查看答案和解析>>

科目: 来源:2010-2011学年江西省抚州市乐安县九年级(下)期中化学试卷(解析版) 题型:填空题

如图是“特仑苏牛奶”和“可口可乐”两种饮料的营养成分表,请回答:
特仑苏牛奶
营养成分:
每100g内含             
蛋白质        约3.3g   
脂肪          约3.3g    
糖类          约4.5g   
 钙            约100mg   
可口可乐
营养成分:
每100mL内含         
蛋白质          0g  
脂肪            0g   
糖类         约9.0g 
(1)“特仑苏牛奶”中含有的营养素有    类.
(2)若蛋白质、糖类、油脂完全氧化平均放出的热量分别为:18kJ/g、15.6kJ/g、39.3kJ/g.则100mL“可口可乐”在人体中释放的热量约为    kJ.
(3)牛奶中含有人体需要的钙元素,下列有关钙元素的叙述正确的是    (填序号).
①人体中钙元素大部分存在骨骼和牙齿中  ②幼儿及青少年缺钙易患“大脖子病”
③老年人缺钙会引起骨质疏松,容易骨折  ④成年人比幼儿和青少年需要摄入更多的钙.

查看答案和解析>>

科目: 来源:2010-2011学年江西省抚州市乐安县九年级(下)期中化学试卷(解析版) 题型:填空题

如图所示,试管中盛有无色液体A,气球中装有固体B,将气球中的固体B倒人液体A中,观察到有无色气泡产生,且气球胀大.
(1)若B是锌粉,则A中液体能使紫色石蕊试液显    色.
(2)若A为过氧化氢溶液,则B可能是    (写化学式);
过氧化氢的相对分子质量是    ,过氧化氢溶液的质量为6g,完全反应后放出0.16g气体,则溶液中含过氧化氢的量为    g,该过氧化氢溶液的溶质质量分数是   

查看答案和解析>>

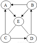
科目: 来源:2010-2011学年江西省抚州市乐安县九年级(下)期中化学试卷(解析版) 题型:填空题

A~E都是初中化学中的常见物质,且有如图所示转化关系(反应条件、其他生成物均已略去),图中“-”表示两端的物质能发生化学反应;“→”表示物质间存在转化关系.
已知A、B、C、D、E均为化合物,其中E为造成温室效应的主要气体,A、B同属于盐,C、D同属于碱.回答下列问题:
(1)写出下列物质的化学式:E    、A   
(2)写出下列反应方程式:D+E:    ;C转化为D:   

查看答案和解析>>

同步练习册答案