相关习题
0 66155 66163 66169 66173 66179 66181 66185 66191 66193 66199 66205 66209 66211 66215 66221 66223 66229 66233 66235 66239 66241 66245 66247 66249 66250 66251 66253 66254 66255 66257 66259 66263 66265 66269 66271 66275 66281 66283 66289 66293 66295 66299 66305 66311 66313 66319 66323 66325 66331 66335 66341 66349 211419
科目:
来源:2009-2010学年黑龙江省大庆油田教育中心九年级(下)期末化学试卷(解析版)
题型:选择题
为解决日益加剧的温室效应等问题,科学家正在研究建立如下图所示的二氧化碳新循环体系:

上述关系图能反映的化学观点或化学思想有( )
①化学变化中元素种类是守恒的;
②燃烧时化学能可以转化为热能和光能;
③化学能可以转化为机械能;
④光能或电能可以转化为化学能;
⑤无机物和有机物可以相互转化;
⑥二氧化碳也是一种重要的资源.
A.①②③
B.①②③④⑤
C.①④⑤⑥
D.①②③④⑤⑥
查看答案和解析>>
科目:
来源:2009-2010学年黑龙江省大庆油田教育中心九年级(下)期末化学试卷(解析版)
题型:选择题
CO和O2的混合气体48g,在一定条件下充分反应后,生成44g CO2,则原混合气体中CO和O2的质量比可能是( )
A.2:1
B.7:4
C.7:5
D.7:8
查看答案和解析>>
科目:
来源:2009-2010学年黑龙江省大庆油田教育中心九年级(下)期末化学试卷(解析版)
题型:选择题
一定质量的某含碳化合物在空气中完全燃烧后,生成4.4g二氧化碳和3.6g水,则该化合物可能是( )
A.CH4
B.C3H6
C.C2H5OH
D.CH3OH
查看答案和解析>>
科目:
来源:2009-2010学年黑龙江省大庆油田教育中心九年级(下)期末化学试卷(解析版)
题型:选择题
密闭容器内有A、B、C、D四种物质,在一定条件下充分反应,测得反应前后各物质的质量如下:
| 物 质 | A | B | C | D |
| 反应前质量/g | 19.7 | 8.7 | 31.6 | O.4 |
| 反应后质量/g | 待测 | 17.4 | 0 | 3.6 |
下列说法正确的是( )
A.物质C一定是化合物,物质D可能是单质
B.反应后密闭容器中A的质量为19.7g
C.反应过程中,物质B与物质D变化的质量比为87:36
D.若A与C的相对分子质量比为197:158,则反应中A与C的化学计量数比为1:2
查看答案和解析>>
科目:
来源:2009-2010学年黑龙江省大庆油田教育中心九年级(下)期末化学试卷(解析版)
题型:填空题
请用化学用语表示:3个氮气分子 ;4个铵根离子 ;氧化铝中铝的化合价为+3价
查看答案和解析>>
科目:
来源:2009-2010学年黑龙江省大庆油田教育中心九年级(下)期末化学试卷(解析版)
题型:填空题
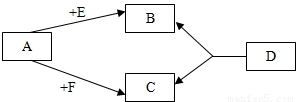
已知A、E、F是单质,B、C、D是化合物,它们分别是由碳、氢、氧三种元素中的一种或者几种组成.其中B是相对分子质量最小的氧化物,D物质很不稳定,容易分解生成B和C,它们之间的转化关系如图所示.
(1)则A、E的化学式为A
,E
(2)请你写出以下变化的化学方程式:
A+F→C
;
D→B+C
.

查看答案和解析>>
科目:
来源:2009-2010学年黑龙江省大庆油田教育中心九年级(下)期末化学试卷(解析版)
题型:填空题

常温下NO是一种无色、难溶于水的气体,密度比空气略大,在空气中能与氧气迅速反应生成红棕色的NO
2气体.为了收集纯净的NO气体,利用右图所示仪器Ⅰ、Ⅱ,用胶管将
(填导管口字母)与c相连组成收集装置.收集时,应先在Ⅰ中
.
查看答案和解析>>
科目:
来源:2009-2010学年黑龙江省大庆油田教育中心九年级(下)期末化学试卷(解析版)
题型:填空题
请按CH4、NH3、H2O、HF、HCl排列顺序,列出五种物质之间存在的规律: 、 .这五种物质中除 (填化学式)外,各分子所含核外电子总数均为 个.
查看答案和解析>>
科目:
来源:2009-2010学年黑龙江省大庆油田教育中心九年级(下)期末化学试卷(解析版)
题型:填空题
点燃条件下,A和B反应生成C和D.反应前后分子种类变化的微观示意图如下:

(1)1个A分子中含有
个原子.这四种物质中,属于氧化物的是
(填图中字母).
(2)C中氧元素和碳元素的质量比为
(结果用最简整数比表示).在该反应中,生成的C和D的质量比为
(结果用最简整数比表示).
(3)A是三大化石燃料中的一种,另外两种分别是
.
查看答案和解析>>
科目:
来源:2009-2010学年黑龙江省大庆油田教育中心九年级(下)期末化学试卷(解析版)
题型:填空题
生活中处处有化学,请根据所学化学知识填写下列空白:
(1)碘盐、含氟牙膏、高钙牛奶等物质中的“碘、氟、钙”是指 .
(2)某市区家用燃气已由煤气(主要成分是CO和H2)更换为天然气,写出它们燃烧的3个化学方程式 ; ;
.在相同温度和压强下,气体分子数与其体积成正比.燃烧煤气的灶具如需改烧天然气,灶具的改进方法是 进风口(填“增大”或“减小”),如不作改进可能产生的不良结果是 .
查看答案和解析>>