相关习题
 0  66305  66313  66319  66323  66329  66331  66335  66341  66343  66349  66355  66359  66361  66365  66371  66373  66379  66383  66385  66389  66391  66395  66397  66399  66400  66401  66403  66404  66405  66407  66409  66413  66415  66419  66421  66425  66431  66433  66439  66443  66445  66449  66455  66461  66463  66469  66473  66475  66481  66485  66491  66499  211419 

科目: 来源:2009-2010学年重庆市南开中学九年级(下)期末化学试卷(解析版) 题型:选择题

将等质量的镁、铁、锌,分别放入三份溶质质量分数相同的稀盐酸中,反应生成的H2质量与反应时间的关系如图所示.根据图中的信息,作出的判断不正确的是( )

A.图线x表示镁的反应情况
B.铁消耗的稀盐酸质量最大
C.镁、锌一定过量,铁可能反应完
D.镁一定过量,锌、铁可能反应完

查看答案和解析>>

科目: 来源:2009-2010学年重庆市南开中学九年级(下)期末化学试卷(解析版) 题型:填空题

化学用语填空:
①二个钡离子     ,②二个碳酸根离子    
③二氧化氮中氮元素显+4价     ,④氦气    
⑤常用于体温计中的液态金属     ,⑥常用于治疗胃酸过多的碱    
⑦能形成硫酸型酸雨的气体污染物     ,⑧沼气的主要成分    

查看答案和解析>>

科目: 来源:2009-2010学年重庆市南开中学九年级(下)期末化学试卷(解析版) 题型:填空题

现有①盐酸、②过氧化氧、③铁粉、④氨水、⑤液态氧、⑥酒精、⑦氯化钾、⑧水、⑨氢氧化镁、⑩钢等物质,其中属于酸的是    ,属于氧化物的是    ,属于盐的是    ,属于合金的是    .  (填序号)

查看答案和解析>>

科目: 来源:2009-2010学年重庆市南开中学九年级(下)期末化学试卷(解析版) 题型:填空题

分别将盛有①浓盐酸、②浓硫酸、③固体氢氧化钠、④澄清石灰水的试剂瓶,敞口放置一段时间后,试剂瓶内物质质量减少的是    ,具有脱水性的是    ,试剂变质的是    (填写序号).

查看答案和解析>>

科目: 来源:2009-2010学年重庆市南开中学九年级(下)期末化学试卷(解析版) 题型:填空题

如图是A、B两种物质的溶解度盐线.根据如图所示回答下列问题:
(1)t1℃时,向两只盛有100g水的烧杯中,分别加入A、B两种物质至不能溶解为止,所得溶液的溶质质量分数较大的是    溶液(填A或B).
(2)t2℃时,欲配制等质量的A、B两种物质的饱和溶液,所需水的质量关系是A    B.(填写“>”、“<”或=”,下同)
(3)将t2℃的A、B两种物质的饱和溶液各200g,降温至t1℃,所得溶液的溶质质量分数的大小关系是A    B.
(4)若要从混有少量B的A溶液中得到纯净的A,应采用的实验方案是   

查看答案和解析>>

科目: 来源:2009-2010学年重庆市南开中学九年级(下)期末化学试卷(解析版) 题型:填空题

写出下列化学方程式:
(1)加热固体混合物制氧气   
(2)生成二氧化碳的置换反应   
(3)向稀盐酸中滴加硝酸银溶液   
(4)二氧化碳使澄清石灰水变浑浊   

查看答案和解析>>

科目: 来源:2009-2010学年重庆市南开中学九年级(下)期末化学试卷(解析版) 题型:填空题

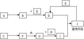
A~J都是初中化学中的常见物质,且有如图所示转化关系(反应条件其他生成物均已略去).已知A为金属单质、其它均为化合物,

C为大理石的主要成分,E为一种常见的不挥发性酸,I物质中含钠元素,回答下列问题:
(1)写出下列物质的化学式:A    、F   
(2)写出下列反应方程式:
J+E:   
G+H:   

查看答案和解析>>

科目: 来源:2009-2010学年重庆市南开中学九年级(下)期末化学试卷(解析版) 题型:解答题

实验室常用下列装置来制取氧气:

(1)写出图中有标号仪器的名称:a______、b______;
(2)用双氧水和二氧化锰来制取氧气时,可选用的发生装置是______(填序号),其中二氧化锰起______作用.
(3)用高锰酸钾制取氧气时,发生反应的化学方程式为______ K2MnO4+MnO2+O2

查看答案和解析>>

科目: 来源:2009-2010学年重庆市南开中学九年级(下)期末化学试卷(解析版) 题型:解答题

某实验小组利用图1所示仪器进行“配制质量分数一定的氯化钠溶液”的实验:

(1)按实验要求,图1中还缺少的玻璃仪器是(填名称)______;在实验中该仪器的作用是______.
(2)完成此实验正确的操作顺序是(填序号)______;
①溶解;②把配好的溶液装入试剂瓶;③称量;④计算
(3)小婧按图2的操作称取氯化钠,小民发现小婧的操作有错误.你认为小婧操作中的错误是______;该错误会导致配制的氯化钠溶液的质量分数______.(填“偏大”、“偏小”、“不变”)
(4)小民所取蒸馏水的体积如图3所示,则该实验小组原计划配制的氯化钠溶液中溶质的质量分数为(水的密度约为lg/cm3)______.

查看答案和解析>>

科目: 来源:2009-2010学年重庆市南开中学九年级(下)期末化学试卷(解析版) 题型:解答题

某化学兴趣小组为了测定铁铜合金中铁的质量分数,取出5g合金样品,将50g稀硫酸分5次加入样品中,充分反应后过滤、洗涤、干燥、称重,得到的实验数据如下:
稀硫酸用量10g20g30g40g50g
剩余固体质量mg4.44g4.16g3.88g3.8g
(1)合金样品中铁的质量分数为______,
(2)m的值为______,
(3)计算加入第一次10g稀硫酸后所得溶液中溶质的质量分数(结果保留小数点后一位).

查看答案和解析>>

同步练习册答案