相关习题
0 67816 67824 67830 67834 67840 67842 67846 67852 67854 67860 67866 67870 67872 67876 67882 67884 67890 67894 67896 67900 67902 67906 67908 67910 67911 67912 67914 67915 67916 67918 67920 67924 67926 67930 67932 67936 67942 67944 67950 67954 67956 67960 67966 67972 67974 67980 67984 67986 67992 67996 68002 68010 211419
科目:
来源:2011-2012学年江苏省无锡实验中学九年级(上)期末化学试卷(解析版)
题型:选择题
如图所示,它是某同学设计的几种气体分别跟几种碱溶液反应的实验装置,其中所示意的实验现象不符合实验事实的是( )
A.

B.

C.

D.

查看答案和解析>>
科目:
来源:2011-2012学年江苏省无锡实验中学九年级(上)期末化学试卷(解析版)
题型:选择题
室温下,把MgCl2的饱和溶液和蒸馏水区别开来,下列方法中不可行的是( )
A.加肥皂水
B.降温至0℃看是否凝固
C.测导电性
D.分别通二氧化碳看是否有沉淀
查看答案和解析>>
科目:
来源:2011-2012学年江苏省无锡实验中学九年级(上)期末化学试卷(解析版)
题型:选择题
向CaCl
2与盐酸的混合溶液中慢慢滴入Na
2CO
3溶液,下列图象符合实验现象的是( )
A.

B.

C.

D.

查看答案和解析>>
科目:
来源:2011-2012学年江苏省无锡实验中学九年级(上)期末化学试卷(解析版)
题型:填空题
化学就在我们身边,它在工农业生产中有着广泛的应用.请从①-⑤中选择合适的物质按下列要求填空:①熟石灰②生石灰③活性炭④纯碱⑤盐酸
(1)可用于除去冰箱异味的物质的名称是 ;
(2)可广泛用于茶叶、食品、服装、皮革等行业的干燥剂的物质的化学式是 ;
(3)在实验室里,可用作制取少量氢氧化钠的化学方程式为 ;
(4)能进行中和反应的化学方程式为 .
查看答案和解析>>
科目:
来源:2011-2012学年江苏省无锡实验中学九年级(上)期末化学试卷(解析版)
题型:填空题
请将下列物质按照一定的要求从大到小(由高到低、由多到少)排列(填序号).
(1)地壳中元素含量:①O ②A1 ③Si .
(2)溶液的pH:①NaCl溶液②Na2CO3溶液③SO3的水溶液 .
(3)溶解性:①BaSO4②Ca(OH)2③KNO3 .
查看答案和解析>>
科目:
来源:2011-2012学年江苏省无锡实验中学九年级(上)期末化学试卷(解析版)
题型:填空题
2008年5月12日,四川汶川发生里氏8.0级地震.全国人民抗震救灾,众志成城,彰显了中华民族巨大的凝聚力.请回答下列问题:
(1)地震造成一列含有12节油罐车的货运列车在宝成铁路109号隧道里起火,消防人员迅速采取封堵隧道口、喷水冷却等措施进行灭火,其灭火原理是 ;
A.清除可燃物 B.隔绝空气 C.使温度降到着火点以下
(2)5月21日,我市派遣专业人员赶赴灾区,协助做好饮用水安全工作.自来水厂主要通过:①吸附沉淀(用明矾) ②投药消毒(用漂白粉等) ③静置沉淀 ④过滤 等对自然水进行净化,其合理的步骤顺序是 (填序号);可用 试纸检测水的酸碱度是否达到标准;可用 检测水是否为硬水.
(3)我市对口支援都江堰市的灾后重建工作,迅速搭建了一批简易安置房,安置房用外层是钢板、中间填充泡沫塑料的夹心板做墙体.为防止钢板生锈,延长夹心板的使用寿命,下列措施合理的是 ;
A.表面喷漆 B.经常酸洗 C.经常水洗
(4)国家药监局于5月25日公布的抗震救灾急需药械目录中包括:一次性防护服、活性炭防护口罩、骨科内外固定材料等.其中防护口罩主要是利用活性炭的 性.
查看答案和解析>>
科目:
来源:2011-2012学年江苏省无锡实验中学九年级(上)期末化学试卷(解析版)
题型:填空题
举例证明下列结论是错误的(用化学方程式表示):
(1)有一种单质和一种化合物生成的化学反应一定是置换反应
(2)氧化反应一定是化合反应
(3)有盐和水生成的反应一定是中和反应 .
查看答案和解析>>
科目:
来源:2011-2012学年江苏省无锡实验中学九年级(上)期末化学试卷(解析版)
题型:填空题
图是A、B、C三种固体物质(固体组成与溶质相同)的溶解度曲线.在t
1℃时,将质量为a g的A、B、C三种物质分别加入100g水中,根据图示回答下列问题:
(1)三种物质中,随温度升高溶解度减小的物质是
;
(2)t
1℃时,所得三种物质的溶液中为不饱溶液的是
;
(3)若使这三种溶液溶质的质量分数相等,则温度应由t
1℃升至
℃;
(4)若将温度由t
1℃升至t
4℃时,三种溶液中溶质质量分数的大小关系为
.

查看答案和解析>>
科目:
来源:2011-2012学年江苏省无锡实验中学九年级(上)期末化学试卷(解析版)
题型:填空题
对于稀硫酸而言,溶质的质量分数越大,溶液的酸性越强.常温下,10%的稀硫酸的pH (填“大于”、“小于”或“等于”)2%的稀硫酸的pH.如果要使稀硫酸的pH升高,你采取的方法有:
(1)不发生化学反应的方法 ;
(2)有化学反应发生的方法(要求各种方法中所选的物质的类别不同) , 或 .
查看答案和解析>>
科目:
来源:2011-2012学年江苏省无锡实验中学九年级(上)期末化学试卷(解析版)
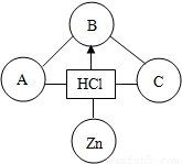
题型:填空题
构建知识网络是一种重要的学习方法.下图是关于盐酸化学性质的知识网络,“-”表示相连的两种物质能发生反应,“→”表示一种物质转化成另一种物质,A、C属于不同类别的化合物.完善这个知识网络:
(1)写出A、B、C的化学式:
A
;B
;C
.
(2)根据自己得出的知识网络写出一个复分解反应化学方程式:
.

查看答案和解析>>