相关习题
 0  68492  68500  68506  68510  68516  68518  68522  68528  68530  68536  68542  68546  68548  68552  68558  68560  68566  68570  68572  68576  68578  68582  68584  68586  68587  68588  68590  68591  68592  68594  68596  68600  68602  68606  68608  68612  68618  68620  68626  68630  68632  68636  68642  68648  68650  68656  68660  68662  68668  68672  68678  68686  211419 

科目: 来源:2012-2013学年河南省信阳市息县九年级(上)月考化学试卷(第6单元)(解析版) 题型:填空题

从你学过的物质中选择合适的物质的化学式填空.
有还原性的气体化合物    ,可用作制冷剂的物质是   
能支持燃烧的气体是    ,汽水中含有一种酸为   

查看答案和解析>>

科目: 来源:2012-2013学年河南省信阳市息县九年级(上)月考化学试卷(第6单元)(解析版) 题型:填空题

按下列要求写出有二氧化碳生成的化学反应方程式
(1)化合反应   
(2)分解反应   
(3)化合物与化合物之间的反应   

查看答案和解析>>

科目: 来源:2012-2013学年河南省信阳市息县九年级(上)月考化学试卷(第6单元)(解析版) 题型:填空题

(1)说起“温室效应”,许多人就会想到二氧化碳带来的一些负面景响,其实二氧化碳也为人类、自然、社会做出了巨大的贡献,我们对它的认识应全面公正.请写出两点二氧化碳有益的实例:①    ;②   
(2)科学家采取“组合转化”技术,使CO2和H2发生反应,生成一种化工原料乙烯和水,化学方程式为:2CO2+6H2═乙烯+4H2O,则乙烯的化学式为   

查看答案和解析>>

科目: 来源:2012-2013学年河南省信阳市息县九年级(上)月考化学试卷(第6单元)(解析版) 题型:填空题

碳与碳的化合物在工农业生产及日常生活中有广泛的用途.
(1)如图是碳原子结构示意图,碳原子的质子数是    ,碳元素在元素周期表中位于第    周期.
(2)如图是木炭还原氧化铜的实验,大试管中的反应体现了碳的还原性,其反应的化学方程式是:   
(3)二氧化碳能参与光合作用完成大气中的“碳循环”,但是大气中二氧化碳的含量不断上升,会使全球变暖,从而导致    .蔬菜大棚用作气体肥料的二氧化碳,可用多种方法制得,例如可以用稀硫酸与碳酸钠(Na2CO3)反应制得,反应后生成硫酸钠、水和二氧化碳,这一反应的化学方程式是:   

查看答案和解析>>

科目: 来源:2012-2013学年河南省信阳市息县九年级(上)月考化学试卷(第6单元)(解析版) 题型:解答题

右图是实验室制备CO2的装置图.该装置的特点是:打开弹簧夹,大理石和稀盐酸接触,发生反应;关闭弹簧夹后,稀盐酸被反应产生的CO2气体压回长颈漏斗,与大理石分离,停止反应.用该装置制备CO2可起到节约药品和使用方便的效果.下图的装置中哪些可以起到与上图的装置相同的效果?______(填写编号).

查看答案和解析>>

科目: 来源:2012-2013学年河南省信阳市息县九年级(上)月考化学试卷(第6单元)(解析版) 题型:解答题

一山区农民让其儿子到久未开启的地窖里拿地瓜,人还没有下到一半便“扑通”一声栽下去,久喊不应.慌了手脚的该农民又令其小儿子立即下去救人,结果又是如此,兄弟二人的生命就这样葬身于地窖之中.
多么惨痛的悲剧!多么无知的举动!稍懂化学知识的人都无比惋惜地说:“这场悲剧不发生!”
(1)兄弟二人为什么会葬身于地窖之中?
(2)进地窖之前,怎样用简易的方法确定进入地窖是否会有生命危险?

查看答案和解析>>

科目: 来源:2012-2013学年河南省信阳市息县九年级(上)月考化学试卷(第6单元)(解析版) 题型:解答题

请你写出三种方法来鉴别CO和CO2气体?(要求:写出步骤、现象和结论)

查看答案和解析>>

科目: 来源:2012-2013学年河南省信阳市息县九年级(上)月考化学试卷(第6单元)(解析版) 题型:解答题

某同学设计了如下一组实验.取4朵用石蕊试液染成紫色的干燥纸花,分别按“图”进行实验.回答下列问题:
(1)观察到纸花的颜色变化是:Ⅰ纸花变红;Ⅱ______;Ⅲ纸花不变色;Ⅳ______.
(2)该同学进行的Ⅰ、Ⅱ两项实验,说明了______,______.
(3)该同学进行4组对比实验的目的是______.

查看答案和解析>>

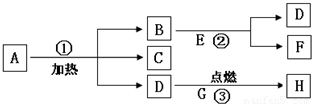
科目: 来源:2012-2013学年河南省信阳市息县九年级(上)月考化学试卷(第6单元)(解析版) 题型:解答题

A、B…H八种物质,有如图所示关系:其中A是一种暗紫色固体,B、G都是黑色固体,D能使带火星的木条复燃,E是一种无色液体,H是一种能使澄清石灰水变浑浊的气体,在②的反应前后B的质量和化学性质都不改变.试推断:
(1)写出下列物质的化学式:
A______、B______、D______.
(2)写出反应③化学反应方程式,并指出其反应的基本类型:______ CO2

查看答案和解析>>

科目: 来源:2012-2013学年河南省信阳市息县九年级(上)月考化学试卷(第6单元)(解析版) 题型:解答题

CO是一种无色、无味、有毒的可燃气体污染物,具有还原性,可用于冶金工业.某兴趣小组为探究其具有还原性,设计了如图实验装置.请回答以下有关问题:
(1)CO气体能使人中毒,其原因是______;
(2)实验开始时,先通入CO一段时间后,再加热,其原因是______;
(3)实验中图A处玻璃管中发生的现象是______,其化学反应方程式为______ 2Cu+CO2

查看答案和解析>>

同步练习册答案