相关习题
 0  68854  68862  68868  68872  68878  68880  68884  68890  68892  68898  68904  68908  68910  68914  68920  68922  68928  68932  68934  68938  68940  68944  68946  68948  68949  68950  68952  68953  68954  68956  68958  68962  68964  68968  68970  68974  68980  68982  68988  68992  68994  68998  69004  69010  69012  69018  69022  69024  69030  69034  69040  69048  211419 

科目: 来源:2012-2013学年云南省玉溪市红塔区洛河民族中学九年级(上)期末化学试卷(解析版) 题型:填空题

(1)2008年奥运会“祥云”火炬中燃料燃烧后不会对环境造成污染,体现了“绿色奥运”的理念.反应的化学方程式为CxH8+5O2  yCO2+4H2O,则x的数字是   
(2)汽车尾气(含有CO、SO2和NO等物质)是城市的污染物,治理的方法之一是在汽车的排气管上安装催化转换器,其特点是使CO和NO在催化剂的条件下反应生成可参与大气生态循环的无毒气体氮气和二氧化碳.写出CO和NO反应的化学方程式   

查看答案和解析>>

科目: 来源:2012-2013学年云南省玉溪市红塔区洛河民族中学九年级(上)期末化学试卷(解析版) 题型:解答题

如图A~D是初中化学中的四个实验,请按要求填空:
(1)A实验中观察到的现象是______.
(2)B实验中正极产生的气体是______(写化学式):由此实验得出水是由______组成的.
(3)C实验中反应的化学方程式______ Fe3O4

查看答案和解析>>

科目: 来源:2012-2013学年云南省玉溪市红塔区洛河民族中学九年级(上)期末化学试卷(解析版) 题型:填空题

(1)下表是1~18号元素按一定规律排列,请你仔细观察,并按要求回答问题

①写出11号元素的元素名称:   
②16号元素属于    元素(填“金属”、“非金属”或“稀有气体”);
③观察此表,写出一条你发现的规律:   
(2)如图为某化学反应的微观过程,其中“”和“”表示两种不同原子.
①该反应属于    (填基本反应类型)反应.
②虚线框内应填的微观图示是     (选填如图序号),你推断的依据是   

查看答案和解析>>

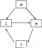
科目: 来源:2012-2013学年云南省玉溪市红塔区洛河民族中学九年级(上)期末化学试卷(解析版) 题型:填空题

甲、乙、丙、丁是初中化学中常见的物质,其中丙为气体单质,其余三种物质均为化合物,甲、乙两种物质组成元素相同.其转化关系如右图所示:根据信息请回答:
(1)甲的化学式是    ,丁可能是    (填化学式);
(2)乙→丙的化学方程式是   

查看答案和解析>>

科目: 来源:2012-2013学年云南省玉溪市红塔区洛河民族中学九年级(上)期末化学试卷(解析版) 题型:填空题

结合下列装置图回答问题:

(1)写出图中有标号仪器的名称:a   
(2)实验室制取和收集CO2气体时,应选用    (填序号),反应方程式为    ,验证集气瓶中CO2是否收满的方法是   
(3)氨气(NH3)是一种无色有刺激性气味的气体,密度小于空气密度,极易溶于水.实验室里通常用加热氯化铵固体和氢氧化钙固体混合物的方法制取氨气.其化学方程式为:2NH4Cl+Ca(OH)2CaCl2+2NH3↑+2H2O;若实验室制取并收集氨气应选用的装置是    (填字母序号).

查看答案和解析>>

科目: 来源:2012-2013学年云南省玉溪市红塔区洛河民族中学九年级(上)期末化学试卷(解析版) 题型:解答题

某同学在商店买到一种“果冻蜡烛”(见右图).他想对“果冻蜡烛”进行探究.
【提出问题】“果冻蜡烛”是否含有碳、氢、氧元素.
【查阅资料】“果冻蜡烛”可完全燃烧,燃烧时无烟尘,燃烧过程和熄灭时无异味;
【探究实验】(请完成下列实验报告)
步骤现象分析
(1)点燃“果冻蜡烛”,并在火焰上方罩一个干燥而冷的小烧杯.烧杯内壁有无色小液滴生成“果冻蜡烛”在燃烧后的产物有______.
(2)迅速倒转小烧杯,向其中加入适量______,振荡.______.“果冻蜡烛”在燃烧后的产物有二氧化碳.
【实验结论】该同学分析:水是由氢元素和氧元素组成,二氧化碳是由碳元素和氧元素组成,因此“果冻蜡烛”含有碳、氢、氧元素.
【反思】你认为该同学得出的实验结论是否准确?______(填“准确”或“不准确”),请说明原因______.

查看答案和解析>>

科目: 来源:2012-2013学年云南省玉溪市红塔区洛河民族中学九年级(上)期末化学试卷(解析版) 题型:解答题

某兴趣小组话动中,同学们按图1装置对“可燃物燃烧的条件”进行探究.探究过程中,大家对磷燃烧生成的大量白烟是否危害人体健康提出疑问.
【查阅资料】白磷的着火点是40℃,红磷的着火点是240℃,…燃烧产物五氧化二磷是白色固体,会刺激人体呼吸道,并能与空气中的水蒸气反应,生成有毒的偏磷酸(HPO3).
【变流与讨论】白烟对人体健康有害,该实验装置必须改进.
【改进与实验】同学们按改进后的图2装置进行实验.

请你帮助他们将下表补充完整.
实验现象对实验现象的解释
(1)a试管中白磷燃烧,热水中白磷没有燃烧
(2)b试管中红磷没有燃烧
(1)热水中白磷没有燃烧的原因是______

(2)b试管中红磷没有燃烧的原因是______
【反思与评价】
(1)改进后的图2装置与图1装置比较的优点是______.
(2)小林同学指出图2装置仍有不足之处,并设计了图3装置,
其中气球的作用是______(填字母).
A.收集生成的气体              B.防止有害物质污染空气
C.调节试管内的气体压强,避免橡皮塞因试管内气体热膨胀而松动
【拓展与迁移】
实验小结时,小朱同学说:“待a试管冷却后,如果将试管口朝下垂直伸入水面下(室温),并取下橡皮塞,将看到液体进入试管.”这一说法得到大家的一致认同.
你认为如果不考虑橡皮塞占试管的容积,且实验所用白磷足量,装置气密性良好,进入a试管内液体的体积约占试管容积的______,理由是______.

查看答案和解析>>

科目: 来源:2012-2013学年云南省玉溪市红塔区洛河民族中学九年级(上)期末化学试卷(解析版) 题型:解答题

(1)维生素A的化学式为C20H30O,能维持人体正常的视觉反应.回答下列问题:
①一个维生素A分子共含有______个原子.
②维生素A 中C、H、O元素的质量比为______.
(2)在科学家眼里,二氧化碳是可以利用的重要资源.在一定条件下,二氧化碳和金属钠反应可以制金刚石.请计算92g金属钠理论上可制得含碳96%的金刚石的质量是多少g?(最后结果保留一位小数)

查看答案和解析>>

科目: 来源:2012-2013学年天津市河西区九年级(上)期中化学试卷(解析版) 题型:选择题

2011年3月11日,日本发生了震惊世界的大地震.地震灾害过程中发生的下列变化与其他三项不同的是( )
A.山体滑坡
B.房屋倒塌
C.铁轨扭曲
D.油库爆炸

查看答案和解析>>

科目: 来源:2012-2013学年天津市河西区九年级(上)期中化学试卷(解析版) 题型:选择题

汽车安全气囊必须在碰撞后10毫秒内释放出无毒、无味、对环境无污染、化学性质稳定的气体,气囊内充入的气体应该是( )
A.氮气
B.氧气
C.氢气
D.二氧化硫

查看答案和解析>>

同步练习册答案