相关习题
 0  68865  68873  68879  68883  68889  68891  68895  68901  68903  68909  68915  68919  68921  68925  68931  68933  68939  68943  68945  68949  68951  68955  68957  68959  68960  68961  68963  68964  68965  68967  68969  68973  68975  68979  68981  68985  68991  68993  68999  69003  69005  69009  69015  69021  69023  69029  69033  69035  69041  69045  69051  69059  211419 

科目: 来源:2012-2013学年江苏省盐城市射阳县九年级(上)期末化学试卷(解析版) 题型:选择题

下列有关标志中,与燃烧或爆炸无关的是( )
A.
B.
C.
D.

查看答案和解析>>

科目: 来源:2012-2013学年江苏省盐城市射阳县九年级(上)期末化学试卷(解析版) 题型:选择题

下列关于溶液的说法中,正确的是( )
A.溶液都是无色透明的混合物
B.稀溶液一定是不饱和溶液
C.溶质以分子或离子的形式均匀分散在溶剂中
D.溶质的溶解度都随温度的升高而增大

查看答案和解析>>

科目: 来源:2012-2013学年江苏省盐城市射阳县九年级(上)期末化学试卷(解析版) 题型:选择题

现有铁和另一种金属组成的混合物,在5.6g该混合物中加入100g一定溶质质量分数的稀盐酸,两者恰好完全反应,产生氢气的质量为m.下列说法正确的是( )
A.若混合物为Fe、Al,m可能是0.2g
B.若混合物为Fe、Zn,m可能是0.2g
C.若混合物为Fe、Zn,m可能是0.1g,则该混合物中铁的质量分数为50%
D.若混合物为Fe、A1,则稀盐酸中溶质质量分数一定大于7.3%

查看答案和解析>>

科目: 来源:2012-2013学年江苏省盐城市射阳县九年级(上)期末化学试卷(解析版) 题型:填空题

化学就在我们身边,与我们的生活息息相关.请回答下列生活中的化学问题.
(1)“低碳生活”方式中的”“碳”指的是碳    (填“单质”“原子”“离子”或“元素”);日常生活中你的做法是    .(举一例)
(2)在家中泡茶时,要想知道所用是硬水还是软水的方法是    ,茶杯内的纱网可将茶叶与茶水分离便于饮用,该设计原理类似化学实验操作中的   
(3)物质的结构决定物质的性质和用途.在家庭煤炉燃烧煤时做把成蜂窝煤,这样做便于燃烧的原理是    ,用过的废弃物煤球放到污水池中,发现有去除异味和色素的效果.废弃物煤球的作用与净水器中的    相似(填有关物质及相关性质),为了减轻对大气的污染,好多家庭用上了更为清洁的新型燃料--天然气,试写出天然气主要成分燃烧的化学方程式   
(4)一受外伤患者到医院,医生常会给患者首先用碘酒溶液消毒,所用碘酒溶液的溶剂是    (填写化学式),2013年起全国实施新的交通法规,加大了酒后驾驶的检查、处理力度,交警检查是否酒后驾驶常用到一种化学物质--重铬酸钾(K2Cr2O7),重铬酸钾中铬元素的化合价为    价.
(5)食盐是厨房中不可缺少的调味品,其主要成分是氯化钠,构成氯化钠的阳离子符号是    ,在清洗家中油污时可用汽油洗,也可用洗涤剂洗,二者的不同之处是   

查看答案和解析>>

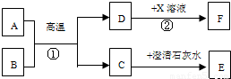
科目: 来源:2012-2013学年江苏省盐城市射阳县九年级(上)期末化学试卷(解析版) 题型:填空题

A-F和X都是初中化学中的常见物质,其中A、C是无色气体,B是赤铁矿的主要成分,F是红色固体,其中只有D、F为单质,X为蓝色溶液,它们的转化关系如图所示(部分生成物已省略):
(1)写出几种物质的化学式B    ,F   
(2)写出反应①的化学方程式   
(3)写出反应②的化学方程式    ,该反应属于    (填写基本反应类型)反应.

查看答案和解析>>

科目: 来源:2012-2013学年江苏省盐城市射阳县九年级(上)期末化学试卷(解析版) 题型:解答题

如图是甲、乙两种固体物质的溶解度曲线.
(1)______℃时,甲、乙两种物质的溶解度相等.
(2)t2℃时,将等质量的甲、乙两种物质加水溶解配制成饱和溶液,所得溶液质量的大小关系为:甲______乙(填“>”、“<”或“=”).
(3)把甲物质的不饱和溶液变为饱和溶液,下列有关说法正确的是______(填序号,下同)
A.溶剂的质量一定变小         B.溶质的质量可能不变
C.溶质的质量分数一定变大     D.溶液的质量一定变大
E.该饱和溶液还可以溶解其它物质
(4)通常情况下,在实验室用固体甲配制一定溶质质量分数的甲溶液,需用到的仪器有:托盘天平(带砝码盒)、烧杯和______.
A.酒精灯 B.药匙  C.玻璃棒  D.漏斗  E.铁架台   F.量筒  G 胶头滴管.

查看答案和解析>>

科目: 来源:2012-2013学年江苏省盐城市射阳县九年级(上)期末化学试卷(解析版) 题型:填空题

A.请根据下列装置图,回答有关问题:

(1)写出装置图中标号仪器的名称:a    :b   
(2)写出实验室用大理石和稀盐酸反应制取二氧化碳的化学方程式    ,可选用的收集装置是    (填字母).某同学用碳酸钠粉末和稀盐酸反应来制取二氧化碳,为了较好地控制反应速率,可选用的发生装置是     (填字母).
B.某化学兴趣小组的学生,发现金属R不在初中学到的金属活动性顺序表中,该小组为了了解R与常见金属铝、铜的金属活动性顺序,进行如下探究活动:
[作出猜想]他们考虑到铝的活动性比铜强,对三种金属的活动性顺序作出如下猜想:
猜想一:Al>Cu>R,猜想二:    ,猜想三:R>Al>Cu,
[查阅资料]R是一种银白色的金属,在R的盐溶液中只有+2价R的盐溶液呈蓝色,常温下铝的表面会形成一层致密的氧化膜;硫酸铝、氯化铝、硝酸铝的溶液均为无色.
[实验探究]为了探究哪一种猜想成立,甲、乙、丙三位同学分别针对猜想一、猜想二、猜想三设计实验方案并展开实验探究.
猜想主要操作主要现象实验结论
猜想一打磨R丝,并将其插入到硫酸铜溶液中R丝表面覆盖了一层红色的物质猜想一    (填“成立”或“不成立”)
猜想二打磨粗细相同的R丝、铝丝、铜丝,分别将它们插入到体积相同、溶质质量分数也相同的稀硫酸中①R丝表面产生气泡缓慢,溶液由无色逐渐变成蓝色
②铝丝表面产生气泡较快
③铜丝表面没有气泡产生
猜想二成立.
R与稀硫酸反应的化学方程式为
   
猜想三    无明显现象猜想三成立
[交流反思]
究竟哪种猜想成立?三位同学经讨论交流,发现丙同学在实验前没有打磨铝丝,这可能会导致实验结论错误.于是他们先打磨铝丝,再将其插入到丙同学做实验用过的溶液中,一段时间后,溶液的颜色    ;进而确认猜想三不成立,猜想二成立.

查看答案和解析>>

科目: 来源:2012-2013学年江苏省盐城市射阳县九年级(上)期末化学试卷(解析版) 题型:解答题

某课外活动小组为测定当地石灰石中含碳酸钙的质量分数,取来了一些矿石样品,并取稀盐酸200g,平均分成4份,将四份不同质量的样品加入到四份稀盐酸中,进行实验,结果如下:
实验1234
加入样品的质量/g5101520
生成CO2的质量/g1.543.084.4m
(1)上表中m的数值是_______;
(2)试计算这种石灰石矿中碳酸钙的质量分数.
(3)第三次反应后所得溶液的溶质质量分数是多少?

查看答案和解析>>

科目: 来源:2011-2012学年福建省泉州市马甲中学九年级(上)期中化学试卷(解析版) 题型:选择题

下列变化属于化学变化的是( )
A.
镁带燃烧
B.
火柴梗被折断
C.
干冰升华
D.
玻璃碎了

查看答案和解析>>

科目: 来源:2011-2012学年福建省泉州市马甲中学九年级(上)期中化学试卷(解析版) 题型:选择题

根据你的生活知识判断下列做法中正确的是( )
A.一旦有人触电,立即用手将人拉开脱离电源
B.图书馆资料着火时,立刻用泡沫灭火器灭火
C.厨房里液化气大量泄漏时,立刻打开排气扇排气
D.可用高粱、玉米等经发酵、蒸馏制酒精

查看答案和解析>>

同步练习册答案