相关习题
0 68917 68925 68931 68935 68941 68943 68947 68953 68955 68961 68967 68971 68973 68977 68983 68985 68991 68995 68997 69001 69003 69007 69009 69011 69012 69013 69015 69016 69017 69019 69021 69025 69027 69031 69033 69037 69043 69045 69051 69055 69057 69061 69067 69073 69075 69081 69085 69087 69093 69097 69103 69111 211419
科目:
来源:2012-2013学年江苏省南京市玄武区九年级(上)期末化学试卷(解析版)
题型:解答题
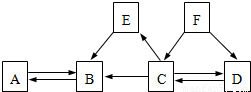
初中化学中几种常见物质之间的相互转化关系如下图所示.已知常温下B、C为气体,且B是植物进行光合作用的一种重要原料;D、F由两种相同的元素组成,且D、F分子中原子个数比依次为2:1和1:1;E为黑色金属氧化物(部分反应物和生成物及反应条件已略去).
(1)请写出E的化学式______;
(2)请用化学方程式表示以下过程
①F→D______ 2H
2O+O
2↑

查看答案和解析>>
科目:
来源:2012-2013学年江苏省南京市玄武区九年级(上)期末化学试卷(解析版)
题型:解答题
水煤气是将水蒸气通过灼热的焦炭而生成的气体,主要成分是一氧化碳、氢气及少量的二氧化碳和水蒸气.某课题组同学为验证水煤气的成分,做了以下准备:
(一)资料收集:①H
2+CuO

Cu+H
2O ②无水硫酸铜遇水由白色变为蓝色 ③氢氧化钠溶液可以吸收二氧化碳 ④浓硫酸可以吸收水蒸汽
(二)设计实验装置

请分析上面信息后回答:
(1)你认为验证水煤气中各成分的顺序依次是______;
(2)装置E内观察到的现象是______;
(3)实验中两次用到装置A,其目的分别是______,______;请你设计一种尾气处理方案:______.
查看答案和解析>>
科目:
来源:2012-2013学年江苏省南京市玄武区九年级(上)期末化学试卷(解析版)
题型:解答题
2012年6月,中国航天史上掀开极具突破性的一章:“神舟九号”实现了与“天宫一号”的载人交会对接.让我们一起解读“神九”:
(1)为航天员提供的“人造空气”中含有体积分数为70%的氮气、20%以上的氧气、少量二氧化碳等气体.某同学对“人造空气”的分析如下:①氮气含量比空气低;②氮气没有任何作用,可不添加;③改成纯氧气更有益于航天员呼吸;④没有污染物.其中正确的是______.
(2)“神九”载人飞船所用液态燃料是四氧化二氮和偏二甲肼的混合物.发射时,四氧化二氮和偏二甲肼发生剧烈反应如下:C2H8N2+2N2O4=2CO2+4H2O+3X,其中X的化学式为______.
(3)为防止载人飞船在高温烘烤下表面被氧化,在载人飞船表面涂了一层纳米硅酸盐涂料.这种涂料应具有哪些性质?______、______.(至少答两点)
(4)三位宇航员所穿的航天服中有废气处理系统.先让废气进入一个装有活性炭的盒子除去臭气,这一过程利用了活性炭的______性.再用氢氧化锂(LiOH)作吸收剂除去二氧化碳(氢氧化锂和氢氧化钙具有相似的化学性质),请写出该反应的化学方程式______.
查看答案和解析>>
科目:
来源:2012-2013学年江苏省南京市玄武区九年级(上)期末化学试卷(解析版)
题型:填空题
如图是为探究物质燃烧条件设计的实验.甲中的白磷未燃烧,而乙中的白磷发生了燃烧.

(1)该实验主要探究的燃烧条件是
;
(2)白磷(P
4)燃烧的产物与红磷相同,请写出白磷燃烧的化学方程式:
;
(3)如仅用该装置进行实验,验证空气中氧气的体积分数约为

,应做到:①白磷
;②将锥形瓶B
.
查看答案和解析>>
科目:
来源:2012-2013学年江苏省南京市玄武区九年级(上)期末化学试卷(解析版)
题型:解答题
铁的冶炼是钢铁工业的基础.


(Ⅰ)如图1是教材中炼铁高炉及炉内化学变化过程示意图,若图中采用的铁矿石的主要成分为氧化铁,请写出B区和C区所发生主要反应的化学方程式:(1)B区______ 2Fe+3CO
2
查看答案和解析>>
科目:
来源:2012-2013学年江苏省南京市玄武区九年级(上)期末化学试卷(解析版)
题型:解答题
我国约在南北朝时就开始冶炼黄铜,黄铜是铜和锌的合金(Cu-Zn),它可用来制造电器零件及日用品.为了测定某黄铜样品中铜的质量分数,取10g该样品向其中加入一定量的稀硫酸,恰好完全反应,产生氢气的质量与加入稀硫酸的质量关系如图所示.请解答下列问题:
(1)完全反应后,生成H
2的质量为______.
(2)该黄铜样品中铜的质量分数为多少?(写出计算过程)

查看答案和解析>>
科目:
来源:2012-2013学年江苏省盐城市东台市时堰中学九年级(上)第三次段考化学试卷(解析版)
题型:选择题
下列物质的用途,主要利用其化学性质的是( )
A.金刚石用来裁玻璃
B.干冰用于人工降雨
C.酒精被用作内燃机中的燃料
D.铝用于制造电线
查看答案和解析>>
科目:
来源:2012-2013学年江苏省盐城市东台市时堰中学九年级(上)第三次段考化学试卷(解析版)
题型:选择题
卡拉OK歌厅的装修材料使用了许多吸音材料,如泡沫、海绵等.它们燃烧后会产生大量的浓烟.下列有关说法错误的是( )
A.泡沫、海绵是可燃物
B.泡沫、海绵的着火点很高
C.燃烧的浓烟中含大量有毒气体
D.着火时尽快用湿布捂住口鼻,撒向安全处
查看答案和解析>>
科目:
来源:2012-2013学年江苏省盐城市东台市时堰中学九年级(上)第三次段考化学试卷(解析版)
题型:选择题
实验时不小心打翻酒精灯着火了,最简便合理的灭火方法是( )
A.用水浇灭
B.用嘴吹灭
C.用湿抹布盖灭
D.用灭火器扑灭
查看答案和解析>>
科目:
来源:2012-2013学年江苏省盐城市东台市时堰中学九年级(上)第三次段考化学试卷(解析版)
题型:选择题
实验室制取CO2一般有以下几个步骤:①向长颈漏斗中注入稀盐酸;②向容器放入几小块石灰石;③按要求组装仪器;④检查装置的气密性;⑤收集气体.下列顺序排列正确的是( )
A.①②③④⑤
B.④③①②⑤
C.③④②①⑤
D.③④①②⑤
查看答案和解析>>