相关习题
 0  69585  69593  69599  69603  69609  69611  69615  69621  69623  69629  69635  69639  69641  69645  69651  69653  69659  69663  69665  69669  69671  69675  69677  69679  69680  69681  69683  69684  69685  69687  69689  69693  69695  69699  69701  69705  69711  69713  69719  69723  69725  69729  69735  69741  69743  69749  69753  69755  69761  69765  69771  69779  211419 

科目: 来源:2012-2013学年湖北省襄阳市保康县九年级(上)期末化学试卷(解析版) 题型:填空题

用化学符号填空:2个氢分子      氯化铁       碳酸钠   

查看答案和解析>>

科目: 来源:2012-2013学年湖北省襄阳市保康县九年级(上)期末化学试卷(解析版) 题型:解答题

碳在地壳中的含量不高,但它的化合物数量众多,而且分布极广.

根据所学知识回答:
(1)图①为碳原子的结构示意图,碳原子最外层电子数为______,常温下碳的化学性质______,(填“活泼”或“不活泼”).
(2)图②、③、④对应三种碳单质:图②单质的名称是______,图③单质的名称是______,图④单质的化学式是______.
(3)C为+4价,Cl为-1价,由C和Cl组成的化合物的化学式为______.

查看答案和解析>>

科目: 来源:2012-2013学年湖北省襄阳市保康县九年级(上)期末化学试卷(解析版) 题型:填空题

水是宝贵的自然资源,是人类生命之源.
(1)下列各种水中,属于纯净物的是    (填字母).
A.汽水    B.矿泉水       C.蒸馏水       D.经过净化处理的自来水
(2)蒸馏水、矿泉水、白醋、酒精都是常见的无色液体,其中白醋具有酸味,酒精具有特殊气味的是酒精,常被称为绿色能源,请写出酒精燃烧的化学方程式    ;另外两种无色液体可用多种方法区分,例如:加入    ,根据产生泡沫的多少来区分.
(3)小刚为了净化收集到的雨水,自制了一个如图所示的简易净水器,其中小卵石、石英沙和膨松棉的作用是   

(4)ClO2是新一代饮用水的消毒剂,可以用来代替Cl2进行自来水的消毒.制取ClO2的反应过程示意图如下,请回答:

(其中,表示钠原子,表示氯原子,表示氧原子)
C物质中氯元素的化合价是    ,D物质的名称是    ,该反应的化学方程式是   

查看答案和解析>>

科目: 来源:2012-2013学年湖北省襄阳市保康县九年级(上)期末化学试卷(解析版) 题型:填空题

用化学方程式描述下列事实:
(1)常温下,铝具有很好的抗腐蚀性能,用反应的化学方程式解释原因是   
(2)用一氧化碳与赤铁矿(主要成分是Fe2O3)反应炼铁   
(3)高温煅烧石灰石   
(3)硅是信息技术的关键材料.高温下氢气与四氯化硅(SiCl4)反应可制得高纯度的硅,同时生成氯化氢气体.该反应的化学方程式为   

查看答案和解析>>

科目: 来源:2012-2013学年湖北省襄阳市保康县九年级(上)期末化学试卷(解析版) 题型:填空题

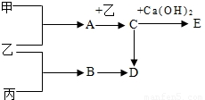
甲、乙、丙是三种单质,其中甲是固体;乙、丙是气体;A、B、C、D、E都是化合物,很多建筑物因含有E而受到酸雨的侵蚀.上述物质的相互转化关系如下图所示(部分产物已略去):
试推断下列物质,写出它们的化学式.
       A        D   

查看答案和解析>>

科目: 来源:2012-2013学年湖北省襄阳市保康县九年级(上)期末化学试卷(解析版) 题型:解答题

根据下列实验装置图回答问题.

(1)写出标有序号的仪器名称:①______,②______.
(2)用装置A能制氧气,该反应的化学方程式为______△2KCl+3O2

查看答案和解析>>

科目: 来源:2012-2013学年湖北省襄阳市保康县九年级(上)期末化学试卷(解析版) 题型:解答题

科技节活动中,化学实验小组做了如下实验,请回答以下问题.

(1)图A所示实验可观察到“铁树”上浸有无色酚酞试液的棉团由白色变为红______色,该实验中没有涉及的性质是______(填字母).
A.氨分子是不断运动的    B.氨分子有一定质量     C.浓氨水具有挥发性
(2)图B所示实验,将注射器中浓氢氧化钠溶液注入瓶中,会看到鸡蛋被“吞”入瓶中,该实验中涉及的化学方程式为______.
(3)图C所示实验,当通过导管向热水中通入氧气时,白磷在水下燃烧,该实验说明燃烧需要的条件为:①可燃物;②达到燃烧所需要的______;③______,反应的化学方程式为______ 2P2O5

查看答案和解析>>

科目: 来源:2012-2013学年湖北省襄阳市保康县九年级(上)期末化学试卷(解析版) 题型:解答题

2011年12月,网上报道某公司非法使用草甘膦转基因大豆.草甘膦(化学式为C3H8NO5P)是一种有机磷除草剂,白色结晶,易溶于水、乙醇等,不可燃,常温下稳定.计算:
(1)草甘膦中碳元素与氧元素的质量比为______.
(2)草甘膦中磷元素的质量分数为______.(精确到0.1%)

查看答案和解析>>

科目: 来源:2012-2013学年湖北省襄阳市保康县九年级(上)期末化学试卷(解析版) 题型:解答题

将干燥纯净的锰猛酸钾31.6g装入大试管中,加热一段时间后,冷却,称量剩余固体为 30g,试计算产生的氧气为多少克?剩余固体中含有哪些物质?各多少克?

查看答案和解析>>

科目: 来源:2012-2013学年安徽省马鞍山市博望中学九年级(上)第一次统考化学试卷(解析版) 题型:选择题

下图所述物质的用途中,主要利用其化学性质的是( )
A.
用金属制作奥运奖牌
B.
用钢材制造体育场“鸟巢”
C.
用羊绒作“福娃”的外层材料
D.
用丙烷做“祥云”火炬的燃料

查看答案和解析>>

同步练习册答案