相关习题
 0  70256  70264  70270  70274  70280  70282  70286  70292  70294  70300  70306  70310  70312  70316  70322  70324  70330  70334  70336  70340  70342  70346  70348  70350  70351  70352  70354  70355  70356  70358  70360  70364  70366  70370  70372  70376  70382  70384  70390  70394  70396  70400  70406  70412  70414  70420  70424  70426  70432  70436  70442  70450  211419 

科目: 来源:2011-2012学年山东省东营市济南军区黄河三角洲生产基地中学九年级(上)段考化学试卷(解析版) 题型:选择题

逻辑推理是化学学习常用的思维方法,下列推理正确的是( )
A.酸性溶液的pH都小于7,所以酸溶液pH一定小于7
B.分子是构成物质的微粒,因此物质都是由分子构成的
C.燃烧需要可燃物、氧气、温度三个条件,所以,物质燃烧一定需要氧气
D.中和反应有盐和水生成,因此有盐和水生成的反应一定是中和反应

查看答案和解析>>

科目: 来源:2011-2012学年山东省东营市济南军区黄河三角洲生产基地中学九年级(上)段考化学试卷(解析版) 题型:选择题

根据如图判断,下列说法错误的是( )

A.NaCl和NH4Cl的溶解度都随温度升高而增大
B.20℃时,18克NaCl加入到50克水中,搅拌后将全部溶解
C.t℃时,NH4Cl饱和溶液和NaCl饱和溶液溶质质量分数相等
D.将20℃时某NH4Cl溶液降温到0℃,其溶质质量分数一定减小了

查看答案和解析>>

科目: 来源:2011-2012学年山东省东营市济南军区黄河三角洲生产基地中学九年级(上)段考化学试卷(解析版) 题型:选择题

如图所示:2个甲分子反应生成1个丙分子和3个乙分子.下列判断不正确的是( )

A.该反应的基本反应类型为分解反应
B.参加反应的甲物质属于化合物
C.该化学反应中原子的种类发生了改变
D.根据质量守恒定律可推知,1个乙分子中含有2个A原子

查看答案和解析>>

科目: 来源:2011-2012学年山东省东营市济南军区黄河三角洲生产基地中学九年级(上)段考化学试卷(解析版) 题型:填空题

“从生活走进化学,从化学走向社会”.请你用化学知识回答以下生活中的问题:
(1)2011年3月15日央视曝光的“双汇瘦肉精”事件,是继“三鹿奶粉”事件后震惊国人又一大事件.瘦肉精的成分是盐酸克伦特罗,化学式为C12H19Cl3N2O,瘦肉精是一种    (填“有机”或“无机”)物,它含有    种元素,它的一个分子中含有    个原子;含氮元素的质量分数为    (结果保留到0.1%).
(2)人被蚊虫叮咬后皮肤会红肿痛痒,这是由于蚊虫在被叮咬的皮肤内注入了少量的酸性物质所致.在被咬的皮肤上涂少许下列生活用品中的        (填序号),痛痒便会消失.
A.香油    B.肥皂水    C.纯碱水    D.糖水
(3)做馒头发酵面团时,会产生乳酸等有机酸,揉面团时需加入适量的纯碱或小苏打,让它们相互作用产生    气体,使蒸出的馒头疏松多孔;若加入的纯碱或小苏打过多,可向面团或蒸锅中滴加少许酸性物质,如    ,否则蒸出的馒头会变涩,颜色发黄.
(4)工厂常用稀盐酸清洗铁制品表面的铁锈.该过程的化学方程式为:   

查看答案和解析>>

科目: 来源:2011-2012学年山东省东营市济南军区黄河三角洲生产基地中学九年级(上)段考化学试卷(解析版) 题型:解答题

阅读材料,回答问题.
材料一:2009年1月,某市酒吧发生一起特大火灾.该事故的起因是几个年轻人在酒吧内燃放烟花,引燃聚氨酯泡沫塑料天花板,聚氨酯泡沫塑料燃烧产生大量有毒烟气,造成人员中毒伤亡.
材料二:氢氧化镁是一种新型的阻燃剂.当温度达到380℃时,氢氧化镁开始分解出水蒸气,同时生成耐高温的氧化镁固体.利用氢氧化镁这一性质,将它添加在塑料等易燃性材料中能起阻燃作用.
(1)聚氨酯泡沫塑料属于______材料(填“有机”或“无机”).请回答聚氨酯泡沫塑料的一点化学性质______.
(2)燃着的烟花在引发这场火灾中所起的作用______.(填标号)
A.提供氧气      B.使可燃物的温度达到着火点     C.提供可燃物
(3)根据灭火原理初步分析氢氧化镁能作阻燃剂的原因______.(答一点)氢氧化镁受热分解的化学方程式为______ MgO+H2O

查看答案和解析>>

科目: 来源:2011-2012学年山东省东营市济南军区黄河三角洲生产基地中学九年级(上)段考化学试卷(解析版) 题型:填空题

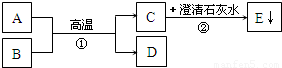
已知A、B为两种黑色粉末,D为红色单质.A、B、C、D、E五种物质之间的转化关系如图所示.
请回答:
(1)C的化学式为   
(2)反应①的化学方程式为    ;该反应的基本类型是   

查看答案和解析>>

科目: 来源:2011-2012学年山东省东营市济南军区黄河三角洲生产基地中学九年级(上)段考化学试卷(解析版) 题型:解答题

实验室常用下图A与B装置制取气体,回答相关问题:

(1)写出图中标有③、④的仪器名称:③______,④______.
(2)小高要制取二氧化碳气体,应选择图中的______装置(填字母),该反应的化学方程式______.
(3)小明要用A装置制取干燥的气体,则瓶①应盛放______(填序号).
A.氢氧化钠溶液        B.浓盐酸       C.浓硫酸
(4)写出用B装置制取气体的一个化学反应方程式______△2KCl+3O2

查看答案和解析>>

科目: 来源:2011-2012学年山东省东营市济南军区黄河三角洲生产基地中学九年级(上)段考化学试卷(解析版) 题型:解答题

小明在做某次实验时,发现一瓶瓶口敞开不知多久的氢氧化钠溶液(下称试液).联想到药品保存注意事项,小明利用提供的试剂(CaCl2溶液、盐酸、CaCO3固体、酚酞)对试液是否变质展开了探究.
他首先的猜想是:试液没有变质,溶液的溶质还是NaOH.
实验方案是:取少量试液加入试管,滴入酚酞,观察到试液变红.由此得出的结论是原试液没有变质,还是NaOH.
(1)小明反思上述实验方案,觉得不够完善,理由是______.
(2)完善实验方案后,他从提供的试剂中选取一种试剂进行实验发现原试液确已变质.请你写出他这次实验的操作、现象______.
小明是个爱思考的学生,他又有一个新的疑问:试液中真的没有NaOH了吗?他又作了探究:
(3)猜想:______.
(4)实验验证:(要求写出操作、现象)______,试液中还有NaOH.

查看答案和解析>>

科目: 来源:2011-2012学年山东省东营市济南军区黄河三角洲生产基地中学九年级(上)段考化学试卷(解析版) 题型:解答题

某化学兴趣小组为测定大理石中碳酸钙的含量,将过量的稀盐酸加入到20g大理石中(其它成分不与盐酸反应),把产生的CO2气体用足量的NaOH溶液吸收,同时测量2分钟内NaOH溶液增加的质量,结果如下表所示:
时间/sO20406080100120
增加的质量/gO3.O5.O6.O6.66.66.6
试回答下列问题:
(1)请在右边的坐标纸上,以反应时间为横坐标,以产生CO2气体的质量为纵坐标,画出能够表明产生气体的质量随时间变化规律的关系曲线;
(2)从表中可以看出,20g大理石样品与盐酸反应生成的CO2质量最多是______g;
(3)计算大理石样品中碳酸钙的质量分数.

查看答案和解析>>

科目: 来源:《第6单元 碳和碳的氧化物》2013年单元测试卷(文博中学)(解析版) 题型:选择题

不法分子将金光闪闪的“金元宝”(铜锌合金)来蒙骗人们,下列鉴别方法不正确的是( )
A.加盐酸
B.测密度
C.用火烧
D.看颜色

查看答案和解析>>

同步练习册答案