相关习题
 0  70451  70459  70465  70469  70475  70477  70481  70487  70489  70495  70501  70505  70507  70511  70517  70519  70525  70529  70531  70535  70537  70541  70543  70545  70546  70547  70549  70550  70551  70553  70555  70559  70561  70565  70567  70571  70577  70579  70585  70589  70591  70595  70601  70607  70609  70615  70619  70621  70627  70631  70637  70645  211419 

科目: 来源:2005-2006学年江苏省南通市如皋实验中学九年级(上)期中化学试卷(解析版) 题型:选择题

有关气体的制备实验中,能达到实验目的是( )
A.将带火星的木条伸入集气瓶中,检验O2是否收集满
B.用向上排气法收集一瓶H2气体,观察H2的颜色
C.加热KClO3制O2时加入少量KMnO4,加快反应速率
D.实验室制H2时,用稀盐酸代替稀硫酸和锌粒反应

查看答案和解析>>

科目: 来源:2005-2006学年江苏省南通市如皋实验中学九年级(上)期中化学试卷(解析版) 题型:选择题

小华同学用如图所示的装置测定空气中氧气的体积分数,实验后发现测得的氧气的体积分数低于,针对这一事实,你认为下列做法或想法不可取的是( )

A.实验中可能未冷却至室温就打开了止水夹
B.实验中可能红磷的量不足,未能将瓶内的氧气消耗尽
C.点燃红磷后没有立即塞紧瓶塞
D.将红磷改为木炭再做实验

查看答案和解析>>

科目: 来源:2005-2006学年江苏省南通市如皋实验中学九年级(上)期中化学试卷(解析版) 题型:选择题

电子消毒橱是饮食行业中常用的设备,其中的臭氧(O3)发生器在消毒过程中,将空气中的氧气转化为臭氧.下列有关说法中正确的是( )
A.该设备消毒时发生了化学变化
B.氧气和臭氧在物质分类上都属于单质
C.氧气和臭氧混合在一起得到的是纯净物
D.氧气和臭氧的化学性质相同,物理性质不同

查看答案和解析>>

科目: 来源:2005-2006学年江苏省南通市如皋实验中学九年级(上)期中化学试卷(解析版) 题型:选择题

在一个密闭容器内有四种物质,在一定条件下充分反应后,测的反应前后各物质的质量如下,下列说法正确的是( )
物    质XYZQ
反应前的质量/g14.2513
反应后的质量/g28.45待测4.8

A.该反应是分解反应
B.该反应是化合反应
C.反应物是X和Z
D.生成物是Y和Q

查看答案和解析>>

科目: 来源:2005-2006学年江苏省南通市如皋实验中学九年级(上)期中化学试卷(解析版) 题型:解答题

用化学符号表示:
①2个氢氧根离子______  ②2个氮分子______  ③亚铁离子______
④负二价的硫元素______ ⑤硫酸铝______ ⑥2个汞原子______.

查看答案和解析>>

科目: 来源:2005-2006学年江苏省南通市如皋实验中学九年级(上)期中化学试卷(解析版) 题型:填空题

物质结构决定物质性质.已知氢元素原子的核电荷数为1.试分析:
(1)CaH2是一种离子化合物,其中Ca元素的化合价为+2,则该化合物中氢元素的化合价为    价.已知反应物中具有还原性的物质,发生氧化反应后,元素化合价升高.请判断CaH2+2H2O=Ca(OH)2+2H2↑反应中,反应物    (填化学式)具有还原性.
(2)最新科技报道,夏威夷联合天文中心的科学家在宇宙中发现了氢元素的一种新粒子,它的组成可用H3+表示.1个H3+粒子中含有    个质子,    个电子.
(3)物质的性质中,有些对我们人类有利,也有些对我们有害,真是“让我欢喜让我忧”.请你仿照示例,选择一种物质填写下表:
物   质有利的一面(用途)不利的一面(危害)
示例:氧气供给呼吸,支持燃烧引起金属生锈和食物腐败
   

查看答案和解析>>

科目: 来源:2005-2006学年江苏省南通市如皋实验中学九年级(上)期中化学试卷(解析版) 题型:填空题

右图形象地表示了在加热催化剂条件下,某化学反应前后反应物与生成物分子及其数目的变化,其中表示硫原子,表示氧原子,则该反应的化学方程式为   

查看答案和解析>>

科目: 来源:2005-2006学年江苏省南通市如皋实验中学九年级(上)期中化学试卷(解析版) 题型:填空题

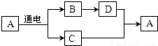
A~D都是初中化学中的常见物质,且有如图所示转化关系(部分反应条件、其他反应物及多余产物均已略去).
(1)请写出下列物质的化学式:
A    ;    B    ;C    ;    D   
(2)请写出D+C→A的化学方程式   

查看答案和解析>>

科目: 来源:2005-2006学年江苏省南通市如皋实验中学九年级(上)期中化学试卷(解析版) 题型:解答题

我们周围的物质世界是由100多种元素组成的,为了便于研究元素的性质,常常需要寻找它们之间的内在规律.表1列出的是1~18号元素的部分最高正化合价和最低负化合价,请你阅读后回答下列问题:
1 H
+1
 2 He
3 Li
+1
4 Be
+2
5 B
+3
6 C
+4-4
7 N
+5-3
8 O
-2
9 F
-1
10 Ne
11 Na
+1
12 Mg
+2
13 Al
+3
14 Si
+4-4
15 P
 
16 S
+6-2
17 Cl
+7-1
18 Ar
(1)15号元素属于______(填“金属”或“非金属”),推测该元素的最低负化合价为______,最高正化合价的氧化物的化学式为______.
(2)表中不同元素间最本质的区别是______.
(3)表中第三横行开头元素和靠近尾部元素的原子结构示意图分别为,它们的单质易发生如图所示的变化

根据以上的信息,可以得出的结论:______.

查看答案和解析>>

科目: 来源:2005-2006学年江苏省南通市如皋实验中学九年级(上)期中化学试卷(解析版) 题型:解答题

阅读下面的材料,发挥你的想象力,写出维生素C的重要性质(色、态、味除外;至少写出两点).
“维生素是人体六大营养要素之一,绝大多数不能在体内合成,必须从食物中获取.维生素C又叫抗坏血酸,白色晶体,味酸,无臭,保存在棕色玻璃瓶中.维生素C主要存在于新鲜蔬菜、水果中.为避免维生素C的大量损失,人们在食用蔬菜、水果时应注意:能生食的尽可能生食;清洗时不要长时间在水中浸泡;烹饪蔬菜时要先洗后切,大火快炒,迅速起锅,及时食用…”

查看答案和解析>>

同步练习册答案